引用本文: 陳小波, 馮艷. 經肛門拖出式腹腔鏡與傳統腹腔鏡手術治療直腸癌近期療效差異的 meta 分析. 中國普外基礎與臨床雜志, 2020, 27(4): 464-475. doi: 10.7507/1007-9424.201907088 復制
直腸癌是全世界范圍內高發的惡性腫瘤,目前仍以手術切除方式為主要治療手段,而隨著微創理念的不斷深入,腹腔鏡手術已成為直腸癌治療常見且成熟的手術方式[1]。腹腔鏡手術具有創傷小、出血少及恢復快的優點,其手術的安全性、腫瘤安全性等已在直腸癌治療中獲得廣泛認可[2],但是傳統腹腔鏡術式需要在腹部行切口取出腫瘤標本,這樣不可避免地增加了手術創傷、術后的疼痛不適以及相關治療費用。近年來,隨著腹腔鏡技術的逐步發展成熟,各種改良術式也逐漸應運而生,經肛門拖出式腹腔鏡直腸癌根治術(laparoscopic transanal pull through surgery,LTPTS)因其腹部切口可達到無痕的效果而備受關注,其在遵守全直腸系膜切除原則的同時,擁有自然腔道取出標本而低創的優勢;此外,其具有更加接近微創外科理念的特點,目前在直腸癌的治療中正逐步開展和應用[3-4]。此術式避免了腹部輔助切口的創傷,在一定程度上改善了傳統腹腔鏡手術(CLS)帶來的切口創傷較大、術后疼痛較重及費用相對較高的缺點,但是對于該術式在直腸癌治療中是否安全、可靠及有效,目前仍沒有明確的一致意見,故筆者利用系統分析方法對 LTPTS 和 CLS 的近期療效進行評價。
1 資料與方法
1.1 文獻納入及排除標準
1.1.1 研究類型
納入文獻類型必須為隨機對照研究(RCT)或設計良好的非隨機對照研究(NRCT),且是已發表的原始文獻。
1.1.2 研究對象
研究對象為術前確診的直腸癌患者,未接受其他治療且不合并其他腫瘤;腫瘤侵襲局限于直腸 1/2 周徑內且無遠處轉移。
1.1.3 干預措施
LTPTS 組患者行 LTPTS,CLS 組患者行 CLS。
1.1.4 結局指標
結局指標包括淋巴結清掃數目、手術時間、術中出血量、術后腸道功能恢復時間、術后住院時間、切緣距腫瘤距離、總并發癥發生率、吻合口漏發生率及切口感染發生率。
1.1.5 排除標準
① 研究對象非臨床確診的直腸癌患者或已接受其他治療;② 腫瘤侵犯直腸超過 1/2 周徑,或已遠處轉移;③ 干預措施不是上述 2 種手術方式;④ 文獻類型非 RCT 研究或設計良好的 NRCT 研究;⑤ 學位或會議論文;⑥ 非原始文獻或非已發表的文獻。
1.2 文獻檢索及方法
通過檢索 PubMed、Cochrane Library、Embase、中國知網、中國生物醫學、萬方、維普科技期刊等國內外數據庫中發表的有關 LTPTS 與 CLS 治療直腸癌的文獻并按照標準納入研究。