引用本文: 張之濤, 楊仲俊, 王曉瓊, 閆鵬. MTHFR 基因 A1298C 位點的多態性與亞洲人群乳腺癌發生關系的 meta 分析. 中國普外基礎與臨床雜志, 2017, 24(11): 1371-1379. doi: 10.7507/1007-9424.201705021 復制
根據全國腫瘤登記中心[1]發布的最新數據顯示,我國目前每年女性乳腺癌新發病例約 24.9 萬,乳腺癌的發病率位居城市女性癌癥發病的首位,位居農村女性癌癥發病的第 2 位,近 10 年來其發病率和死亡率呈逐年上升的趨勢。乳腺癌的發病機制尚未完全明了。研究[2]表明,葉酸缺乏與乳腺癌的患病風險密切相關,5, 10-亞甲基四氫葉酸還原酶(methylenetetrahydrofolate reductase,MTHFR)是葉酸代謝通路中的關鍵酶,MTHFR 基因多態性可導致酶活性下降,影響葉酸的正常代謝循環,進而影響乳腺癌的發生和發展。有研究[3]表明,MTHFR 基因突變可能是乳腺癌的遺傳易感性因素,MTHFR 基因 A1298C 位點的多態性可能與乳腺癌的發生相關,但是二者的相關性尚無定論[4]。鑒于不同地區和種族乳腺癌的發病存在明顯差異,且乳腺癌發病具有明顯的遺傳異質性,因此,本研究采用 meta 分析的方法,定量評價了 MTHFR 基因 A1298C 位點的多態性與亞洲人群乳腺癌易感性的關系。
1 資料與方法
1.1 文獻納入和排除標準
1.1.1 研究類型 關于 MTHFR 基因 A1298C 位點的多態性與亞洲人群乳腺癌發病關系的病例對照研究。
1.1.2 研究對象 病理學檢查確診為乳腺癌的患者和健康對照者。
1.1.3 暴露因素 MTHFR 基因 A1298C 位點的多態性。
1.1.4 結局指標 MTHFR 基因 A1298C 位點的多態性與乳腺癌的發生情況。
1.1.5 排除標準 排除綜述、重復報道及個案報道,以及缺乏 MTHFR 基因 A1298C 位點的基因型分布相關數據的文獻。
1.2 文獻檢索策略
計算機檢索 PubMed、EMBASE、Web of science、中國生物醫學文獻數據庫、中文科技期刊數據庫、中國期刊全文數據庫及萬方數據庫,全面搜集有關 MTHFR 基因 A1298C 位點的多態性與亞洲人群乳腺癌發生關系的病例對照研究,檢索日期均從建庫到 2017 年 3 月。此外,追溯納入研究的參考文獻,以補充獲取相關文獻。外文數據庫的檢索采用主題詞和自由詞相結合的檢索策略。英文檢索詞包括:“breast cancer”“breast carcinoma”“breast neoplasm”“MTHFR”“methylene tetrahydrofolate reductase”及“polymorphism”;中文檢索詞包括:“乳腺腫瘤”“乳腺癌”“亞甲基四氫葉酸還原酶”“MTHFR”及“基因多態性”。
1.3 文獻篩選及資料提取
由 2 位研究者獨立進行文獻篩選,排除明顯不符合納入標準的文獻。最后由 2 位研究者交叉核對,對于難以確定是否納入的文獻,通過小組討論解決分歧。由該 2 位研究者按照預先設計的表格獨立進行資料提取,并交叉核對資料提取的結果。提取的信息包括:發表文獻的第一作者、發表年份、機構所在國家或地區、Hardy-Weinberg 遺傳平衡(HWE)數值、對照組的來源、病例組和對照組的樣本量及各基因型的分布頻數。采用 NOS 量表(Newcastle-Ottawa Scale)[5]評價納入研究的偏倚風險,NOS 量表的總分是 9 分,≥7 分時被認為是高質量研究。
