引用本文: 林曉萍, 曾奕明. 萊菔硫烷對氣道黏蛋白 MUC5AC 表達的調控作用. 中國循證醫學雜志, 2017, 17(1): 26-32. doi: 10.7507/1672-2531.201605024 復制
氣道黏液過度分泌是慢性阻塞性肺疾病、支氣管哮喘、支氣管擴張癥及肺囊性纖維化等慢性氣道炎癥性疾病發病、死亡的常見原因[1-4],目前仍缺乏有效的治療手段。因此,深入探索氣道黏液高分泌的發病機制及對應的調控措施具有重要的臨床意義。研究發現氧化應激在黏蛋白基因表達調控中具有重要作用[5,6],作為細胞抗氧化應激反應的調節中樞之一的核因子相關因子 2(Nuclear factor-E2 related factor 2,Nrf2)亦在氣道黏蛋白表達調控中發揮重要作用[7-10]。萊菔硫烷(sulforaphane,SFN)是一種異硫氰酸鹽,廣泛存在于西蘭花等十字花科植物中,是蔬菜中所發現的抗癌效果最好的植物活性物質,也是一種抗氧化劑,是 Nrf2 重要的激活劑[11-15]。因此,我們推測萊菔硫烷參與調控氣道黏蛋白 MUC5AC 表達,并可能通過 Nrf2 信號通路發揮作用。
黏蛋白 MUC5AC(mucin 5AC)是一種分泌型蛋白,是氣道黏液毯凝膠形成蛋白的主要成分[1];卟啉醇肉豆蔻酸乙酸酯(phorbol myristate acetate,PMA)是二酰基甘油的類似物,大量研究已證明 PMA 是黏蛋白 MUC5AC 的強促分泌劑[16,17];過氧化氫(hydrogen peroxide,H2O2)是一種強氧化劑,是誘導氧化應激的主要活性物質。因此,本研究分別使用 PMA 和H2O2刺激人氣道上皮細胞 A549 來建立黏蛋白 MUC5AC 高表達模型,以探討萊菔硫烷在氣道黏蛋白 MUC5AC 表達中的調控作用及可能的作用機制,為臨床開發抑制氣道黏液高分泌的新藥提供理論依據。
1 對象與方法
1.1 研究對象
1.1.1 細胞株 人氣道上皮細胞 A549 株購自中國科學院上海細胞庫,復蘇后的第 3 代到第 10 代細胞用于實驗。
1.1.2 主要材料與試劑 培養基和胎牛血清購自 Gibco 公司,PMA 購自 Enzo 公司,萊菔硫烷購自 sigma 公司,Trizol 購自Invitrogen 公司,逆轉錄試劑盒和 Real time PCR 試劑盒均購自 TARAKA 公司,引物由上海生工公司合成,BCA 蛋白定量試劑盒、鼠抗人MUC5AC單克隆抗體購自 Thermo 公司,抗人Nrf2、HO-1、GCLC 和 NQO1 單克隆抗體購自abcam 公司,其余試劑均為國產分析純。
1.2 研究方法
1.2.1 細胞培養 人氣道上皮細胞 A549 使用含 10% 胎牛血清、100 U/mL 青霉素、100 mg/mL 鏈霉素的 RPMI-1640 培育基,置于 37 ℃、5% CO2 的培育箱中培養,根據細胞生長情況,每 2~3 天換液 1 次,每 4~5 天以 1∶3 比例傳代 1 次。
1.2.2 細胞分組 對數生長期的 A549 細胞融合度達 90% 左右時,換用無血清的培養基培養過夜(以讓各組細胞 MUC5AC 的表達處于較低水平),再進行后續干預。實驗共分為 3 大組:① 對照組:在新鮮無血清培養基中繼續培養;② 黏液高表達組:分別予不同濃度 PMA(10~150 nM)和H2O2(0~150 μM)刺激 A549 細胞 24 小時,提取細胞總 RNA,real time PCR 法測定 MUC5AC mRNA 表達水平,挑選出最佳的刺激濃度;③ 萊菔硫烷干預組(SFN+PMA組,SFN+H2O2組):不同濃度萊菔硫烷(5~40 μM)預處理細胞 30 分鐘后,繼續加入 PMA 或H2O2刺激細胞。以上各組均培育 24 小時后,收集細胞進行后續檢測。
