2例行食管鱗狀細胞癌微創手術后感染新型冠狀病毒重型患者,男,分別為75歲和51歲。2例患者術后均出現嚴重低氧血癥,采用高級氧療支持抗病毒、激素沖擊、抗生素抗感染及營養支持等治療。2例患者重癥監護室住院時間分別為6 d和8 d,后轉入普通病房對癥治療后順利出院,出院時2例患者均需居家低流量氧氣維持。患者1出院后第20 d隨訪,仍需低流量吸氧,血氧飽和度可維持在97%以上,但可間斷脫氧0.5 h;患者2出院后35 d隨訪情況良好。
引用本文: 李昌頂, 李佳龍, 肖文光, 徐珊玲, 韓泳濤, 冷雪峰. 微創食管癌切除術后感染新型冠狀病毒兩例. 中國胸心血管外科臨床雜志, 2023, 30(7): 962-966. doi: 10.7507/1007-4848.202301038 復制
臨床資料 患者1,男,75歲,因進行性吞咽困難20+ d入院,既往有高血壓病史8年,血壓控制欠佳,對“造影劑”有過敏史,飲白酒40年,平均每日2兩,吸煙50年,平均每月1斤葉子煙,其余既往史及個人史無特殊。術前檢查胃鏡示31~32 cm黏膜粗糙、充血,34~40 cm見潰瘍型新生物,在31 cm及34 cm處取活檢分別提示為高級鱗狀上皮內瘤變和鱗狀細胞癌,術前分期cT4aN2M0 ⅣA期(UICC/AJCC)。術前予以2周期紫杉醇+卡鉑方案化療,同步予以圖像引導放射治療(image guided radiation therapy,IGRT) 40 Gy/20f。新輔助治療結束后62 d返院評估手術治療,評估腫瘤反應考慮完全緩解。術前聚合酶鏈反應(PCR)新型冠狀病毒(新冠)核酸檢測、胸部CT影像學檢測及新冠流行病學無異常,既往無新冠感染病史,患者接種第1針新冠疫苗,接種時間為2022年7月。入院評估營養風險篩查2022(NRS2022):2分,患者主觀整體評估(PG-SGA):2分,卡氏評分(KPS):90分,體重指數(BMI)26.17 kg/m2(體重67 kg)。排除手術禁忌后在全身麻醉下行胸腹腔鏡輔助三切口食管癌根治術(McKeown術式),手術時間330 min,術中出血量100 mL,清掃15站總計28枚淋巴結,術后病理提示完全緩解(ypT0N0M0Ⅰ期,第8版AJCC),總住院時間33 d。
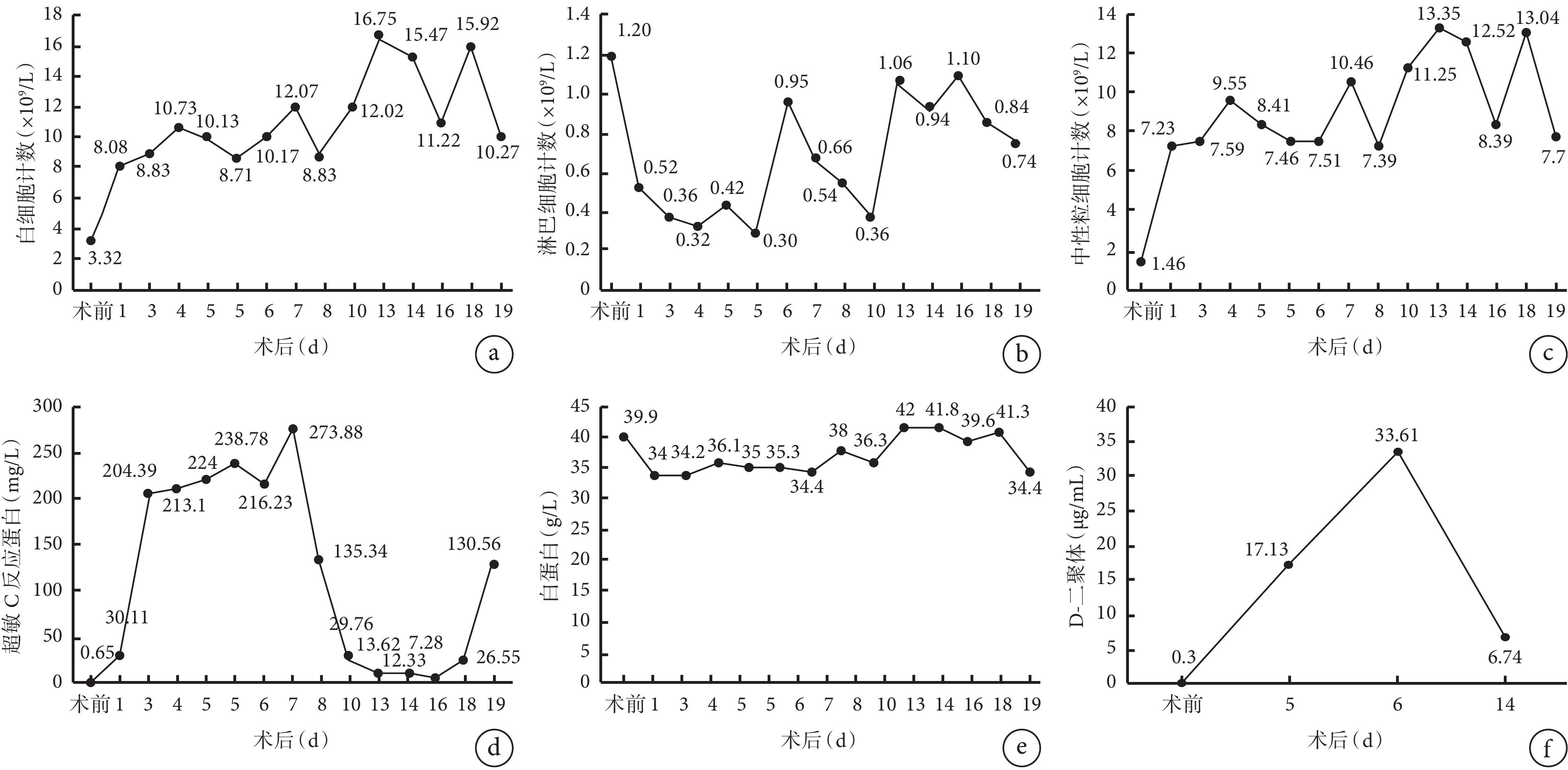
術后患者生命體征等基本情況尚可,給予禁食、抑酸、抗感染、腸內腸外營養等常規食管癌術后支持治療。術后第6 d復查胃鏡未見確切吻合口瘺,無聲音嘶啞等喉返神經損傷癥狀。胸部CT平掃提示雙肺散在斑片影,間質性改變(圖1),考慮術后炎癥,加強霧化排痰對癥治療,其余未做特殊處理。患者術后7 d出現病情迅速變化,主訴咳嗽伴咳中量白色粘痰,伴胸悶氣促。心電監護提示經皮血氧飽和度(SpO2)下降至88%~90%,體溫升高至38.7℃,予以面罩高流量吸氧后(氧流量約10 L/min)SpO2維持在90%~95%。