引用本文: 肖華葉, 梁斌苗, 歐雪梅. 中性粒細胞與淋巴細胞比值在慢性阻塞性肺疾病急性加重期中的價值. 中國呼吸與危重監護雜志, 2021, 20(2): 85-90. doi: 10.7507/1671-6205.201911050 復制
慢性阻塞性肺疾病(簡稱慢阻肺)是一種常見的以持續性呼吸道癥狀和氣流受限為特征的可以預防和治療的疾病[1]。慢阻肺的患病率及病死率呈逐年增長趨勢,全球 40 歲以上成年人的慢阻肺患病率在 5%~19%,是世界慢性發病率和死亡率的主要原因之一[2-4]。慢阻肺急性加重是患者在疾病過程中出現病情惡化,并需改變慢阻肺常規用藥的一種狀態,容易誘發呼吸衰竭、呼吸窘迫綜合征等不良事件,增加入院率、致殘率和死亡率等[5]。炎癥反應是慢阻肺重要的發病機制,其水平與慢阻肺急性發作、病情嚴重程度及預后密切相關,目前 C 反應蛋白(CRP)、白細胞介素-6(IL-6)、降鈣素原(PCT)等炎癥指標已經普遍在臨床上用于慢阻肺病情的評估[6-8]。但是 IL-6 及 PCT 這些指標的檢測因價格貴未能在基層醫院廣泛開展。國外有研究表明,中性粒細胞與淋巴細胞比值(NLR)可以作為評估慢阻肺病情的一項炎癥指標[9]。而國內關于 NLR 與慢阻肺急性加重患者住院病情及臨床預后的相關性的研究尚少。本研究旨在探討 NLR 與慢阻肺急性加重患者的病情、治療及預后等的關系,以此評估 NLR 在慢阻肺急性加重臨床應用中的價值。現將結果報道如下。
1 資料與方法
1.1 臨床資料
本研究為回顧性研究,并經醫院倫理委員會審核通過。根據 2018 年慢性阻塞性肺疾病全球倡議(GOLD)制定的標準,納入 2013 年至 2018 年間在四川大學華西醫院住院且診斷為慢阻肺急性加重的患者。合并先天性心臟疾病、腦卒中、高血壓病、自身免疫性疾病、血液系統腫瘤等可能影響相關臨床指標的疾病患者、臨床資料不齊全患者不納入此研究。最終納入 610 例患者。
1.2 方法
1.2.1 資料收集
根據既往研究結果[6, 10-16],從電子病歷系統收集了納入患者的可能與慢阻肺急性加重病情相關的病例資料。一般資料包括年齡、性別、吸煙指數、體重指數、住院時間。輔助檢查資料包括住院期間第一次及末次的外周血 NLR、白細胞計數、CRP、PCT、IL-6、血氣分析、嗜酸性粒細胞(EOS)計數、EOS 百分比(EOS%)、尿鈉肽(BNP)、心臟彩超的肺動脈直徑(MPA)。住院治療措施包括是否進行氧療、是否機械輔助通氣、是否使用全身糖皮質激素及抗生素。住院期間是否合并肺炎、心力衰竭、呼吸衰竭,以及最終臨床轉歸等信息。其中,PCT、IL-6 通過電化學發光定量法進行測定,PCT 高于 0.05 ng/mL 為異常,IL-6 高于 7.00 pg/mL 為異常;CRP 通過速率散射比濁法進行測定,CRP 高于 5 mg/L 為異常。血常規通過全自動血液分析儀測定,白細胞計數高于 9.5×109/L 或低于 3.5×109/L 為異常。血氣分析氧分壓低于 60 mm Hg(1 mm Hg = 0.133 kPa)和(或)二氧化碳分壓高于 50 mm Hg 定義為呼吸衰竭。將診斷為慢性肺源性心臟病且伴隨 BNP 增高、心臟彩超 MPA 增寬的樣本定義為慢阻肺合并心力衰竭。
1.2.2 研究方法