1.4 統計學方法
采用 Stata 12.0 軟件進行統計學分析,計數資料采用比值比(OR)及其 95% CI 為效應分析統計量。采用 χ2 檢驗對納入研究進行異質性檢驗,當納入研究間的異質性無統計學意義時(I2<50%,P≥0.10),采用固定效應模型進行合并分析;若納入研究間的異質性有統計學意義(I2≥50%,P<0.10),則采用隨機效應模型進行合并分析。分別對雜合子模型(AA 比 AC、AC 比 CC)、純合子模型(AA 比 CC)、顯性模型(AA+AC 比 CC)及隱性模型(AC+CC 比 AA)進行 meta 分析,采用 Begg’s 檢驗評估納入研究的發表偏倚,t>0.05 時則認為無明顯的發表偏倚。敏感性分析時,通過逐一剔除研究后觀察結果的差異來評價研究結果的穩定性。檢驗水準α=0.05。
2 結果
2.1 納入文獻的一般特征
全面檢索前述電子數據庫,再進行文獻的剔重、初篩及全文閱讀篩選,最終有 19 篇[3-4, 6-22]文獻符合納入標準,納入研究均基于亞洲人群,文獻檢索流程詳見圖 1。19 篇文獻中,1 篇文獻來自克什米爾[6],1 篇文獻的研究對象來自新加坡和中國[7],1 篇文獻來自泰國[8],1 篇文獻來自約旦[9],其余文獻均僅來自中國。納入研究的一般特征見表 1。
圖1
示文獻篩選流程及結果
2.2 納入文獻的質量評價結果
7 篇文獻的 NOS 評分為 6 分,6 篇為 7 分,6 篇為 8 分(表 1),共 15 篇文獻屬于高質量研究。
2.3 meta 分析結果
19 篇文獻均報道了 MTHFR 基因 A1298C 位點多態性與亞洲人群乳腺癌患病風險的相關性,其中病例組共納入 7 454 例乳腺癌患者,對照組共納入 8 255 位健康對照。
2.3.1 雜合子模型 異質性檢驗結果表明,兩類雜合子模型下納入研究間的異質性均無統計學意義(I2=0,P=0.473;I2=0,P=0.925),故均采用固定效應模型進行 meta 分析。結果顯示,病例組和對照組的 AA 基因型和 AC 基因型頻率比較差異均無統計學意義〔OR=0.97,95% CI 為(0.91,1.04),P=0.374〕,見圖 2;病例組和對照組的 AC 基因型和 CC 基因型頻率比較差異亦無統計學意義〔OR=0.87,95% CI 為(0.75,1.01),P=0.060〕,見圖 3。
圖2
示雜合子模型(AA 比 AC)與乳腺癌發生關系的 meta 分析結果
圖3
示雜合子模型(AC 比 CC)與乳腺癌發生關系的 meta 分析結果
2.3.2 純合子模型 異質性檢驗結果表明,納入研究間的異質性無統計學意義(I2=0,P=0.900),故采用固定效應模型進行 meta 分析。結果顯示:病例組和對照組的 AA 基因型和 CC 基因型頻率比較差異無統計學意義〔OR=0.87,95%CI 為(0.76,1.01),P=0.061〕,見圖 4。
圖4
示純合子模型(AA 比 CC)與乳腺癌發生關系的 meta 分析結果