采用關鍵詞進行檢索,其中中文關鍵詞包括:肛門、肛門拖出、自然腔道、標本取出、腹部無切口、無切口腹腔鏡、腹腔鏡、直腸癌及直腸腫瘤;英文關鍵詞包括:anal、natural orifices、NOSE、natural orifices specimen extraction、incisionless laparoscopy、laparoscopy、laparotomy、rectal cancer、rectal neoplasm 和 rectal tumour。檢索時間限定為 2009 年 1 月至 2019 年 7 月。以 PubMed 數據庫為例,其英文檢索策略見框 1。

1.3 數據提取與文獻質量評價
由 1 位研究者按照提前制定的數據提取表對納入資料分別進行提取和核對,同時對可能產生分歧的部分數據,在經過與另一人共同評判后取舍該文獻是否適合納入研究。對納入研究文獻質量的評價方法為:納入文獻若為 RCT 研究即采取 Cochrane 協作網提供的標準[5]進行質量評價,若為設計良好的 NRCT 研究則按 MINORS(methodological index for non-randomized studies)條目[6]的標準進行質量評價。
1.4 統計學方法
采用 Stata 12.0 軟件進行統計分析。通過 Q 檢驗及 I2 檢驗對文獻進行異質性分析,若 P≥0.1,I2≤25%,可認為研究結果間異質性可接受,采用固定效應模型合并分析;若 P<0.1 或 I2>25%,可認為研究結果間具有明顯異質性,采用隨機效應模型合并分析。所有合并統計量均計算 95% 可信區間(CI)。檢驗水準 α=0.05。
2 納入文獻的基本情況和質量評價
2.1 結果
采用計算機檢索出 412 篇相關文獻,但經過去重、閱讀文獻摘要及全文后逐步篩選,最終評審共納入研究文獻 19 篇[7-25],文獻檢索流程見圖 1。其中 4 篇[7, 9, 16-17]為 RCT 研究,15 篇[8, 10-15, 18-25]為 NRCT 研究,共包括結直腸癌患者 2 683 例,其中 1 164 例行 LTPTS,1 519 例行 CLS。本研究納入文獻的基本信息見表 1,文獻質量評價結果見表 2 和表 3。




2.2 meta 分析結果
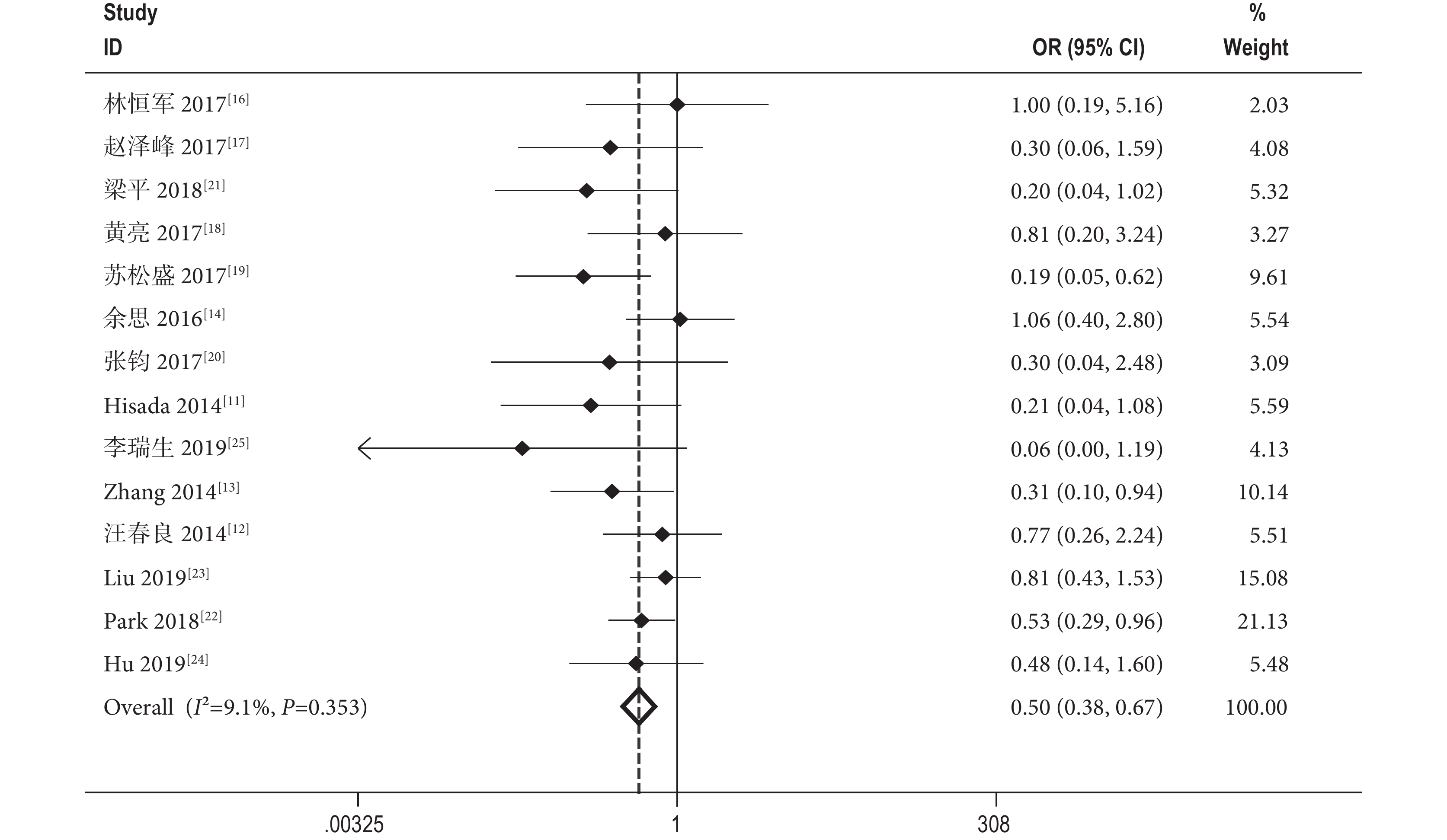
通過對各觀察指標進行異質性分析后,對于異質性較大者,采用隨機效應模型進行分析,并根據敏感性分析對納入文獻的穩定性進行判斷,最終各研究指標納入文獻的數目及異質性結果見表 4。與 CLS 比較,LTPTS 具有手術時間縮短、術中出血量降低、術后腸道功能恢復時間提前、術后住院時間短、總并發癥發生率降低及切口感染發生率降低的優點,差異均有統計學意義(P<0.05),而 2 種手術方式在淋巴結清掃數目、切緣距腫瘤距離和吻合口漏發生率方面差異均無統計學意義(P>0.05)。各指標的 meta 分析結果見表 4 和圖 2–圖 10。










2.3 敏感性分析
對采取隨機效應模型進行數據處理分析的研究結局指標進行敏感性分析,其中包括:淋巴結清掃數目、手術時間、術中出血量、術后住院時間、術后腸道功能恢復時間和切緣距腫瘤距離,結果均顯示,不存在明顯影響效應模型整體穩定性的研究文獻,提示結果可靠,具體見圖 11。