(1)分析 PCT、白細胞(WBC)、肺炎、呼吸衰竭及心力衰竭病情對入院 NLR 的影響。采用 CURB-65 評分評價肺炎嚴重程度,該評分包括 4 項內容:① 意識改變(C);② 血尿素氮(U)>7 mmol/L;③ 呼吸頻率(R)>30 次/min;④ 血壓(B)中收縮壓<90 mm Hg 或舒張壓<60 mm Hg;⑤ 年齡>65 歲。每符合一條為 1 分,總分最高為 5 分,以 3 分為截點,分析肺炎嚴重程度對 NLR 的影響。(2)分析住院期間帶機率、糖皮質激素使用情況、住院時間、住院結局與入院時 NLR 的關聯。(3)根據患者入院時 NLR 水平,按數值分布區間四分法將患者分為四組,每組患者的 NLR 值分別為:NLR>3.21、3.21≤NLR≤6.06、6.06<NLR≤11.53、NLR>11.53,統計四組患者的帶機率、住院時間、住院病死率。(4)分析 NLR、CRP、IL-6 三者之間的關系,比較 NLR 與其他炎癥指標在慢阻肺急性加重中的預測能力及價值。通過二元 Logistic 回歸分析探究 NLR 對病情預后的影響。根據受試者工作特征(ROC)曲線分析入院時 NLR 對住院死亡風險的預測價值,計算截斷值,根據該截斷值進行分組比較,計算住院期間死亡風險度。
1.3 統計學方法
采用 SPSS 23.0 統計軟件。采用方差分析進行組間比較;采用雙變量 Pearson 進行相關分析;利用 ROC 曲線及約登指數確定住院期間死亡風險;對連續變量進行正態性檢驗,服從正態分布的變量采用均數±標準差(±s)表示,服從非正態分布的采用中位數(四分位數間距)表示;分類變量以計數(百分比)表示;連續變量之間比較采用 t 檢驗。P<0.05 為差異有統計學意義。
2 結果
2.1 病例基本信息
共納入 610 例患者,其中男 464 例(76%),女 146 例(24%);平均年齡(71.2±10.0)歲;體重指數(21.79±4.47)kg/m2;吸煙指數(22.6±24.1)包年。
2.2 住院病情與入院 NLR 的關系
2.2.1 感染指標 PCT、WBC 對 NLR 的影響
入院時 PCT、WBC 水平越高患者,NLR 水平越高(P<0.05)。結果見表 1。

2.2.2 肺炎對 NLR 的影響
與入院時未合并肺炎組比較,入院時合并肺炎組 NLR 水平更高(P<0.05)。分析肺炎嚴重程度對 NLR 水平的影響,與 CURB-65 評分<3 分組比較,CURB-65 評分≥3 分組 NLR 水平更高(P<0.05)。結果見表 1。
2.2.3 EOS 與 NLR 的關系
與 EOS%<2% 組比較,入院時 EOS%≥2% 組的 NLR 水平更低(P<0.01)。結果見表 1。
2.2.4 呼吸衰竭對 NLR 的影響
合并呼吸衰竭組與未合并呼吸衰竭組比較,NLR 無統計學差異(P>0.05);Ⅰ型呼吸衰竭組與Ⅱ型呼吸衰竭組比較,NLR 也無統計學差異(P>0.05)。但是,與未合并呼吸衰竭組相比,合并呼吸衰竭組 NLR 值更高;與Ⅰ型呼吸衰竭組相比,Ⅱ型呼吸衰竭組的 NLR 水平也增高。
2.2.5 心力衰竭對 NLR 的影響
與未合并心力衰竭組比較,合并心力衰竭組 NLR 水平更高(P<0.05)。結果見表 1。
2.3 入院 NLR 與治療、住院結局的關系
2.3.1 NLR 與治療
需要使用呼吸機組 NLR 值較未使用組高,差異有統計學意義(P<0.05);需要使用靜脈糖皮質激素 NLR 值較未使用組高,差異有統計學意義(P<0.05);住院時間≥14 d 組 NLR 水平高于<14 d 組,差異有統計學意義(P<0.05)。結果見表 2。

2.3.2 NLR 與住院結局
住院死亡組 NLR 值(15.12±11.08)高于存活組(8.32±7.41),差異有統計學意義(P<0.05)。結果見表 2。
2.3.3 NLR 與住院病情預后的關系
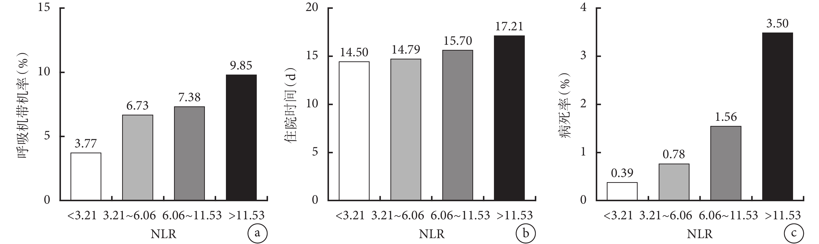