2.3.3 顯性模型 異質性檢驗結果表明,納入研究間的異質性無統計學意義(I2=0,P=0.916),故采用固定效應模型進行 meta 分析。結果顯示:病例組和對照組的 AA+AC 基因型和 CC 基因型頻率比較差異無統計學意義〔OR=0.88,95% CI 為(0.76,1.01),P=0.061〕,見圖 5。
圖5
示顯性模型(AA+AC 比 CC)與乳腺癌發生關系的 meta 分析結果
2.3.4 隱性模型 異質性檢驗結果表明,納入研究間的異質性無統計學意義(I2=4.1%,P=0.406),故采用固定效應模型進行 meta 分析。結果顯示:病例組和對照組的 AC+CC 基因型和 AA 基因型頻率比較差異無統計學意義〔OR=0.99,95% CI 為(0.93,1.06),P=0.737〕,見圖 6。
圖6
示隱性模型(AC+CC 比 AA)與乳腺癌發生關系的 meta 分析結果
2.3.5 敏感性分析 逐一剔除納入分析的每篇文獻,再對剩余文獻進行 meta 分析。5 種模型下的敏感性分析結果均與原 meta 分析結果一致,提示本 meta 分析結論穩定性好,見圖 7。
圖7
示 5 種模型下的敏感性分析結果 a:雜合子模型 AA 比 AC;b:雜合子模型 AC 比 CC;c:純合子模型;d:顯性模型;e:隱性模型
2.4 發表偏倚
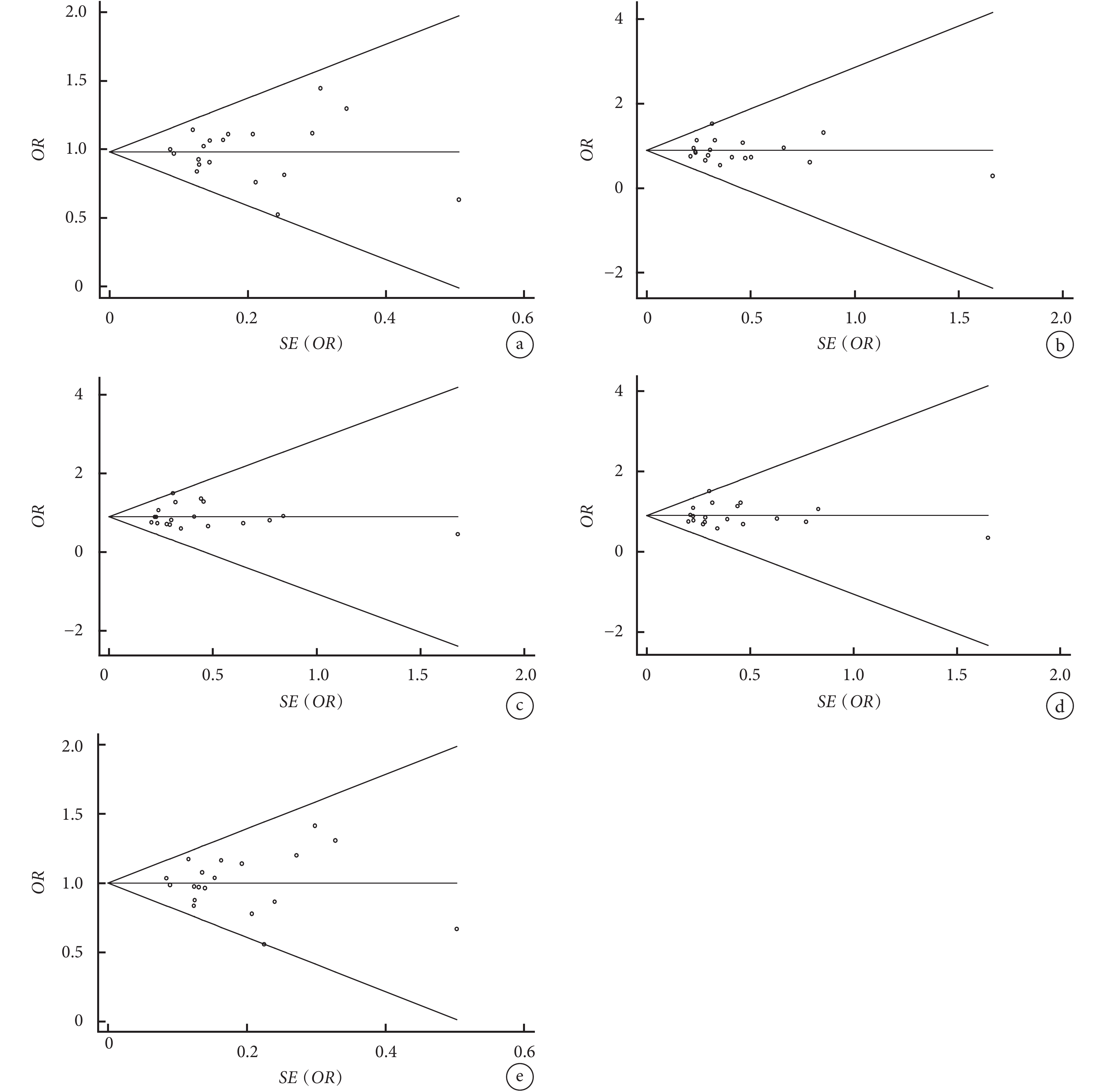
5 種模型下的 Begg’s 秩相關檢驗結果分別為:雜合子模型 AA 比 AC,t=0.991;雜合子模型 AC 比 CC,t=0.834;純合子模型,t=0.721;顯性模型,t=0.903;隱性模型,t=0.987。提示各模型下的結果均無發表偏倚(圖 8)。
圖8
示 5 種模型下的 Begg 漏斗圖 a:雜合子模型 AA 比 AC;b:雜合子模型 AC 比 CC;c:純合子模型;d:顯性模型;e:隱性模型
3 討論
根據全國腫瘤登記中心[1]的數據資料顯示:近十幾年來我國居民乳腺癌的發病率及死亡率均呈現上升趨勢,乳腺癌的發病率已位居城市女性的首位,疾病負擔日益加重,是危害我國人民健康最主要的惡性腫瘤之一。已有研究[23]表明,膳食葉酸的攝入可降低乳腺癌的發病風險。葉酸是所有細胞的甲基供體,葉酸在體內的代謝過程涉及很多酶,統稱葉酸代謝相關酶,在葉酸的代謝過程中發揮至關重要的作用[16]。MTHFR 是調控細胞內葉酸代謝的限速酶,它將 5, 10-亞甲基四氫葉酸轉化為 5-甲基四氫葉酸,可以使細胞內 S-腺苷甲硫氨酸(SAM)保持較高水平,而 SAM 是所有甲基化反應最重要的甲基供體[21]。MTHFR 影響 DNA 甲基化與 DNA 合成之間的平衡,進而影響原癌基因和抑癌基因的表達,因此,機體內 MTHFR 水平與乳腺癌的發病風險可能密切相關[3, 13, 22]。而本研究 meta 分析結果卻表明,MTHFR 基因 A1298C 位點多態性與亞洲人群乳腺癌的發生無相關性。