1.2.3 實時熒光定量 PCR 采用Trizol 法分別提取各組細胞的總 RNA,經 1% 瓊脂糖凝膠電泳鑒定后,分別測定 RNA 在 260 nm 和 280 nm 的吸光度值,確保比值介于 1.8~2.0。取 1 μg 總 RNA,按照 TAKARA 逆轉錄試劑盒操作說明將 RNA 逆轉錄為 cDNA,后進行 PCR 擴增,每個樣本設 3 個復孔。反應程序:95 ℃ 變性 30 秒,95 ℃ 變性 5 秒,60 ℃退火 32 秒,40 個循環,溶解曲線分析:95 ℃ 15 秒,60 ℃ 1 分鐘,95 ℃ 15秒。調整基線,以空白管不出現陽性為準,以與基線的交點的循環次數為 Ct 值。使用 GADPH mRNA 作為內參,采用 2–ΔΔCt 法確定靶基因的 mRNA 的相對表達量,以空白對照組作為矯正樣本(引物序列詳見表 1)。

1.2.4 Western blot 實驗 離心收集各組細胞,使用蛋白裂解液于冰上提取細胞總蛋白,采用 BCA 法測定蛋白濃度。每組樣本分別取 30 μg 總蛋白,經 8%~10% 聚丙烯酰胺的梯度 SDS-PAGE 電泳分離,后電轉至 PVDF 膜上,經 5% 脫脂牛奶封閉 1 小時,分別加入抗 MUC5AC、Nrf2、HO-1、NQO1 和 GLCC 的一抗 4 ℃ 孵育過夜,洗膜后,相應辣根過氧化物酶標記的 II 抗(1∶6 000)室溫孵育 2 小時,徹底洗滌后使用 ECL 發光試劑盒顯影,最后利用密度面積積分分析結果,與內參照 GADPH 進行對比。
1.3 研究指標
細胞處理結束后,提取各組細胞總 RNA,采用 real time PCR 法檢測 A549 細胞 MUC5AC、Nrf2 及其下游抗氧化基因血紅素氧化酶 1(Heme oxygenase 1,HO-1)、NADP(H)醌氧化還原酶 [NADP(H):quinine oxidoreductase,NQO1 ]和谷氨酰半胱氨酸合成酶催化亞單位(glutamate-cysteine ligase catalytic subunit,GCLC)的 mRNA 表達;同時,提取細胞總蛋白,采用 Western blot 法檢測上述基因蛋白表達情況。
1.4 統計分析
各組檢測數據均以均數±標準差( )表示,采用 SPSS 17.0 統計軟件進行數據處理,進行單因素方差分析,以P<0.05 表示差異具有統計學意義。
2 結果
2.1 不同濃度萊菔硫烷對 PMA 誘導 A549 細胞表達 MUC5AC 的影響
2.1.1 建立 PMA 誘導的氣道黏蛋白高表達模型 不同濃度(10~150 nM)PMA 均可刺激 A549 細胞 MUC5AC mRNA 表達,以 50 nM 為著。50 nM PMA組中 MUC5AC mRNA 水平及蛋白相對含量分別為1.875±0.366 和 5.026±2.525,明顯高于空白對照組(P<0.05)(圖 1)。因此,后續實驗 PMA 組的干預濃度為 50 nM。

2.1.2 萊菔硫烷明顯抑制 PMA 誘導 A549 細胞 MUC5AC 表達 分別使用 5 μM、10 μM、20 μM 和 40 μM 的萊菔硫烷預先處理 A549 細胞 30分鐘后,加入 50 nM PMA 繼續刺激 24 小時,MUC5AC mRNA 表達量分別為 1.572±0.035、0.368±0.056、1.129±0.141 和 0.809±0.227,均低于 PMA組(P<0.05),說明不同濃度萊菔硫烷均能顯著抑制 PMA 誘導的MUC5AC 表達,以 10 μM 萊菔硫烷的抑制效果最強(圖 2a)。SFN(10 μM)+PMA 組MUC5AC 蛋白表達量為 0.882±0.104,顯著低于 50 nM PMA 組 MUC5AC 蛋白表達量 1.875±0.366(P<0.05)(圖 2b)。結果顯示萊菔硫烷能抑制 PMA 誘導的 MUC5AC mRNA 水平和蛋白表達。

2.2 不同濃度萊菔硫烷對 H2O2 誘導 A549 細胞表達 MUC5AC 的影響
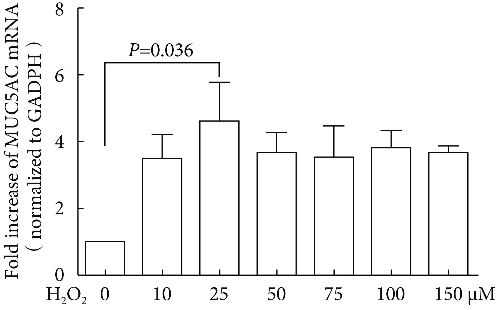