不同 NLR 區組間的帶機率、住院時間以及病死率比較結果顯示,隨著 NLR 水平增高,住院期間呼吸機帶機比例、住院時間以及最終住院病死率呈逐步增加趨勢(圖 1)。通過繪制 ROC 曲線分析 NLR 預測住院死亡風險,得出 NLR 曲線下面積為 0.727(比值比 4.112,95% 可信區間 0.609~0.849, P=0.002),截點值為 5.92,敏感性為 88%,特異性為 51%(圖 2)。

a. NLR 與呼吸機帶機率的關系;b. NLR 與住院時間的關系;c. NLR 與病死率的關系

2.4 NLR 對慢阻肺急性加重住院結局(死亡)的預測價值
2.4.1 入出院時(治療前后)NLR、CRP、IL-6 比較
與入院組比較,出院組 NLR、CRP、IL-6 值均降低,差異有統計學意義(P<0.05)。結果見表 3。

2.4.2 入院 NLR 與 CRP、IL-6 之間相關性分析
NLR 與 CRP、IL-6 均呈正相關(r=0.248、0.177,P<0.05)。
2.4.3 入院 NLR、CRP、IL-6 三者在不同住院結局之間的比較
與存活患者相比,死亡患者入院時的 NLR 明顯增高(P<0.05),而 CRP 及 IL-6 未見差異(P>0.05)。結果見表 4。

2.4.4 二元 Logistic 回歸分析結果
與慢阻肺急性加重患者住院死亡相關的危險因素為外周血較高水平的 NLR 及 IL-6。較高水平的 IL-6,患者死亡風險會增高,比值比為 1.014 倍(95% 可信區間 1.002~1.026);而較高水平的 NLR,患者死亡風險會更高,比值比為 1.074 倍(95% 可信區間 1.024~1.126)。結果見表 5。

3 討論
通過對 610 例患者住院資料的回顧性分析發現,合并肺炎及合并心力衰竭患者 NLR 水平更高,隨著 NLR 水平增加,住院帶機率及使用糖皮質激素比例增高,住院時間更長,且住院死亡率更高。通過繪制 ROC 曲線,分析 NLR 的截斷值為 5.92,計算出 NLR>5.92 患者住院期間死亡風險增加 4.112 倍。同時,此次研究還發現入院時 NLR 與 CRP、IL-6 相互關聯,與 CRP 及 IL-6 比較,NLR 在預測慢阻肺急性加重病情預后方面更有價值。
慢阻肺的一個重要病理機制是炎癥反應[17],反映慢阻肺急性加重的炎癥指標較多,如 CRP、腫瘤壞死因子-α、IL-6[18]。NLR 作為一個新的炎癥生物標志物有助于評估慢阻肺的病情,急性加重期慢阻肺患者的 NLR 值高于穩定期,而穩定期慢阻肺患者的 NLR 值明顯高于健康對照組(P<0.001)[9]。本研究也表明,慢阻肺急性加重患者的住院病情與 NLR 具有相關性。其一,合并肺部炎癥的慢阻肺急性加重患者,其 NLR 水平增高,CURB-65 評分≥3 分組患者的 NLR 水平更高,提示病情更重,預后更差。既往也有研究表明慢阻肺合并肺部炎癥患者的 NLR 明顯升高,同時還將 NLR 用于社區獲得性肺炎(CAP)的病情評估, 隨著 CURB-65 評分的增加,大于 18 歲的 CAP 患者的 NLR 呈遞增趨勢,說明 NLR 與 CAP 病情嚴重程度成正相關[19]。其二,本研究還發現合并心力衰竭的慢阻肺急性加重患者的 NLR 水平較未合并心力衰竭患者更高。在心力衰竭過程中,炎癥激活,中性粒細胞計數增多,心力衰竭同時也激活神經-內分泌系統,引起周圍循環血內皮質醇濃度顯著增高,導致外周血淋巴細胞計數減少,故 NLR 升高[20-21]。因此,合并肺炎及心力衰竭的慢阻肺急性加重患者中,上升的中性粒細胞計數與下降的淋巴細胞計數共同導致了 NLR 比值的升高,預示著患者病情預后不良。其三,慢阻肺急性加重患者常常合并呼吸衰竭,預示著病情惡化加重,但是本研究未發現呼吸衰竭與 NLR 有顯著相關性,可能是該次研究為回顧性研究,且此次研究搜集到的具有完整血氣結果資料的病例數僅有 321 例,存在數據資料不完整所致。另外,血氣采樣的時機與 NLR 采樣的時間誤差、動脈血氣穿刺的水平差異、血氣檢測儀的校對等因素也有影響。雖然如此,本研究發現合并呼吸衰竭組的 NLR 值高于未合并呼吸衰竭組,Ⅱ型呼吸衰竭組的 NLR 值高于Ⅰ型呼吸衰竭組。這說明高水平的 NLR 與慢阻肺急性加重的住院病情是有關聯的。