a:淋巴結清掃數目;b:手術時間;c:術中出血量; d:術后住院時間;e:術后腸道功能恢復時間;f:切緣距腫瘤距離
2.4 文獻偏倚結果分析
對納入文獻數量≥10 的研究指標進行偏倚情況分析,包括淋巴結清掃數目、手術時間、術中出血量、術后腸道功能恢復時間、術后住院時間、總并發癥發生率、吻合口漏發生率及切口感染發生率8 個研究指標,采取 Begg’s 檢驗進行偏倚風險評估。結果顯示:上述各指標的統計學結果中|Z|值及其校正值均大于 0.05(P>0.05),表示差異均無統計學意義,提示存在的偏倚風險可接受,具體見圖 12。

a:淋巴結清掃數目;b:手術時間;c:術中出血量;d:術后住院時間;e:術后腸道功能恢復時間;f:總并發癥發生率;g:吻合口漏發生率;h:切口感染發生率
3 討論
結直腸癌作為世界范圍內最常見的惡性腫瘤之一,高居惡性腫瘤發病率的第 3 位,死亡率的第 2 位,而其中直腸癌發病率占近 2/3 的比例,因而未來針對直腸癌的治療將受到越來越多的重視[26-27]。近年來隨著腹腔鏡技術的快速發展,經自然腔道標本移除(naturalorifice specimen extraction,NOSE)概念的出現讓微創外科進入了一個新的領域,其理念是在腹腔鏡下實施前期操作后利用人體的自然腔道(如經陰道、經肛門等)將標本移出體外的一種手術方法[28]。LTPTS 是其中的一種手術方式,它是在 CLS 輔助基礎上,通過把直腸外翻拖至肛門外加以切除和吻合的技術[29],該術式擁有眾多優點,包括:能完成更加低位的腸吻合,幾乎不受患者肥胖、骨盆狹小等因素的限制;可直視下觀察腫瘤及判斷切緣位置,使得切割位置更為客觀準確;直腸外翻后,切斷腸管時可以徹底清除吻合口周圍的組織,真正做到全直腸系膜切除;肉眼直視下行腸管全層端端吻合,從而進一步保障了切緣的平整及腸吻合質量;腫瘤經肛門自然腔道取出,而無需取腹部切口,從而加速術后康復。近年來,多研究中心[4, 13, 30]對 LTPTS 治療直腸癌的療效進行了相關研究,并認為該術式可以為直腸癌患者的治療帶來不錯的臨床效益。
本研究經過系統分析,結果表明,與 CLS 比較,LTPTS 的手術時間更短(WMD=–6.78),可能原因為,其避免了腹部輔助切口的建立,無需縫合腹部取標本時遺留的切口,同時該術式減少了術中反復分離操作從而縮短了手術時間。術中出血量更少(WMD=–14.94),可能原因為,其手術時間的縮短、術中反復分離操作的減少在一定程度上減少了出血量,同時還避免了行腹部輔助切口時產生的出血。術后腸道排氣時間提前(WMD=–13.55),可能原因為,LTPTS 的手術操作過程輕柔,對內臟干擾小,避免了通過輔助切口對腸管的反復機械牽拉,從而減少了對腸道功能的影響;手術時間的縮短減少了對腸道的刺激,術后疼痛的減輕也使得患者可早期下床活動,從而促進腸道功能的恢復。