2.2.1 建立 H2O2 誘導的氣道黏蛋白高表達模型 不同濃度(10~150 nM)H2O2 均可刺激 A549 細胞 MUC5AC mRNA 表達,以 25 μM 為著。25 μM H2O2 組中 MUC5AC mRNA 水平及蛋白相對含量分別為4.101±1.927 和 1.559±0.192,高于空白對照組(P<0.05)(圖 3)。因此,后續實驗H2O2 組的干預濃度為 25 μM。

2.2.2 萊菔硫烷抑制 H2O2 誘導 A549 細胞 MUC5AC 表達 同 2.1.2 分別使用 5 μM、10 μM、20 μM 和 40 μM 的萊菔硫烷預先處理 A549 細胞 30 分鐘后,加入 25 μM H2O2 繼續刺激 24 小時,MUC5AC mRNA表 達量分別為 1.344±0.288、0.537±0.381、1.097±0.186 和 0.713±0.092,均低于 H2O2 組,說明不同濃度萊菔硫烷均能抑制H2O2 誘導的 MUC5AC 表達,仍以10 μM 萊菔硫烷的抑制效果最強(圖 4a)。SFN(10 μM)+H2O2組 MUC5AC 蛋白表達量為 0.779±0.079,顯著低于 25 μM H2O2 組 MUC5AC 蛋白表達量1.559±0.192(P<0.05)(圖 4b)。結果顯示萊菔硫烷亦能抑制H2O2 誘導的MUC5AC mRNA 水平和蛋白表達。

2.3 萊菔硫烷對Nrf2信號通路及其下游抗氧化基因表達的影響
萊菔硫烷刺激 PMA 組和H2O2 組 A549 細胞 Nrf2 及其下游抗氧化酶 HO-1 的基因轉錄及蛋白表達,但對 GCLC 和 NQO1 表達無影響(圖 5~6)。


SFN+PMA 組 Nrf2 mRNA 水平及蛋白相對含量分別為 1.785±0.115和2.45±0.04,均明顯高于 PMA 組的 1.08±0.02 和 1.090±0.307,以及陰性對照組(P 均 <0.05);SFN+PMA 組 Nrf2 下游抗氧化基因 HO-1、NQO1 和 GCLC mRNA 水平分別為 1.214±0.530、0.819±0.349 和 0.575±0.124,與 PMA 組的 0.690±0.424、0.547±0.418 和 0.594±0.289 相比,P 值分別為 0.013、0.552 和 0.921(圖 5)。
SFN+H2O2 組 Nrf2 mRNA 水平及蛋白相對含量分別為1.901±0.514 和 2.40±0.11,同樣均明顯高于H2O2 組的1.044±0.007 和 1.327±0.342,以及陰性對照組(P 均 <0.05);SFN+H2O2 組 Nrf2 下游抗氧化基因 HO-1、NQO1 和GCLC mRNA 水平分別為 1.670±0.389、0.996±0.242 和 0.715±0.134,與H2O2 組的 0.658±0.452、0.996±0.242和1.190±0.100 相比,P 值分別為 0.042、0.433 和 0.219(圖 6)。
結果顯示,萊菔硫烷通過激活A549細胞Nrf2及其下游抗氧化酶HO-1的基因轉錄及蛋白表達發揮抑制PMA誘導黏蛋白MUC5AC表達的作用。
3 討論
萊菔硫烷是一種異硫氰酸鹽,廣泛存在于西蘭花等十字花科植物中,是蔬菜中所發現的抗癌效果最好的植物活性物質,也是一種抗氧化劑,是 Nrf2 重要的激活劑,通過激活 Nrf2/ARE 通路顯著抑制炎癥介質 IL-6 和腫瘤壞死因子(TNF-α)的釋放,減輕脂多糖誘導的小鼠急性肺損傷模型的炎癥反應[18];顯著降低哮喘患者的氣道高反應性、氣道阻力,增加小氣道管徑,改善氣道陷閉[19];它還能通過激活該通路增強小鼠肺泡巨噬細胞清除細菌的能力,有助于預防細菌感染誘發的慢性阻塞性肺疾病的急性發作[20];同時還能保護肺纖維化和發揮抗肺癌作用[13-15]。但對于萊菔硫烷是否參與調控氣道黏液高分泌尚未有相關報道。