慢阻肺急性加重期炎癥水平的增高會導致各個臟器功能損害、病情嚴重度提高,增加患者的住院時間以及病死率。本研究發現 NLR 水平越高,呼吸機及靜脈糖皮質激素的使用率更高,住院時間更長,死亡率更高,預示它是慢阻肺急性加重預后的一個評估指標。Lee 等[22]在一項針對慢阻肺患者的回顧性研究中指出,NLR 與肺功能中的第 1 秒用力呼氣容積有顯著相關性,NLR 越高,氣流受限程度越重,肺功能惡化越明顯,需要呼吸機輔助通氣的比率相應增加。此外,糖皮質激素具有抗炎的作用,GOLD 指南反復指出對于具有急性加重病史的中度-極重度慢阻肺患者需要加用糖皮質激素進行治療。本研究表明使用糖皮質激素組 NLR 值高于未使用糖皮質激素組,這與既往研究結果一致[23]。近年來,評估慢阻肺患者糖皮質激素治療反應的一項重要指標是 EOS,有研究認為血 EOS 升高的慢阻肺患者急性加重的風險更大、對糖皮質激素的治療反應更好[24]。為了探究入院時 NLR 與血 EOS 的關系,本研究以 EOS% 是否大于 2% 進行分組比較,結果顯示與 EOS%<2% 組比較,入院時 EOS%≥2% 組的 NLR 水平更低(P<0.01)。這與 Chis 等[25]的研究結果一致,EOS 水平高的患者,NLR 值較低。本研究還發現,患者的 NLR 水平與住院結局顯著相關,隨著 NLR 水平增高,患者住院期間病死率增加。通過繪制 ROC 曲線得出 NLR 的截斷值為 5.92,計算出住院期間的死亡風險比值比為 4.112。而國外也有研究發現截斷值為 4 的 NLR 預測住院病死率的敏感性為 87%,特異性為 40%(曲線下面積 0.717)[26]。該截斷值的發現,有利于我們對慢阻肺急性加重住院患者死亡風險的早期識別及干預,降低死亡率;另一方面在臨床科研方面,還可以通過計算的截斷值來對患者分組,從而控制組間的可比性。
目前已經發現較多炎癥指標,如 CRP、IL-6、PCT、腫瘤壞死因子-α,特別是 CRP 及 IL-6 已經被普遍用于慢阻肺急性加重的病情評估[11, 18],但是廣大基層醫院由于費用貴、檢驗條件落后等原因不能廣泛開展。而近年來 NLR 作為炎癥標志物已經在多種慢性疾病中得到廣泛研究[27-28],NLR 獲取方便,費用低廉,實用價值大。本研究發現,慢阻肺急性加重患者的 NLR 水平經過治療后明顯下降,入院時 NLR 值越大,住院病死率越高,并且在 NLR 值大于 5.92 時,患者住院死亡風險增加 4.112 倍。另外,與存活患者相比,死亡患者入院時的 NLR 明顯增高,而 CRP 及 IL-6 在死亡及存活組的分析中未見統計學差異。多因素 Logistic 回歸分析也發現,較高水平的 NLR 在預測住院死亡危險時更有優勢。本研究還發現,NLR 與 CRP、IL-6 具有相關性,都可以在一定程度上反映氣道炎癥,因此我們可以在評估慢阻肺急性加重病情的時候聯合檢測 NLR,以作為常見炎性標志物 CRP、IL-6 的補充,或者作為一項替代指標,在不能開展 CRP、IL-6 檢測的基層醫院進行廣泛推廣。
綜上,NLR 有利于我們對患者病情進行判斷,協助臨床治療,甚至預測患者的住院死亡風險。NLR 可作為評估慢阻肺急性加重住院病情嚴重度及預測預后的炎癥標志物。但本研究為回顧性,一些數據收集欠完整,因此關于 NLR 在慢阻肺急性加重中的價值還有待進一步分析。