理論上講,MTHFR 基因 A1298C 位點的多態性可導致葉酸代謝酶活性的改變,可導致 DNA 低甲基化,從而影響 DNA 的合成及 DNA 穩定性,造成細胞基因組 DNA 甲基化不足,從而促進乳腺癌的發生[15]。本 meta 分析為陰性結果,究其原因可能如下:葉酸代謝相關酶的常見基因包括:甲硫氨酸合成酶還原酶(methionine synthase reductase,MTRR)、rs1801394、甲硫氨酸合成酶(methioninesynthetas,MTR)、rs1805087、MTHFR、rs1801133、rs2002287 及 rs2276731[24],其中 MTHFR 基因常見的基因多態性位點有 C677T 和 A1298C[9],乳腺癌的發生可能是上述多種葉酸代謝酶基因突變共同作用的結果。再者,MTHFR 基因位點的多態性還受到葉酸攝入量、年齡、飲食習慣、生活方式、吸煙、飲酒等因素的影響,其中葉酸攝入量的影響最為顯著[22],這些因素共同影響著體內一碳單位的代謝平衡,而一碳單位的主要生理功能是作為嘌呤和嘧啶的合成原料,是體內甲基化反應的主要甲基來源。
宋姍姍等[25]的研究表明,MTHFR 基因 A1298C 位點多態性與中國人群乳腺癌的發生無關,其數據庫檢索日期截至 2012 年 5 月;而 Wang 等[26]的研究卻提示,MTHFR 基因 A1298C 位點多態性中,雜合子模型(AC 比 CC)與中國人群乳腺癌的發生有關。MTHFR 基因 A1298C 位點多態性與亞洲人群乳腺癌的發生是否具有相關性尚無定論,因此本研究采用 meta 分析的方法定量評價二者的相關性。與既往 meta 分析相比,本研究納入了近年來最新發表的文獻,共納入了 19 篇病例對照研究,共計7 454 例乳腺癌患者,8 255 位健康對照,納入文獻的樣本量最大,納入文獻的質量大部分較高,敏感性分析結果也提示本 meta 分析結果穩定性較好。
綜上所述,本 meta 分析結果表明,MTHFR基 因 A1298C 位點多態性與亞洲人群乳腺癌的發生無關,鑒于乳腺癌的病因尚未完全闡明,其發病受生活方式、遺傳、家族史、種族、飲食習慣等諸多因素的影響,該研究結果尚待高質量大樣本的研究進一步證實。
根據全國腫瘤登記中心[1]發布的最新數據顯示,我國目前每年女性乳腺癌新發病例約 24.9 萬,乳腺癌的發病率位居城市女性癌癥發病的首位,位居農村女性癌癥發病的第 2 位,近 10 年來其發病率和死亡率呈逐年上升的趨勢。乳腺癌的發病機制尚未完全明了。研究[2]表明,葉酸缺乏與乳腺癌的患病風險密切相關,5, 10-亞甲基四氫葉酸還原酶(methylenetetrahydrofolate reductase,MTHFR)是葉酸代謝通路中的關鍵酶,MTHFR 基因多態性可導致酶活性下降,影響葉酸的正常代謝循環,進而影響乳腺癌的發生和發展。有研究[3]表明,MTHFR 基因突變可能是乳腺癌的遺傳易感性因素,MTHFR 基因 A1298C 位點的多態性可能與乳腺癌的發生相關,但是二者的相關性尚無定論[4]。鑒于不同地區和種族乳腺癌的發病存在明顯差異,且乳腺癌發病具有明顯的遺傳異質性,因此,本研究采用 meta 分析的方法,定量評價了 MTHFR 基因 A1298C 位點的多態性與亞洲人群乳腺癌易感性的關系。
1 資料與方法
1.1 文獻納入和排除標準
1.1.1 研究類型 關于 MTHFR 基因 A1298C 位點的多態性與亞洲人群乳腺癌發病關系的病例對照研究。
1.1.2 研究對象 病理學檢查確診為乳腺癌的患者和健康對照者。
1.1.3 暴露因素 MTHFR 基因 A1298C 位點的多態性。