術后住院時間縮短(WMD=–1.60),可能原因為,手術時間的縮短和出血量的減少均使得對患者的手術和麻醉創傷減小,腹部無輔助切口減輕了術后疼痛,從而促進術后早期活動、加快康復進程,同時還減小了切口感染的發生風險,從而縮短術后住院時間。總并發癥發生率降低(OR=0.50)且切口感染率降低(OR=0.19),可能原因為:手術時間的縮短、出血量的減少、腹部標本切口的避免及術后疼痛的減輕均使得手術打擊對患者的影響減小,以及術后早期下床活動均能減少對機體免疫功能的抑制作用,從而增強患者術后抗感染能力,同時由于避免了對腸管的反復機械牽拉從而減少了腸壁損傷和水腫,降低了細菌從腸腔擴散的機會,從而降低并發癥的發生率[31-32]。但是,在淋巴結清掃數目WMD=–0.02)、切緣距腫瘤距離(WMD=0.13)和吻合口漏發生率(OR=0.97)方面兩者無明顯差異,以上手術治療質量的高風險因素均未表現出明顯的差異性,這也說明了 LTPTS 是安全和可靠的,比 CLS 風險沒有增加。
綜上所述,在直腸癌的治療中,LTPTS 是值得推廣和利用的,其能夠有效地保障患者近期手術療效的安全性、有效性和可靠性。不過,本研究也存在著一些不足之處,納入研究的文獻中還存在部分 NRCT 以及可能存在的偏倚也將影響研究的質量,故將來仍然還需要更大樣本的臨床 RCT 研究來進一步驗證。
重要聲明
利益沖突聲明:本文全體作者閱讀并理解了《中國普外基礎與臨床雜志》的政策聲明,我們沒有相互競爭的利益關系。
作者貢獻聲明:陳小波全程參與文獻的檢索、資料的整理、信息的納入以及論文的寫作過程;馮艷參與對論文資料的整理、統計方法的確立以及對論文的修改工作。
直腸癌是全世界范圍內高發的惡性腫瘤,目前仍以手術切除方式為主要治療手段,而隨著微創理念的不斷深入,腹腔鏡手術已成為直腸癌治療常見且成熟的手術方式[1]。腹腔鏡手術具有創傷小、出血少及恢復快的優點,其手術的安全性、腫瘤安全性等已在直腸癌治療中獲得廣泛認可[2],但是傳統腹腔鏡術式需要在腹部行切口取出腫瘤標本,這樣不可避免地增加了手術創傷、術后的疼痛不適以及相關治療費用。近年來,隨著腹腔鏡技術的逐步發展成熟,各種改良術式也逐漸應運而生,經肛門拖出式腹腔鏡直腸癌根治術(laparoscopic transanal pull through surgery,LTPTS)因其腹部切口可達到無痕的效果而備受關注,其在遵守全直腸系膜切除原則的同時,擁有自然腔道取出標本而低創的優勢;此外,其具有更加接近微創外科理念的特點,目前在直腸癌的治療中正逐步開展和應用[3-4]。此術式避免了腹部輔助切口的創傷,在一定程度上改善了傳統腹腔鏡手術(CLS)帶來的切口創傷較大、術后疼痛較重及費用相對較高的缺點,但是對于該術式在直腸癌治療中是否安全、可靠及有效,目前仍沒有明確的一致意見,故筆者利用系統分析方法對 LTPTS 和 CLS 的近期療效進行評價。
1 資料與方法
1.1 文獻納入及排除標準
1.1.1 研究類型