利益沖突:本研究不涉及任何利益沖突。
慢性阻塞性肺疾病(簡稱慢阻肺)是一種常見的以持續性呼吸道癥狀和氣流受限為特征的可以預防和治療的疾病[1]。慢阻肺的患病率及病死率呈逐年增長趨勢,全球 40 歲以上成年人的慢阻肺患病率在 5%~19%,是世界慢性發病率和死亡率的主要原因之一[2-4]。慢阻肺急性加重是患者在疾病過程中出現病情惡化,并需改變慢阻肺常規用藥的一種狀態,容易誘發呼吸衰竭、呼吸窘迫綜合征等不良事件,增加入院率、致殘率和死亡率等[5]。炎癥反應是慢阻肺重要的發病機制,其水平與慢阻肺急性發作、病情嚴重程度及預后密切相關,目前 C 反應蛋白(CRP)、白細胞介素-6(IL-6)、降鈣素原(PCT)等炎癥指標已經普遍在臨床上用于慢阻肺病情的評估[6-8]。但是 IL-6 及 PCT 這些指標的檢測因價格貴未能在基層醫院廣泛開展。國外有研究表明,中性粒細胞與淋巴細胞比值(NLR)可以作為評估慢阻肺病情的一項炎癥指標[9]。而國內關于 NLR 與慢阻肺急性加重患者住院病情及臨床預后的相關性的研究尚少。本研究旨在探討 NLR 與慢阻肺急性加重患者的病情、治療及預后等的關系,以此評估 NLR 在慢阻肺急性加重臨床應用中的價值。現將結果報道如下。
1 資料與方法
1.1 臨床資料
本研究為回顧性研究,并經醫院倫理委員會審核通過。根據 2018 年慢性阻塞性肺疾病全球倡議(GOLD)制定的標準,納入 2013 年至 2018 年間在四川大學華西醫院住院且診斷為慢阻肺急性加重的患者。合并先天性心臟疾病、腦卒中、高血壓病、自身免疫性疾病、血液系統腫瘤等可能影響相關臨床指標的疾病患者、臨床資料不齊全患者不納入此研究。最終納入 610 例患者。
1.2 方法
1.2.1 資料收集
根據既往研究結果[6, 10-16],從電子病歷系統收集了納入患者的可能與慢阻肺急性加重病情相關的病例資料。一般資料包括年齡、性別、吸煙指數、體重指數、住院時間。輔助檢查資料包括住院期間第一次及末次的外周血 NLR、白細胞計數、CRP、PCT、IL-6、血氣分析、嗜酸性粒細胞(EOS)計數、EOS 百分比(EOS%)、尿鈉肽(BNP)、心臟彩超的肺動脈直徑(MPA)。住院治療措施包括是否進行氧療、是否機械輔助通氣、是否使用全身糖皮質激素及抗生素。住院期間是否合并肺炎、心力衰竭、呼吸衰竭,以及最終臨床轉歸等信息。其中,PCT、IL-6 通過電化學發光定量法進行測定,PCT 高于 0.05 ng/mL 為異常,IL-6 高于 7.00 pg/mL 為異常;CRP 通過速率散射比濁法進行測定,CRP 高于 5 mg/L 為異常。血常規通過全自動血液分析儀測定,白細胞計數高于 9.5×109/L 或低于 3.5×109/L 為異常。血氣分析氧分壓低于 60 mm Hg(1 mm Hg = 0.133 kPa)和(或)二氧化碳分壓高于 50 mm Hg 定義為呼吸衰竭。將診斷為慢性肺源性心臟病且伴隨 BNP 增高、心臟彩超 MPA 增寬的樣本定義為慢阻肺合并心力衰竭。
1.2.2 研究方法