1.1.4 結局指標 MTHFR 基因 A1298C 位點的多態性與乳腺癌的發生情況。
1.1.5 排除標準 排除綜述、重復報道及個案報道,以及缺乏 MTHFR 基因 A1298C 位點的基因型分布相關數據的文獻。
1.2 文獻檢索策略
計算機檢索 PubMed、EMBASE、Web of science、中國生物醫學文獻數據庫、中文科技期刊數據庫、中國期刊全文數據庫及萬方數據庫,全面搜集有關 MTHFR 基因 A1298C 位點的多態性與亞洲人群乳腺癌發生關系的病例對照研究,檢索日期均從建庫到 2017 年 3 月。此外,追溯納入研究的參考文獻,以補充獲取相關文獻。外文數據庫的檢索采用主題詞和自由詞相結合的檢索策略。英文檢索詞包括:“breast cancer”“breast carcinoma”“breast neoplasm”“MTHFR”“methylene tetrahydrofolate reductase”及“polymorphism”;中文檢索詞包括:“乳腺腫瘤”“乳腺癌”“亞甲基四氫葉酸還原酶”“MTHFR”及“基因多態性”。
1.3 文獻篩選及資料提取
由 2 位研究者獨立進行文獻篩選,排除明顯不符合納入標準的文獻。最后由 2 位研究者交叉核對,對于難以確定是否納入的文獻,通過小組討論解決分歧。由該 2 位研究者按照預先設計的表格獨立進行資料提取,并交叉核對資料提取的結果。提取的信息包括:發表文獻的第一作者、發表年份、機構所在國家或地區、Hardy-Weinberg 遺傳平衡(HWE)數值、對照組的來源、病例組和對照組的樣本量及各基因型的分布頻數。采用 NOS 量表(Newcastle-Ottawa Scale)[5]評價納入研究的偏倚風險,NOS 量表的總分是 9 分,≥7 分時被認為是高質量研究。
1.4 統計學方法
采用 Stata 12.0 軟件進行統計學分析,計數資料采用比值比(OR)及其 95% CI 為效應分析統計量。采用 χ2 檢驗對納入研究進行異質性檢驗,當納入研究間的異質性無統計學意義時(I2<50%,P≥0.10),采用固定效應模型進行合并分析;若納入研究間的異質性有統計學意義(I2≥50%,P<0.10),則采用隨機效應模型進行合并分析。分別對雜合子模型(AA 比 AC、AC 比 CC)、純合子模型(AA 比 CC)、顯性模型(AA+AC 比 CC)及隱性模型(AC+CC 比 AA)進行 meta 分析,采用 Begg’s 檢驗評估納入研究的發表偏倚,t>0.05 時則認為無明顯的發表偏倚。敏感性分析時,通過逐一剔除研究后觀察結果的差異來評價研究結果的穩定性。檢驗水準α=0.05。
2 結果
2.1 納入文獻的一般特征
全面檢索前述電子數據庫,再進行文獻的剔重、初篩及全文閱讀篩選,最終有 19 篇[3-4, 6-22]文獻符合納入標準,納入研究均基于亞洲人群,文獻檢索流程詳見圖 1。19 篇文獻中,1 篇文獻來自克什米爾[6],1 篇文獻的研究對象來自新加坡和中國[7],1 篇文獻來自泰國[8],1 篇文獻來自約旦[9],其余文獻均僅來自中國。納入研究的一般特征見表 1。
圖1
示文獻篩選流程及結果
2.2 納入文獻的質量評價結果
7 篇文獻的 NOS 評分為 6 分,6 篇為 7 分,6 篇為 8 分(表 1),共 15 篇文獻屬于高質量研究。