納入文獻類型必須為隨機對照研究(RCT)或設計良好的非隨機對照研究(NRCT),且是已發表的原始文獻。
1.1.2 研究對象
研究對象為術前確診的直腸癌患者,未接受其他治療且不合并其他腫瘤;腫瘤侵襲局限于直腸 1/2 周徑內且無遠處轉移。
1.1.3 干預措施
LTPTS 組患者行 LTPTS,CLS 組患者行 CLS。
1.1.4 結局指標
結局指標包括淋巴結清掃數目、手術時間、術中出血量、術后腸道功能恢復時間、術后住院時間、切緣距腫瘤距離、總并發癥發生率、吻合口漏發生率及切口感染發生率。
1.1.5 排除標準
① 研究對象非臨床確診的直腸癌患者或已接受其他治療;② 腫瘤侵犯直腸超過 1/2 周徑,或已遠處轉移;③ 干預措施不是上述 2 種手術方式;④ 文獻類型非 RCT 研究或設計良好的 NRCT 研究;⑤ 學位或會議論文;⑥ 非原始文獻或非已發表的文獻。
1.2 文獻檢索及方法
通過檢索 PubMed、Cochrane Library、Embase、中國知網、中國生物醫學、萬方、維普科技期刊等國內外數據庫中發表的有關 LTPTS 與 CLS 治療直腸癌的文獻并按照標準納入研究。采用關鍵詞進行檢索,其中中文關鍵詞包括:肛門、肛門拖出、自然腔道、標本取出、腹部無切口、無切口腹腔鏡、腹腔鏡、直腸癌及直腸腫瘤;英文關鍵詞包括:anal、natural orifices、NOSE、natural orifices specimen extraction、incisionless laparoscopy、laparoscopy、laparotomy、rectal cancer、rectal neoplasm 和 rectal tumour。檢索時間限定為 2009 年 1 月至 2019 年 7 月。以 PubMed 數據庫為例,其英文檢索策略見框 1。

1.3 數據提取與文獻質量評價
由 1 位研究者按照提前制定的數據提取表對納入資料分別進行提取和核對,同時對可能產生分歧的部分數據,在經過與另一人共同評判后取舍該文獻是否適合納入研究。對納入研究文獻質量的評價方法為:納入文獻若為 RCT 研究即采取 Cochrane 協作網提供的標準[5]進行質量評價,若為設計良好的 NRCT 研究則按 MINORS(methodological index for non-randomized studies)條目[6]的標準進行質量評價。
1.4 統計學方法
采用 Stata 12.0 軟件進行統計分析。通過 Q 檢驗及 I2 檢驗對文獻進行異質性分析,若 P≥0.1,I2≤25%,可認為研究結果間異質性可接受,采用固定效應模型合并分析;若 P<0.1 或 I2>25%,可認為研究結果間具有明顯異質性,采用隨機效應模型合并分析。所有合并統計量均計算 95% 可信區間(CI)。檢驗水準 α=0.05。
2 納入文獻的基本情況和質量評價
2.1 結果