當日22:30左右患者出現暗紅色稀大便,間隔約2 h后患者出現咳血痰,SpO2進一步下降至79%~81%,轉入ICU繼續治療。血常規示:白細胞5.71×109/L,淋巴細胞 0.42×109/L,紅細胞 2.57×1012/L,血紅蛋白 86 g/L,紅細胞壓積 26.20%,血小板 2×109/L,血小板壓積 0.00%(圖2)。細胞因子示:白細胞介素620.05 pg/mL,其余正常;凝血酶-抗凝血酶Ⅲ復合物7.40 ng/mL,纖溶酶-α2抗纖溶酶抑制劑復合物 2.41 μg/mL;凝血酶原時間 11.9 s,活化部分凝血活酶時間31.3 s,纖維蛋白原4.43 g/L,凝血酶時間17.2 s,纖維蛋白原降解產物19.3 μg/mL,D-二聚體 3.77 μg/mL;核酸PCR檢測結果回示陽性;痰培養及真菌培養陰性;患者急性生理學及慢性健康狀況評分系統(ApacheⅡ)評分 22分,死亡危險系數42.43%,靜脈血栓栓塞癥(VTE)評分9分。診斷考慮:病毒性肺炎,新冠感染重型,貧血,血小板下降原因待查。治療上予以無創呼吸機呼吸支持[模式:S/T,頻率:15,吸氣壓力/呼氣壓力(IPAP/EPAP):10~11/6],美羅培南抗感染,甲潑尼龍[80 mg 靜脈滴注(ivgtt)q12h d 1~3,40 mg ivgtt q12h d 4~6]拮抗炎癥、丙種球蛋白抗病毒及胸腺法新調節免疫,停用腸內營養予以全腸外營養支持,質子泵抑制劑抑酸護胃,生長抑素止血,輸注紅細胞血漿、血小板及凝血因子等治療。術后第16 d癥狀好轉且穩定后返回普通病房,繼續予以吸氧、抗感染、營養支持等治療后病情好轉,于術后28 d出院,出院時患者未訴特殊不適,可經口進食流質飲食(水、牛奶、營養粉、米粉等),無聲音嘶啞、飲水嗆咳等喉返神經損傷癥狀,鼻導管低流量吸氧(氧流量3 L/min左右)SpO2維持在96%以上,但停用氧氣約3~5 min后SpO2下降至88%左右,出院時體重為63 kg。患者住院期間白細胞、淋巴細胞、血小板、超敏C反應蛋白、D-二聚體、白蛋白變化及影像學資料見圖1~2。出院后第20 d電話隨訪患者,訴仍需家用制氧機低流量氧氣吸入(氧流量約2~3 L/min),但病情較出院時好轉,可脫氧0.5 h左右。

a:術前胸部CT;b:術后考慮感染COVID-19首次胸部CT; c:病情最重階段的床旁胸部X線片;d:病情好轉階段床旁胸部X線片;e:出院前胸部CT
患者2,男,51歲,因進行性吞咽困難2個月入院,既往有白酒飲酒史30年,每日平均3兩,其余既往史及個人史無特殊,入院NRS2022:3分,PG-SGA:6分,KPS:100分,BMI:21.72 kg/m2(體重57 kg)。胃鏡示27~31 cm可見黏膜粗糜爛,表面呈結節樣改變,27 cm處取活檢提示鱗狀細胞癌,術前分期cT2N0M0 Ⅱ期(UICC/AJCC)。術前核酸PCR檢測、胸部CT影像學檢測及新冠流行病學無異常,既往無新冠感染病史,接種新冠疫苗2針,最后一次接種時間為2022年6月。