(1)分析 PCT、白細胞(WBC)、肺炎、呼吸衰竭及心力衰竭病情對入院 NLR 的影響。采用 CURB-65 評分評價肺炎嚴重程度,該評分包括 4 項內容:① 意識改變(C);② 血尿素氮(U)>7 mmol/L;③ 呼吸頻率(R)>30 次/min;④ 血壓(B)中收縮壓<90 mm Hg 或舒張壓<60 mm Hg;⑤ 年齡>65 歲。每符合一條為 1 分,總分最高為 5 分,以 3 分為截點,分析肺炎嚴重程度對 NLR 的影響。(2)分析住院期間帶機率、糖皮質激素使用情況、住院時間、住院結局與入院時 NLR 的關聯。(3)根據患者入院時 NLR 水平,按數值分布區間四分法將患者分為四組,每組患者的 NLR 值分別為:NLR>3.21、3.21≤NLR≤6.06、6.06<NLR≤11.53、NLR>11.53,統計四組患者的帶機率、住院時間、住院病死率。(4)分析 NLR、CRP、IL-6 三者之間的關系,比較 NLR 與其他炎癥指標在慢阻肺急性加重中的預測能力及價值。通過二元 Logistic 回歸分析探究 NLR 對病情預后的影響。根據受試者工作特征(ROC)曲線分析入院時 NLR 對住院死亡風險的預測價值,計算截斷值,根據該截斷值進行分組比較,計算住院期間死亡風險度。
1.3 統計學方法
采用 SPSS 23.0 統計軟件。采用方差分析進行組間比較;采用雙變量 Pearson 進行相關分析;利用 ROC 曲線及約登指數確定住院期間死亡風險;對連續變量進行正態性檢驗,服從正態分布的變量采用均數±標準差(±s)表示,服從非正態分布的采用中位數(四分位數間距)表示;分類變量以計數(百分比)表示;連續變量之間比較采用 t 檢驗。P<0.05 為差異有統計學意義。
2 結果
2.1 病例基本信息
共納入 610 例患者,其中男 464 例(76%),女 146 例(24%);平均年齡(71.2±10.0)歲;體重指數(21.79±4.47)kg/m2;吸煙指數(22.6±24.1)包年。
2.2 住院病情與入院 NLR 的關系
2.2.1 感染指標 PCT、WBC 對 NLR 的影響
入院時 PCT、WBC 水平越高患者,NLR 水平越高(P<0.05)。結果見表 1。

2.2.2 肺炎對 NLR 的影響
與入院時未合并肺炎組比較,入院時合并肺炎組 NLR 水平更高(P<0.05)。分析肺炎嚴重程度對 NLR 水平的影響,與 CURB-65 評分<3 分組比較,CURB-65 評分≥3 分組 NLR 水平更高(P<0.05)。結果見表 1。
2.2.3 EOS 與 NLR 的關系
與 EOS%<2% 組比較,入院時 EOS%≥2% 組的 NLR 水平更低(P<0.01)。結果見表 1。
2.2.4 呼吸衰竭對 NLR 的影響
合并呼吸衰竭組與未合并呼吸衰竭組比較,NLR 無統計學差異(P>0.05);Ⅰ型呼吸衰竭組與Ⅱ型呼吸衰竭組比較,NLR 也無統計學差異(P>0.05)。但是,與未合并呼吸衰竭組相比,合并呼吸衰竭組 NLR 值更高;與Ⅰ型呼吸衰竭組相比,Ⅱ型呼吸衰竭組的 NLR 水平也增高。
2.2.5 心力衰竭對 NLR 的影響
與未合并心力衰竭組比較,合并心力衰竭組 NLR 水平更高(P<0.05)。結果見表 1。
2.3 入院 NLR 與治療、住院結局的關系
2.3.1 NLR 與治療
需要使用呼吸機組 NLR 值較未使用組高,差異有統計學意義(P<0.05);需要使用靜脈糖皮質激素 NLR 值較未使用組高,差異有統計學意義(P<0.05);住院時間≥14 d 組 NLR 水平高于<14 d 組,差異有統計學意義(P<0.05)。結果見表 2。

2.3.2 NLR 與住院結局
住院死亡組 NLR 值(15.12±11.08)高于存活組(8.32±7.41),差異有統計學意義(P<0.05)。結果見表 2。
2.3.3 NLR 與住院病情預后的關系
不同 NLR 區組間的帶機率、住院時間以及病死率比較結果顯示,隨著 NLR 水平增高,住院期間呼吸機帶機比例、住院時間以及最終住院病死率呈逐步增加趨勢(圖 1)。通過繪制 ROC 曲線分析 NLR 預測住院死亡風險,得出 NLR 曲線下面積為 0.727(比值比 4.112,95% 可信區間 0.609~0.849, P=0.002),截點值為 5.92,敏感性為 88%,特異性為 51%(圖 2)。