黏蛋白 MUC5AC 是氣道黏液的主要成分,多種因子均可誘導氣道黏蛋白 MUC5AC 表達上調,包括卟啉醇肉豆蔻酸乙酸酯(PMA)、銅綠假單胞菌及其胞壁成分脂多糖(LPS)、中性粒細胞彈性蛋白酶(NE)、表皮生長因子(EGF)、香煙煙霧等,其中,大量研究證明 PMA 是氣道黏液 MUC5AC 的強力誘導劑[16,17];過氧化氫(H2O2)是一種強氧化劑,不僅是誘導氧化應激的主要活性物質,也有研究證實它能誘導 NCI-H292 細胞 MUC5AC 表達[21,22],因此,本研究分別使用黏液強促分泌劑PMA和氧化應激代表物質H2O2 刺激人氣道上皮細胞 A549 來建立黏蛋白 MUC5AC 高表達模型,采用實時熒光定量 PCR 及 Western blot 法檢測 A549 細胞 MUC5AC 的基因轉錄及蛋白表達情況,研究萊菔硫烷在氣道黏蛋白 MUC5AC 表達中的作用。實驗結果顯示,不同濃度的 PMA 和H2O2 均可顯著上調 MUC5AC mRNA 及蛋白表達(P 均 <0.05)。而使用不同濃度萊菔硫烷干預后,黏蛋白 MUC5AC mRNA 及蛋白表達水平均明顯降低,提示萊菔硫烷可抑制 PMA 和 H2O2 誘導的氣道黏蛋白 MUC5AC 基因和蛋白表達,說明萊菔硫烷有抑制氣道黏液高分泌的作用。
盡管學者們對黏蛋白合成的信號級聯反應及相關通路做了許多研究,但至今對黏蛋白過度表達的機制仍不十分清楚。近期的研究發現氧化應激在 MUC5AC 基因表達調控中具有重要作用:如 Shao 等[5]以及顏伏歸等[6]的研究表明 ROS 介導香煙煙霧、中性粒細胞彈性蛋白酶或 LPS 上調氣道上皮細胞 MUC5AC 表達。Nrf2 是 CNC 亮氨酸拉鏈轉錄激活因子家族中活性最強的轉錄因子,是細胞調節抗氧化應激反應重要的轉錄因子,與抗氧化反應、抗炎反應及細胞保護作用等有關[7-9]。在氧化應激作用下,Nrf2 與負性調節劑 Keap1 解耦聯、轉移入核,識別并結合抗氧化反應元件(ARE),啟動下游抗氧化酶基因(HO-1、NQO1和GCLC等)的轉錄及表達,增強細胞抗氧化應激的能力。本人前期實驗研究發現 Nrf2 信號通路參與調控香煙煙霧誘導的氣道黏蛋白MUC5AC的表達[10],Qi等[23]的研究顯示該通路參與調控中性粒細胞彈性蛋白酶誘導的人氣道上皮細胞 MUC5AC 的表達。萊菔硫烷作為 Nrf2 強誘導劑,很有可能也是通過 Nrf2 信號通路發揮抑制黏液過表達作用。
本研究通過實時熒光定量 PCR 及 Western blot 法檢測 Nrf2 及其下游抗氧化基因(HO-1、NQO1和GCLC)的 mRNA 及蛋白表達水平,了解該通路在萊菔硫烷抑制氣道上皮細胞 MUC5AC 表達中的作用。結果顯示,萊菔硫烷干預組 Nrf2 mRNA 及蛋白表達水平與黏液高表達模型組或對照組相比,均明顯增加(P<0.01),說明萊菔硫烷通過誘導 Nrf2 發揮抑制 PMA 或H2O2 誘導的氣道上皮細胞 MUC5AC 表達;而且,萊菔硫烷干預組 Nrf2 信號通路下游的抗氧化酶 HO-1 的 mRNA 及蛋白水平也明顯升高(P<0.05),其他抗氧化酶 NQO1 和 GCLC mRNA 及蛋白水平下降,且P 均 >0.05,差異沒有統計意義,提示萊菔硫烷通過誘導 A549 細胞 Nrf2 活化、正向調控其下游抗氧化酶 HO-1 表達,發揮抑制氣道黏蛋白 MUC5AC 的表達。
本研究首次揭示了萊菔硫烷能抑制氣道上皮細胞黏蛋白 MUC5AC 的表達,參與調控氣道黏液高分泌,而且其可能是通過激活 Nrf2/ARE 信號通路,提高下游抗氧化酶 HO-1 蛋白表達而實現的。目前國內外萊菔硫烷的研究熱點主要局限于抗腫瘤、抗氧化方面,本文首次揭示其在氣道黏液調控方面的作用,具有一定的創新性和開拓性。但本研究仍有一定的局限性:僅從細胞生物學水平探討萊菔硫烷在氣道黏蛋白 MUC5AC 表達中的調控作用,缺乏體內動物數據,因此有待進一步研究才能更全面地揭示萊菔硫烷在氣道黏液調控中的作用及機制。