排除手術禁忌在全身麻醉下行食管癌根治術McKeown術式,手術時間190 min,術中出血量約100 mL,術中清掃10站總計15枚淋巴結,術后分期pT1bN0M0 G1-2 ⅠB期(第8版UICC/AJCC),總住院時間29 d。術后給予禁食、抑酸、抗感染、腸內腸外營養等常規食管癌術后支持治療。復查床旁胸部X線片提示雙肺下炎癥,遂術后3 d復查胸部CT示雙肺散在斑片狀密度影(圖3b)。術后4 d患者開始出現咳嗽,咳少量白色粘痰,伴胸悶氣促, SpO2下降,無聲音嘶啞等,換用高流量面罩吸氧后(氧流量在8~10 L/min左右)SpO2維持在90%~96%之間。查心肌酶、B型腦鈉肽等,排除急性心肌梗死、心力衰竭可能,考慮肺部感染,故經驗性加用左氧氟沙星兩聯抗生素抗感染等治療。但患者病情仍逐漸進展,上述癥狀加重,SpO2下降至88%~91%,術后5 d轉入ICU繼續治療,予以高流量吸氧裝置吸氧,但患者呼吸困難加重,呼吸淺快,SpO2下降至88%,心率增快至144次/min,因此予以床旁氣管插管、呼吸機輔助呼吸。實驗室檢查提示,凝血酶-抗凝血酶Ⅲ復合物66.20 ng/mL,纖溶酶-α2纖溶酶抑制劑復合物 10.84 μg/mL;白細胞介素6(IL-6)182.34 pg/mL,其余細胞因子正常;下肢血管彩色超聲提示右小腿肌間靜脈血栓形成;術后6 d完善胸部CT提示肺間質合并磨玻璃影改變,遠端肺動脈細小分支肺栓塞合并肺部感染;查新冠核酸PCR結果示陽性,宏基因組學第二代測序(mNGS)進一步查見人皰疹病毒1,痰培養查見少量銅綠假單胞菌,期間多次血培養、真菌培養、糞便培養均為陰性。考慮診斷:病毒性肺炎,新冠感染重型,肺部感染,低危型肺栓塞。患者ApacheⅡ評分為18分,死亡危險系數29.13%,VTE評分6分,術后5~9 d患者出現發熱,體溫最高39.4℃,術后復查胸部CT未見頸部吻合口處積氣、積液等吻合口瘺征象,結合藥敏予以亞胺培南聯合阿奇霉素抗感染,甲潑尼龍減輕炎癥反應滲出(80 mg ivgtt/iv q12h d 1~2,40 mg iv q12h d 3~5),阿昔洛韋抗皰疹病毒治療,依諾肝素鈉注射注液抗凝(4 000 AxaIU ih q12h d1~2,4 000 AxaIU ih qd d 3~8),腸內腸外營養支持等治療。經過治療后,病情逐漸好轉,術后9 d停機拔管,高流量吸氧逐漸過渡至鼻導管吸氧,術后13 d轉入普通病房,繼續予以吸氧、抗感染、營養支持等治療后于術后21 d出院,出院時患者精神稍差,可脫氧步行50 m左右,以經口進食流質飲食,無聲音嘶啞、飲水嗆咳等喉返神經損傷癥狀,不吸氧下SpO2 90%左右,出院時體重55 kg。患者白細胞、淋巴細胞、中性粒細胞、超敏C反應蛋白、白蛋白、D-二聚體及影像學資料見圖3~4。出院后第35 d電話隨訪患者,出院后3 d停止吸氧,現患者經口進食,訴食欲稍差,無聲音嘶啞、嗆咳等癥狀,其余一般情況尚可。