a. NLR 與呼吸機帶機率的關系;b. NLR 與住院時間的關系;c. NLR 與病死率的關系

2.4 NLR 對慢阻肺急性加重住院結局(死亡)的預測價值
2.4.1 入出院時(治療前后)NLR、CRP、IL-6 比較
與入院組比較,出院組 NLR、CRP、IL-6 值均降低,差異有統計學意義(P<0.05)。結果見表 3。

2.4.2 入院 NLR 與 CRP、IL-6 之間相關性分析
NLR 與 CRP、IL-6 均呈正相關(r=0.248、0.177,P<0.05)。
2.4.3 入院 NLR、CRP、IL-6 三者在不同住院結局之間的比較
與存活患者相比,死亡患者入院時的 NLR 明顯增高(P<0.05),而 CRP 及 IL-6 未見差異(P>0.05)。結果見表 4。

2.4.4 二元 Logistic 回歸分析結果
與慢阻肺急性加重患者住院死亡相關的危險因素為外周血較高水平的 NLR 及 IL-6。較高水平的 IL-6,患者死亡風險會增高,比值比為 1.014 倍(95% 可信區間 1.002~1.026);而較高水平的 NLR,患者死亡風險會更高,比值比為 1.074 倍(95% 可信區間 1.024~1.126)。結果見表 5。

3 討論
通過對 610 例患者住院資料的回顧性分析發現,合并肺炎及合并心力衰竭患者 NLR 水平更高,隨著 NLR 水平增加,住院帶機率及使用糖皮質激素比例增高,住院時間更長,且住院死亡率更高。通過繪制 ROC 曲線,分析 NLR 的截斷值為 5.92,計算出 NLR>5.92 患者住院期間死亡風險增加 4.112 倍。同時,此次研究還發現入院時 NLR 與 CRP、IL-6 相互關聯,與 CRP 及 IL-6 比較,NLR 在預測慢阻肺急性加重病情預后方面更有價值。
慢阻肺的一個重要病理機制是炎癥反應[17],反映慢阻肺急性加重的炎癥指標較多,如 CRP、腫瘤壞死因子-α、IL-6[18]。NLR 作為一個新的炎癥生物標志物有助于評估慢阻肺的病情,急性加重期慢阻肺患者的 NLR 值高于穩定期,而穩定期慢阻肺患者的 NLR 值明顯高于健康對照組(P<0.001)[9]。本研究也表明,慢阻肺急性加重患者的住院病情與 NLR 具有相關性。其一,合并肺部炎癥的慢阻肺急性加重患者,其 NLR 水平增高,CURB-65 評分≥3 分組患者的 NLR 水平更高,提示病情更重,預后更差。既往也有研究表明慢阻肺合并肺部炎癥患者的 NLR 明顯升高,同時還將 NLR 用于社區獲得性肺炎(CAP)的病情評估, 隨著 CURB-65 評分的增加,大于 18 歲的 CAP 患者的 NLR 呈遞增趨勢,說明 NLR 與 CAP 病情嚴重程度成正相關[19]。其二,本研究還發現合并心力衰竭的慢阻肺急性加重患者的 NLR 水平較未合并心力衰竭患者更高。在心力衰竭過程中,炎癥激活,中性粒細胞計數增多,心力衰竭同時也激活神經-內分泌系統,引起周圍循環血內皮質醇濃度顯著增高,導致外周血淋巴細胞計數減少,故 NLR 升高[20-21]。因此,合并肺炎及心力衰竭的慢阻肺急性加重患者中,上升的中性粒細胞計數與下降的淋巴細胞計數共同導致了 NLR 比值的升高,預示著患者病情預后不良。其三,慢阻肺急性加重患者常常合并呼吸衰竭,預示著病情惡化加重,但是本研究未發現呼吸衰竭與 NLR 有顯著相關性,可能是該次研究為回顧性研究,且此次研究搜集到的具有完整血氣結果資料的病例數僅有 321 例,存在數據資料不完整所致。另外,血氣采樣的時機與 NLR 采樣的時間誤差、動脈血氣穿刺的水平差異、血氣檢測儀的校對等因素也有影響。雖然如此,本研究發現合并呼吸衰竭組的 NLR 值高于未合并呼吸衰竭組,Ⅱ型呼吸衰竭組的 NLR 值高于Ⅰ型呼吸衰竭組。這說明高水平的 NLR 與慢阻肺急性加重的住院病情是有關聯的。