總之,本研究顯示萊菔硫烷參與調控氣道黏液高分泌,其植物資源極其豐富,廣泛存在于西蘭花等十字花科植物,對人體無明顯不良反應,有利于開發新型藥物抑制慢性氣道炎癥性疾病患者黏液高分泌,改善患者的預后,減輕患者的經濟負擔,具有較高的研究價值和廣闊的開發前景。
氣道黏液過度分泌是慢性阻塞性肺疾病、支氣管哮喘、支氣管擴張癥及肺囊性纖維化等慢性氣道炎癥性疾病發病、死亡的常見原因[1-4],目前仍缺乏有效的治療手段。因此,深入探索氣道黏液高分泌的發病機制及對應的調控措施具有重要的臨床意義。研究發現氧化應激在黏蛋白基因表達調控中具有重要作用[5,6],作為細胞抗氧化應激反應的調節中樞之一的核因子相關因子 2(Nuclear factor-E2 related factor 2,Nrf2)亦在氣道黏蛋白表達調控中發揮重要作用[7-10]。萊菔硫烷(sulforaphane,SFN)是一種異硫氰酸鹽,廣泛存在于西蘭花等十字花科植物中,是蔬菜中所發現的抗癌效果最好的植物活性物質,也是一種抗氧化劑,是 Nrf2 重要的激活劑[11-15]。因此,我們推測萊菔硫烷參與調控氣道黏蛋白 MUC5AC 表達,并可能通過 Nrf2 信號通路發揮作用。
黏蛋白 MUC5AC(mucin 5AC)是一種分泌型蛋白,是氣道黏液毯凝膠形成蛋白的主要成分[1];卟啉醇肉豆蔻酸乙酸酯(phorbol myristate acetate,PMA)是二酰基甘油的類似物,大量研究已證明 PMA 是黏蛋白 MUC5AC 的強促分泌劑[16,17];過氧化氫(hydrogen peroxide,H2O2)是一種強氧化劑,是誘導氧化應激的主要活性物質。因此,本研究分別使用 PMA 和H2O2刺激人氣道上皮細胞 A549 來建立黏蛋白 MUC5AC 高表達模型,以探討萊菔硫烷在氣道黏蛋白 MUC5AC 表達中的調控作用及可能的作用機制,為臨床開發抑制氣道黏液高分泌的新藥提供理論依據。
1 對象與方法
1.1 研究對象
1.1.1 細胞株 人氣道上皮細胞 A549 株購自中國科學院上海細胞庫,復蘇后的第 3 代到第 10 代細胞用于實驗。
1.1.2 主要材料與試劑 培養基和胎牛血清購自 Gibco 公司,PMA 購自 Enzo 公司,萊菔硫烷購自 sigma 公司,Trizol 購自Invitrogen 公司,逆轉錄試劑盒和 Real time PCR 試劑盒均購自 TARAKA 公司,引物由上海生工公司合成,BCA 蛋白定量試劑盒、鼠抗人MUC5AC單克隆抗體購自 Thermo 公司,抗人Nrf2、HO-1、GCLC 和 NQO1 單克隆抗體購自abcam 公司,其余試劑均為國產分析純。
1.2 研究方法
1.2.1 細胞培養 人氣道上皮細胞 A549 使用含 10% 胎牛血清、100 U/mL 青霉素、100 mg/mL 鏈霉素的 RPMI-1640 培育基,置于 37 ℃、5% CO2 的培育箱中培養,根據細胞生長情況,每 2~3 天換液 1 次,每 4~5 天以 1∶3 比例傳代 1 次。
1.2.2 細胞分組 對數生長期的 A549 細胞融合度達 90% 左右時,換用無血清的培養基培養過夜(以讓各組細胞 MUC5AC 的表達處于較低水平),再進行后續干預。實驗共分為 3 大組:① 對照組:在新鮮無血清培養基中繼續培養;② 黏液高表達組:分別予不同濃度 PMA(10~150 nM)和H2O2(0~150 μM)刺激 A549 細胞 24 小時,提取細胞總 RNA,real time PCR 法測定 MUC5AC mRNA 表達水平,挑選出最佳的刺激濃度;③ 萊菔硫烷干預組(SFN+PMA組,SFN+H2O2組):不同濃度萊菔硫烷(5~40 μM)預處理細胞 30 分鐘后,繼續加入 PMA 或H2O2刺激細胞。以上各組均培育 24 小時后,收集細胞進行后續檢測。