采用計算機檢索出 412 篇相關文獻,但經過去重、閱讀文獻摘要及全文后逐步篩選,最終評審共納入研究文獻 19 篇[7-25],文獻檢索流程見圖 1。其中 4 篇[7, 9, 16-17]為 RCT 研究,15 篇[8, 10-15, 18-25]為 NRCT 研究,共包括結直腸癌患者 2 683 例,其中 1 164 例行 LTPTS,1 519 例行 CLS。本研究納入文獻的基本信息見表 1,文獻質量評價結果見表 2 和表 3。




2.2 meta 分析結果
通過對各觀察指標進行異質性分析后,對于異質性較大者,采用隨機效應模型進行分析,并根據敏感性分析對納入文獻的穩定性進行判斷,最終各研究指標納入文獻的數目及異質性結果見表 4。與 CLS 比較,LTPTS 具有手術時間縮短、術中出血量降低、術后腸道功能恢復時間提前、術后住院時間短、總并發癥發生率降低及切口感染發生率降低的優點,差異均有統計學意義(P<0.05),而 2 種手術方式在淋巴結清掃數目、切緣距腫瘤距離和吻合口漏發生率方面差異均無統計學意義(P>0.05)。各指標的 meta 分析結果見表 4 和圖 2–圖 10。










2.3 敏感性分析
對采取隨機效應模型進行數據處理分析的研究結局指標進行敏感性分析,其中包括:淋巴結清掃數目、手術時間、術中出血量、術后住院時間、術后腸道功能恢復時間和切緣距腫瘤距離,結果均顯示,不存在明顯影響效應模型整體穩定性的研究文獻,提示結果可靠,具體見圖 11。

a:淋巴結清掃數目;b:手術時間;c:術中出血量; d:術后住院時間;e:術后腸道功能恢復時間;f:切緣距腫瘤距離
2.4 文獻偏倚結果分析
對納入文獻數量≥10 的研究指標進行偏倚情況分析,包括淋巴結清掃數目、手術時間、術中出血量、術后腸道功能恢復時間、術后住院時間、總并發癥發生率、吻合口漏發生率及切口感染發生率8 個研究指標,采取 Begg’s 檢驗進行偏倚風險評估。結果顯示:上述各指標的統計學結果中|Z|值及其校正值均大于 0.05(P>0.05),表示差異均無統計學意義,提示存在的偏倚風險可接受,具體見圖 12。

a:淋巴結清掃數目;b:手術時間;c:術中出血量;d:術后住院時間;e:術后腸道功能恢復時間;f:總并發癥發生率;g:吻合口漏發生率;h:切口感染發生率
3 討論
結直腸癌作為世界范圍內最常見的惡性腫瘤之一,高居惡性腫瘤發病率的第 3 位,死亡率的第 2 位,而其中直腸癌發病率占近 2/3 的比例,因而未來針對直腸癌的治療將受到越來越多的重視[26-27]。近年來隨著腹腔鏡技術的快速發展,經自然腔道標本移除(naturalorifice specimen extraction,NOSE)概念的出現讓微創外科進入了一個新的領域,其理念是在腹腔鏡下實施前期操作后利用人體的自然腔道(如經陰道、經肛門等)將標本移出體外的一種手術方法[28]。