慢阻肺急性加重期炎癥水平的增高會導致各個臟器功能損害、病情嚴重度提高,增加患者的住院時間以及病死率。本研究發現 NLR 水平越高,呼吸機及靜脈糖皮質激素的使用率更高,住院時間更長,死亡率更高,預示它是慢阻肺急性加重預后的一個評估指標。Lee 等[22]在一項針對慢阻肺患者的回顧性研究中指出,NLR 與肺功能中的第 1 秒用力呼氣容積有顯著相關性,NLR 越高,氣流受限程度越重,肺功能惡化越明顯,需要呼吸機輔助通氣的比率相應增加。此外,糖皮質激素具有抗炎的作用,GOLD 指南反復指出對于具有急性加重病史的中度-極重度慢阻肺患者需要加用糖皮質激素進行治療。本研究表明使用糖皮質激素組 NLR 值高于未使用糖皮質激素組,這與既往研究結果一致[23]。近年來,評估慢阻肺患者糖皮質激素治療反應的一項重要指標是 EOS,有研究認為血 EOS 升高的慢阻肺患者急性加重的風險更大、對糖皮質激素的治療反應更好[24]。為了探究入院時 NLR 與血 EOS 的關系,本研究以 EOS% 是否大于 2% 進行分組比較,結果顯示與 EOS%<2% 組比較,入院時 EOS%≥2% 組的 NLR 水平更低(P<0.01)。這與 Chis 等[25]的研究結果一致,EOS 水平高的患者,NLR 值較低。本研究還發現,患者的 NLR 水平與住院結局顯著相關,隨著 NLR 水平增高,患者住院期間病死率增加。通過繪制 ROC 曲線得出 NLR 的截斷值為 5.92,計算出住院期間的死亡風險比值比為 4.112。而國外也有研究發現截斷值為 4 的 NLR 預測住院病死率的敏感性為 87%,特異性為 40%(曲線下面積 0.717)[26]。該截斷值的發現,有利于我們對慢阻肺急性加重住院患者死亡風險的早期識別及干預,降低死亡率;另一方面在臨床科研方面,還可以通過計算的截斷值來對患者分組,從而控制組間的可比性。
目前已經發現較多炎癥指標,如 CRP、IL-6、PCT、腫瘤壞死因子-α,特別是 CRP 及 IL-6 已經被普遍用于慢阻肺急性加重的病情評估[11, 18],但是廣大基層醫院由于費用貴、檢驗條件落后等原因不能廣泛開展。而近年來 NLR 作為炎癥標志物已經在多種慢性疾病中得到廣泛研究[27-28],NLR 獲取方便,費用低廉,實用價值大。本研究發現,慢阻肺急性加重患者的 NLR 水平經過治療后明顯下降,入院時 NLR 值越大,住院病死率越高,并且在 NLR 值大于 5.92 時,患者住院死亡風險增加 4.112 倍。另外,與存活患者相比,死亡患者入院時的 NLR 明顯增高,而 CRP 及 IL-6 在死亡及存活組的分析中未見統計學差異。多因素 Logistic 回歸分析也發現,較高水平的 NLR 在預測住院死亡危險時更有優勢。本研究還發現,NLR 與 CRP、IL-6 具有相關性,都可以在一定程度上反映氣道炎癥,因此我們可以在評估慢阻肺急性加重病情的時候聯合檢測 NLR,以作為常見炎性標志物 CRP、IL-6 的補充,或者作為一項替代指標,在不能開展 CRP、IL-6 檢測的基層醫院進行廣泛推廣。
綜上,NLR 有利于我們對患者病情進行判斷,協助臨床治療,甚至預測患者的住院死亡風險。NLR 可作為評估慢阻肺急性加重住院病情嚴重度及預測預后的炎癥標志物。但本研究為回顧性,一些數據收集欠完整,因此關于 NLR 在慢阻肺急性加重中的價值還有待進一步分析。
利益沖突:本研究不涉及任何利益沖突。