1.2.3 實時熒光定量 PCR 采用Trizol 法分別提取各組細胞的總 RNA,經 1% 瓊脂糖凝膠電泳鑒定后,分別測定 RNA 在 260 nm 和 280 nm 的吸光度值,確保比值介于 1.8~2.0。取 1 μg 總 RNA,按照 TAKARA 逆轉錄試劑盒操作說明將 RNA 逆轉錄為 cDNA,后進行 PCR 擴增,每個樣本設 3 個復孔。反應程序:95 ℃ 變性 30 秒,95 ℃ 變性 5 秒,60 ℃退火 32 秒,40 個循環,溶解曲線分析:95 ℃ 15 秒,60 ℃ 1 分鐘,95 ℃ 15秒。調整基線,以空白管不出現陽性為準,以與基線的交點的循環次數為 Ct 值。使用 GADPH mRNA 作為內參,采用 2–ΔΔCt 法確定靶基因的 mRNA 的相對表達量,以空白對照組作為矯正樣本(引物序列詳見表 1)。

1.2.4 Western blot 實驗 離心收集各組細胞,使用蛋白裂解液于冰上提取細胞總蛋白,采用 BCA 法測定蛋白濃度。每組樣本分別取 30 μg 總蛋白,經 8%~10% 聚丙烯酰胺的梯度 SDS-PAGE 電泳分離,后電轉至 PVDF 膜上,經 5% 脫脂牛奶封閉 1 小時,分別加入抗 MUC5AC、Nrf2、HO-1、NQO1 和 GLCC 的一抗 4 ℃ 孵育過夜,洗膜后,相應辣根過氧化物酶標記的 II 抗(1∶6 000)室溫孵育 2 小時,徹底洗滌后使用 ECL 發光試劑盒顯影,最后利用密度面積積分分析結果,與內參照 GADPH 進行對比。
1.3 研究指標
細胞處理結束后,提取各組細胞總 RNA,采用 real time PCR 法檢測 A549 細胞 MUC5AC、Nrf2 及其下游抗氧化基因血紅素氧化酶 1(Heme oxygenase 1,HO-1)、NADP(H)醌氧化還原酶 [NADP(H):quinine oxidoreductase,NQO1 ]和谷氨酰半胱氨酸合成酶催化亞單位(glutamate-cysteine ligase catalytic subunit,GCLC)的 mRNA 表達;同時,提取細胞總蛋白,采用 Western blot 法檢測上述基因蛋白表達情況。
1.4 統計分析
各組檢測數據均以均數±標準差( )表示,采用 SPSS 17.0 統計軟件進行數據處理,進行單因素方差分析,以P<0.05 表示差異具有統計學意義。
2 結果
2.1 不同濃度萊菔硫烷對 PMA 誘導 A549 細胞表達 MUC5AC 的影響
2.1.1 建立 PMA 誘導的氣道黏蛋白高表達模型 不同濃度(10~150 nM)PMA 均可刺激 A549 細胞 MUC5AC mRNA 表達,以 50 nM 為著。50 nM PMA組中 MUC5AC mRNA 水平及蛋白相對含量分別為1.875±0.366 和 5.026±2.525,明顯高于空白對照組(P<0.05)(圖 1)。因此,后續實驗 PMA 組的干預濃度為 50 nM。

2.1.2 萊菔硫烷明顯抑制 PMA 誘導 A549 細胞 MUC5AC 表達 分別使用 5 μM、10 μM、20 μM 和 40 μM 的萊菔硫烷預先處理 A549 細胞 30分鐘后,加入 50 nM PMA 繼續刺激 24 小時,MUC5AC mRNA 表達量分別為 1.572±0.035、0.368±0.056、1.129±0.141 和 0.809±0.227,均低于 PMA組(P<0.05),說明不同濃度萊菔硫烷均能顯著抑制 PMA 誘導的MUC5AC 表達,以 10 μM 萊菔硫烷的抑制效果最強(圖 2a)。SFN(10 μM)+PMA 組MUC5AC 蛋白表達量為 0.882±0.104,顯著低于 50 nM PMA 組 MUC5AC 蛋白表達量 1.875±0.366(P<0.05)(圖 2b)。結果顯示萊菔硫烷能抑制 PMA 誘導的 MUC5AC mRNA 水平和蛋白表達。

2.2 不同濃度萊菔硫烷對 H2O2 誘導 A549 細胞表達 MUC5AC 的影響
2.2.1 建立 H2O2 誘導的氣道黏蛋白高表達模型 不同濃度(10~150 nM)H2O2 均可刺激 A549 細胞 MUC5AC mRNA 表達,以 25 μM 為著。25 μM H2O2 組中 MUC5AC mRNA 水平及蛋白相對含量分別為4.101±1.927 和 1.559±0.192,高于空白對照組(P<0.05)(圖 3)。因此,后續實驗H2O2 組的干預濃度為 25 μM。