LTPTS 是其中的一種手術方式,它是在 CLS 輔助基礎上,通過把直腸外翻拖至肛門外加以切除和吻合的技術[29],該術式擁有眾多優點,包括:能完成更加低位的腸吻合,幾乎不受患者肥胖、骨盆狹小等因素的限制;可直視下觀察腫瘤及判斷切緣位置,使得切割位置更為客觀準確;直腸外翻后,切斷腸管時可以徹底清除吻合口周圍的組織,真正做到全直腸系膜切除;肉眼直視下行腸管全層端端吻合,從而進一步保障了切緣的平整及腸吻合質量;腫瘤經肛門自然腔道取出,而無需取腹部切口,從而加速術后康復。近年來,多研究中心[4, 13, 30]對 LTPTS 治療直腸癌的療效進行了相關研究,并認為該術式可以為直腸癌患者的治療帶來不錯的臨床效益。
本研究經過系統分析,結果表明,與 CLS 比較,LTPTS 的手術時間更短(WMD=–6.78),可能原因為,其避免了腹部輔助切口的建立,無需縫合腹部取標本時遺留的切口,同時該術式減少了術中反復分離操作從而縮短了手術時間。術中出血量更少(WMD=–14.94),可能原因為,其手術時間的縮短、術中反復分離操作的減少在一定程度上減少了出血量,同時還避免了行腹部輔助切口時產生的出血。術后腸道排氣時間提前(WMD=–13.55),可能原因為,LTPTS 的手術操作過程輕柔,對內臟干擾小,避免了通過輔助切口對腸管的反復機械牽拉,從而減少了對腸道功能的影響;手術時間的縮短減少了對腸道的刺激,術后疼痛的減輕也使得患者可早期下床活動,從而促進腸道功能的恢復。術后住院時間縮短(WMD=–1.60),可能原因為,手術時間的縮短和出血量的減少均使得對患者的手術和麻醉創傷減小,腹部無輔助切口減輕了術后疼痛,從而促進術后早期活動、加快康復進程,同時還減小了切口感染的發生風險,從而縮短術后住院時間。總并發癥發生率降低(OR=0.50)且切口感染率降低(OR=0.19),可能原因為:手術時間的縮短、出血量的減少、腹部標本切口的避免及術后疼痛的減輕均使得手術打擊對患者的影響減小,以及術后早期下床活動均能減少對機體免疫功能的抑制作用,從而增強患者術后抗感染能力,同時由于避免了對腸管的反復機械牽拉從而減少了腸壁損傷和水腫,降低了細菌從腸腔擴散的機會,從而降低并發癥的發生率[31-32]。但是,在淋巴結清掃數目WMD=–0.02)、切緣距腫瘤距離(WMD=0.13)和吻合口漏發生率(OR=0.97)方面兩者無明顯差異,以上手術治療質量的高風險因素均未表現出明顯的差異性,這也說明了 LTPTS 是安全和可靠的,比 CLS 風險沒有增加。
綜上所述,在直腸癌的治療中,LTPTS 是值得推廣和利用的,其能夠有效地保障患者近期手術療效的安全性、有效性和可靠性。不過,本研究也存在著一些不足之處,納入研究的文獻中還存在部分 NRCT 以及可能存在的偏倚也將影響研究的質量,故將來仍然還需要更大樣本的臨床 RCT 研究來進一步驗證。
重要聲明
利益沖突聲明:本文全體作者閱讀并理解了《中國普外基礎與臨床雜志》的政策聲明,我們沒有相互競爭的利益關系。
作者貢獻聲明:陳小波全程參與文獻的檢索、資料的整理、信息的納入以及論文的寫作過程;馮艷參與對論文資料的整理、統計方法的確立以及對論文的修改工作。