2.3 meta 分析結果
19 篇文獻均報道了 MTHFR 基因 A1298C 位點多態性與亞洲人群乳腺癌患病風險的相關性,其中病例組共納入 7 454 例乳腺癌患者,對照組共納入 8 255 位健康對照。
2.3.1 雜合子模型 異質性檢驗結果表明,兩類雜合子模型下納入研究間的異質性均無統計學意義(I2=0,P=0.473;I2=0,P=0.925),故均采用固定效應模型進行 meta 分析。結果顯示,病例組和對照組的 AA 基因型和 AC 基因型頻率比較差異均無統計學意義〔OR=0.97,95% CI 為(0.91,1.04),P=0.374〕,見圖 2;病例組和對照組的 AC 基因型和 CC 基因型頻率比較差異亦無統計學意義〔OR=0.87,95% CI 為(0.75,1.01),P=0.060〕,見圖 3。
圖2
示雜合子模型(AA 比 AC)與乳腺癌發生關系的 meta 分析結果
圖3
示雜合子模型(AC 比 CC)與乳腺癌發生關系的 meta 分析結果
2.3.2 純合子模型 異質性檢驗結果表明,納入研究間的異質性無統計學意義(I2=0,P=0.900),故采用固定效應模型進行 meta 分析。結果顯示:病例組和對照組的 AA 基因型和 CC 基因型頻率比較差異無統計學意義〔OR=0.87,95%CI 為(0.76,1.01),P=0.061〕,見圖 4。
圖4
示純合子模型(AA 比 CC)與乳腺癌發生關系的 meta 分析結果
2.3.3 顯性模型 異質性檢驗結果表明,納入研究間的異質性無統計學意義(I2=0,P=0.916),故采用固定效應模型進行 meta 分析。結果顯示:病例組和對照組的 AA+AC 基因型和 CC 基因型頻率比較差異無統計學意義〔OR=0.88,95% CI 為(0.76,1.01),P=0.061〕,見圖 5。
圖5
示顯性模型(AA+AC 比 CC)與乳腺癌發生關系的 meta 分析結果
2.3.4 隱性模型 異質性檢驗結果表明,納入研究間的異質性無統計學意義(I2=4.1%,P=0.406),故采用固定效應模型進行 meta 分析。結果顯示:病例組和對照組的 AC+CC 基因型和 AA 基因型頻率比較差異無統計學意義〔OR=0.99,95% CI 為(0.93,1.06),P=0.737〕,見圖 6。
圖6
示隱性模型(AC+CC 比 AA)與乳腺癌發生關系的 meta 分析結果
2.3.5 敏感性分析 逐一剔除納入分析的每篇文獻,再對剩余文獻進行 meta 分析。5 種模型下的敏感性分析結果均與原 meta 分析結果一致,提示本 meta 分析結論穩定性好,見圖 7。
圖7
示 5 種模型下的敏感性分析結果 a:雜合子模型 AA 比 AC;b:雜合子模型 AC 比 CC;c:純合子模型;d:顯性模型;e:隱性模型
2.4 發表偏倚
5 種模型下的 Begg’s 秩相關檢驗結果分別為:雜合子模型 AA 比 AC,t=0.991;雜合子模型 AC 比 CC,t=0.834;純合子模型,t=0.721;顯性模型,t=0.903;隱性模型,t=0.987。提示各模型下的結果均無發表偏倚(圖 8)。
圖8
示 5 種模型下的 Begg 漏斗圖 a:雜合子模型 AA 比 AC;b:雜合子模型 AC 比 CC;c:純合子模型;d:顯性模型;e:隱性模型