2.2.2 萊菔硫烷抑制 H2O2 誘導 A549 細胞 MUC5AC 表達 同 2.1.2 分別使用 5 μM、10 μM、20 μM 和 40 μM 的萊菔硫烷預先處理 A549 細胞 30 分鐘后,加入 25 μM H2O2 繼續刺激 24 小時,MUC5AC mRNA表 達量分別為 1.344±0.288、0.537±0.381、1.097±0.186 和 0.713±0.092,均低于 H2O2 組,說明不同濃度萊菔硫烷均能抑制H2O2 誘導的 MUC5AC 表達,仍以10 μM 萊菔硫烷的抑制效果最強(圖 4a)。SFN(10 μM)+H2O2組 MUC5AC 蛋白表達量為 0.779±0.079,顯著低于 25 μM H2O2 組 MUC5AC 蛋白表達量1.559±0.192(P<0.05)(圖 4b)。結果顯示萊菔硫烷亦能抑制H2O2 誘導的MUC5AC mRNA 水平和蛋白表達。

2.3 萊菔硫烷對Nrf2信號通路及其下游抗氧化基因表達的影響
萊菔硫烷刺激 PMA 組和H2O2 組 A549 細胞 Nrf2 及其下游抗氧化酶 HO-1 的基因轉錄及蛋白表達,但對 GCLC 和 NQO1 表達無影響(圖 5~6)。


SFN+PMA 組 Nrf2 mRNA 水平及蛋白相對含量分別為 1.785±0.115和2.45±0.04,均明顯高于 PMA 組的 1.08±0.02 和 1.090±0.307,以及陰性對照組(P 均 <0.05);SFN+PMA 組 Nrf2 下游抗氧化基因 HO-1、NQO1 和 GCLC mRNA 水平分別為 1.214±0.530、0.819±0.349 和 0.575±0.124,與 PMA 組的 0.690±0.424、0.547±0.418 和 0.594±0.289 相比,P 值分別為 0.013、0.552 和 0.921(圖 5)。
SFN+H2O2 組 Nrf2 mRNA 水平及蛋白相對含量分別為1.901±0.514 和 2.40±0.11,同樣均明顯高于H2O2 組的1.044±0.007 和 1.327±0.342,以及陰性對照組(P 均 <0.05);SFN+H2O2 組 Nrf2 下游抗氧化基因 HO-1、NQO1 和GCLC mRNA 水平分別為 1.670±0.389、0.996±0.242 和 0.715±0.134,與H2O2 組的 0.658±0.452、0.996±0.242和1.190±0.100 相比,P 值分別為 0.042、0.433 和 0.219(圖 6)。
結果顯示,萊菔硫烷通過激活A549細胞Nrf2及其下游抗氧化酶HO-1的基因轉錄及蛋白表達發揮抑制PMA誘導黏蛋白MUC5AC表達的作用。
3 討論
萊菔硫烷是一種異硫氰酸鹽,廣泛存在于西蘭花等十字花科植物中,是蔬菜中所發現的抗癌效果最好的植物活性物質,也是一種抗氧化劑,是 Nrf2 重要的激活劑,通過激活 Nrf2/ARE 通路顯著抑制炎癥介質 IL-6 和腫瘤壞死因子(TNF-α)的釋放,減輕脂多糖誘導的小鼠急性肺損傷模型的炎癥反應[18];顯著降低哮喘患者的氣道高反應性、氣道阻力,增加小氣道管徑,改善氣道陷閉[19];它還能通過激活該通路增強小鼠肺泡巨噬細胞清除細菌的能力,有助于預防細菌感染誘發的慢性阻塞性肺疾病的急性發作[20];同時還能保護肺纖維化和發揮抗肺癌作用[13-15]。但對于萊菔硫烷是否參與調控氣道黏液高分泌尚未有相關報道。