a:白細胞計數變化;b:淋巴細胞計數變化;c:中性粒細胞計數變化;d:超敏C反應蛋白變化;e:白蛋白變化;f:D-二聚體變化

a:術前胸部CT;b:術后考慮感染COVID-19首次胸部CT;c:病情最重階段的胸部CT;d:病情好轉階段的胸部CT;e:出院前患者胸部CT

a:白細胞計數變化;b:淋巴細胞計數變化;c:中性粒細胞計數變化;d:超敏C反應蛋白變化;e:白蛋白變化;f:D-二聚體變化
討論 新型冠狀病毒肺炎(COVID-19)的變異毒株奧密克戎(Omicron)是目前全球最流行的毒株,較原始毒株及其他變異毒株有更強的隱匿性及傳播力,但毒力減弱。隨著國家防疫政策的調整,腫瘤患者感染COVID-19風險上升。國外統計腫瘤患者感染COVID-19早期毒株后死亡率可達13%[1],此外中國也有相關報道,根據感染COVID-19的人群分析,腫瘤患者感染后的重癥率及死亡率均顯著高于一般人群[2-3]。雖然目前流行毒株為Omicron,主要表現為上呼吸道感染癥狀,歐洲一項多中心研究[4]顯示,雖然腫瘤患者感染Omicron后病死率及重癥率有所下降,但是對于未接種疫苗的腫瘤患者的病死率與早前毒株相比并沒有下降,此外腫瘤患者感染后還面臨著中斷抗腫瘤治療后可能帶來的潛在風險。中國是食管癌的高發地區,發病率及死亡率占全球50%以上[5]。食管癌患者大多數初診為中晚期,治療主要以手術為基礎的綜合治療[6],并且食管癌術后并發癥高尤其是呼吸系統相關并發癥,因此對于大部分營養不良、免疫力低下的食管癌[7]患者感染COVID-19可能更容易發展為重型。最近發表了《新冠疫情期間胸外科手術風險管控的幾點建議》[8],但目前我國針對食管癌圍手術期相關感染的治療仍缺乏經驗及規范。
本病例報告中2例患者主要表現為:術后發熱、咳嗽、咳痰、胸悶、氣促、乏力、SpO2下降,結合患者實驗室及影像學等表現綜合分析與第9、10版《新型冠狀病毒肺炎診療方案》(以下簡稱《診療方案》)診斷原則相近,臨床分型為危重型。2例患者在食管癌術后感染COVID-19后按照《診療方案》建議給予呼吸機氧療、盡可能抗病毒治療、激素免疫治療、抗生素抗感染、營養支持,視情況予以抗凝等治療。2例患者雖然未明確為Omicron感染,但本次疫情流行期間主要毒株為Omicron,這2例病例應高度懷疑為Omicron感染,但2例患者在短期內病情進展迅速,胸部CT示雙肺彌漫性病變,與吳尊友等發現的早期毒株患者出現癥狀后24~48 h內肺野浸潤可超過50%[2]結論符合,因此Omicron感染后可造成重癥肺炎。治療期間2例患者出現不同程度的嚴重并發癥,患者1急性上消化道、呼吸道出血,血小板計數一度下降近0。出血原因考慮可能為食管癌術后引起應激性潰瘍,COVID-19感染導致凝血功能障礙,二者可能是導致患者凝血功能異常和出血的原因,既往也有報道過COVID-19感染合并消化道出血的病例[9],但患者血小板下降明顯不能排除感染COVID-19后引起血液系統改變[10]。患者出現咳血痰原因不明,可能是凝血功能障礙導致呼吸道出血或消化道出血后患者出現嗆咳表現為血痰。