3 討論
根據全國腫瘤登記中心[1]的數據資料顯示:近十幾年來我國居民乳腺癌的發病率及死亡率均呈現上升趨勢,乳腺癌的發病率已位居城市女性的首位,疾病負擔日益加重,是危害我國人民健康最主要的惡性腫瘤之一。已有研究[23]表明,膳食葉酸的攝入可降低乳腺癌的發病風險。葉酸是所有細胞的甲基供體,葉酸在體內的代謝過程涉及很多酶,統稱葉酸代謝相關酶,在葉酸的代謝過程中發揮至關重要的作用[16]。MTHFR 是調控細胞內葉酸代謝的限速酶,它將 5, 10-亞甲基四氫葉酸轉化為 5-甲基四氫葉酸,可以使細胞內 S-腺苷甲硫氨酸(SAM)保持較高水平,而 SAM 是所有甲基化反應最重要的甲基供體[21]。MTHFR 影響 DNA 甲基化與 DNA 合成之間的平衡,進而影響原癌基因和抑癌基因的表達,因此,機體內 MTHFR 水平與乳腺癌的發病風險可能密切相關[3, 13, 22]。而本研究 meta 分析結果卻表明,MTHFR 基因 A1298C 位點多態性與亞洲人群乳腺癌的發生無相關性。
理論上講,MTHFR 基因 A1298C 位點的多態性可導致葉酸代謝酶活性的改變,可導致 DNA 低甲基化,從而影響 DNA 的合成及 DNA 穩定性,造成細胞基因組 DNA 甲基化不足,從而促進乳腺癌的發生[15]。本 meta 分析為陰性結果,究其原因可能如下:葉酸代謝相關酶的常見基因包括:甲硫氨酸合成酶還原酶(methionine synthase reductase,MTRR)、rs1801394、甲硫氨酸合成酶(methioninesynthetas,MTR)、rs1805087、MTHFR、rs1801133、rs2002287 及 rs2276731[24],其中 MTHFR 基因常見的基因多態性位點有 C677T 和 A1298C[9],乳腺癌的發生可能是上述多種葉酸代謝酶基因突變共同作用的結果。再者,MTHFR 基因位點的多態性還受到葉酸攝入量、年齡、飲食習慣、生活方式、吸煙、飲酒等因素的影響,其中葉酸攝入量的影響最為顯著[22],這些因素共同影響著體內一碳單位的代謝平衡,而一碳單位的主要生理功能是作為嘌呤和嘧啶的合成原料,是體內甲基化反應的主要甲基來源。
宋姍姍等[25]的研究表明,MTHFR 基因 A1298C 位點多態性與中國人群乳腺癌的發生無關,其數據庫檢索日期截至 2012 年 5 月;而 Wang 等[26]的研究卻提示,MTHFR 基因 A1298C 位點多態性中,雜合子模型(AC 比 CC)與中國人群乳腺癌的發生有關。MTHFR 基因 A1298C 位點多態性與亞洲人群乳腺癌的發生是否具有相關性尚無定論,因此本研究采用 meta 分析的方法定量評價二者的相關性。與既往 meta 分析相比,本研究納入了近年來最新發表的文獻,共納入了 19 篇病例對照研究,共計7 454 例乳腺癌患者,8 255 位健康對照,納入文獻的樣本量最大,納入文獻的質量大部分較高,敏感性分析結果也提示本 meta 分析結果穩定性較好。
綜上所述,本 meta 分析結果表明,MTHFR基 因 A1298C 位點多態性與亞洲人群乳腺癌的發生無關,鑒于乳腺癌的病因尚未完全闡明,其發病受生活方式、遺傳、家族史、種族、飲食習慣等諸多因素的影響,該研究結果尚待高質量大樣本的研究進一步證實。