黏蛋白 MUC5AC 是氣道黏液的主要成分,多種因子均可誘導氣道黏蛋白 MUC5AC 表達上調,包括卟啉醇肉豆蔻酸乙酸酯(PMA)、銅綠假單胞菌及其胞壁成分脂多糖(LPS)、中性粒細胞彈性蛋白酶(NE)、表皮生長因子(EGF)、香煙煙霧等,其中,大量研究證明 PMA 是氣道黏液 MUC5AC 的強力誘導劑[16,17];過氧化氫(H2O2)是一種強氧化劑,不僅是誘導氧化應激的主要活性物質,也有研究證實它能誘導 NCI-H292 細胞 MUC5AC 表達[21,22],因此,本研究分別使用黏液強促分泌劑PMA和氧化應激代表物質H2O2 刺激人氣道上皮細胞 A549 來建立黏蛋白 MUC5AC 高表達模型,采用實時熒光定量 PCR 及 Western blot 法檢測 A549 細胞 MUC5AC 的基因轉錄及蛋白表達情況,研究萊菔硫烷在氣道黏蛋白 MUC5AC 表達中的作用。實驗結果顯示,不同濃度的 PMA 和H2O2 均可顯著上調 MUC5AC mRNA 及蛋白表達(P 均 <0.05)。而使用不同濃度萊菔硫烷干預后,黏蛋白 MUC5AC mRNA 及蛋白表達水平均明顯降低,提示萊菔硫烷可抑制 PMA 和 H2O2 誘導的氣道黏蛋白 MUC5AC 基因和蛋白表達,說明萊菔硫烷有抑制氣道黏液高分泌的作用。
盡管學者們對黏蛋白合成的信號級聯反應及相關通路做了許多研究,但至今對黏蛋白過度表達的機制仍不十分清楚。近期的研究發現氧化應激在 MUC5AC 基因表達調控中具有重要作用:如 Shao 等[5]以及顏伏歸等[6]的研究表明 ROS 介導香煙煙霧、中性粒細胞彈性蛋白酶或 LPS 上調氣道上皮細胞 MUC5AC 表達。Nrf2 是 CNC 亮氨酸拉鏈轉錄激活因子家族中活性最強的轉錄因子,是細胞調節抗氧化應激反應重要的轉錄因子,與抗氧化反應、抗炎反應及細胞保護作用等有關[7-9]。在氧化應激作用下,Nrf2 與負性調節劑 Keap1 解耦聯、轉移入核,識別并結合抗氧化反應元件(ARE),啟動下游抗氧化酶基因(HO-1、NQO1和GCLC等)的轉錄及表達,增強細胞抗氧化應激的能力。本人前期實驗研究發現 Nrf2 信號通路參與調控香煙煙霧誘導的氣道黏蛋白MUC5AC的表達[10],Qi等[23]的研究顯示該通路參與調控中性粒細胞彈性蛋白酶誘導的人氣道上皮細胞 MUC5AC 的表達。萊菔硫烷作為 Nrf2 強誘導劑,很有可能也是通過 Nrf2 信號通路發揮抑制黏液過表達作用。
本研究通過實時熒光定量 PCR 及 Western blot 法檢測 Nrf2 及其下游抗氧化基因(HO-1、NQO1和GCLC)的 mRNA 及蛋白表達水平,了解該通路在萊菔硫烷抑制氣道上皮細胞 MUC5AC 表達中的作用。結果顯示,萊菔硫烷干預組 Nrf2 mRNA 及蛋白表達水平與黏液高表達模型組或對照組相比,均明顯增加(P<0.01),說明萊菔硫烷通過誘導 Nrf2 發揮抑制 PMA 或H2O2 誘導的氣道上皮細胞 MUC5AC 表達;而且,萊菔硫烷干預組 Nrf2 信號通路下游的抗氧化酶 HO-1 的 mRNA 及蛋白水平也明顯升高(P<0.05),其他抗氧化酶 NQO1 和 GCLC mRNA 及蛋白水平下降,且P 均 >0.05,差異沒有統計意義,提示萊菔硫烷通過誘導 A549 細胞 Nrf2 活化、正向調控其下游抗氧化酶 HO-1 表達,發揮抑制氣道黏蛋白 MUC5AC 的表達。
本研究首次揭示了萊菔硫烷能抑制氣道上皮細胞黏蛋白 MUC5AC 的表達,參與調控氣道黏液高分泌,而且其可能是通過激活 Nrf2/ARE 信號通路,提高下游抗氧化酶 HO-1 蛋白表達而實現的。目前國內外萊菔硫烷的研究熱點主要局限于抗腫瘤、抗氧化方面,本文首次揭示其在氣道黏液調控方面的作用,具有一定的創新性和開拓性。但本研究仍有一定的局限性:僅從細胞生物學水平探討萊菔硫烷在氣道黏蛋白 MUC5AC 表達中的調控作用,缺乏體內動物數據,因此有待進一步研究才能更全面地揭示萊菔硫烷在氣道黏液調控中的作用及機制。
總之,本研究顯示萊菔硫烷參與調控氣道黏液高分泌,其植物資源極其豐富,廣泛存在于西蘭花等十字花科植物,對人體無明顯不良反應,有利于開發新型藥物抑制慢性氣道炎癥性疾病患者黏液高分泌,改善患者的預后,減輕患者的經濟負擔,具有較高的研究價值和廣闊的開發前景。