患者2相反出現下肢靜脈血栓、肺栓塞。因此就2例食管癌術后病例分析,COVID-19感染導致的凝血功能障礙可能出現不同的情況,這無疑給臨床工作的診療帶來了挑戰。此外患者2在肺泡灌洗液中發現人皰疹病毒1。有研究[11]發現重癥COVID-19感染后可能會使單純皰疹病毒和巨細胞病毒再次激活,他們分析認為與淋巴細胞減少等導致獲得性免疫抑制,從而使這些病毒再次激活。
國外有研究[12-13]發現在疫情流行期間術前充分評估后行食管癌手術安全可行,另一項研究[14]報道稱早期食管癌手術初次診斷后延期3個月手術與盡早手術相比5年生存率差異無統計學意義(65.0% vs. 65.1%,P=0.5),而中晚期食管癌術后5年生存率差異有統計學意義(41.6% vs. 22.9%,P=0.006)。現國內尚無針對食管癌疫情期間診療的指南和共識,根據《新型冠狀病毒肺炎疫情期間實體腫瘤患者防護和診治管理相關問題中國專家共識(2022版)》[15]對需手術治療的患者建議:(1)腫瘤患者盡可能接種新冠疫苗;(2)達到第9版《診療方案》出院標準后2周再次行新冠核酸檢測連續2次(2次需間隔24 h)可考慮下一步抗腫瘤治療;(3)對于初診患者有根治性機會、新輔助治療后或者治療過程中病情進展、有腫瘤相關導致嚴重急癥癥狀[16](如出血、穿孔、梗阻等)、因治療相關導致嚴重并發癥(如大出血、吻合口瘺、其他臟器損傷等)應優先考慮手術,對于姑息性和預防性手術可延遲手術日期。此外針對這2例患者,總結出以下經驗:(1)對于新冠感染的預防,2022年12月中旬正是疫情開放的時間,新冠潛伏期在1周左右,故應該仔細詢問流行病學史;(2)腫瘤術后患者感染新冠病毒,更有可能進展為重型(肺炎),所以要盡量避免在社會流行期間手術。如果患者必須限期手術,圍手術期注意隔離防護;(3)除術前排除感染COVID-19外,對于食管癌患者應充分評估及改善患者營養狀況,術前可行一些心肺功能鍛煉的活動;(4)術后嚴密監測生命體征變化,根據臨床特征必要時可復查核酸檢測或抗原檢測(特別是術后特殊發熱表現的患者),及時復查胸部X線片及胸部CT等檢查,當核酸抗原檢測陽性時,應盡早予以抗病毒(目前全球有Paxlovid和Molnupiravir兩種藥物獲批應用)等降低重癥風險[17],由于食管癌術后患者需長期禁食且自身熱量消耗等,因此全面的營養支持顯得格外重要;(5)當患者出現重癥COVID-19感染應盡早行多學科討論,應使用激素和免疫調節藥物(如白細胞介素6抑制劑)等積極救治,但短期使用激素及免疫調節藥物是否對食管癌術后恢復產生影響,如是否影響吻合口瘺等目前暫時沒有相關結論,其次治療重型肺炎的過程中,是否需要抗凝和俯臥位兩種治療模式尚需進一步探討;(6)對于食管癌患者感染COVID-19的出院指征把握,需要從呼吸系統和消化系統兩方面結合審視;(7)患者出院隨訪,及時給予患者相關指導建議對于患者的康復也同樣重要。
綜上所述,就目前而言疫情流行期間行食管癌根治術是可行的,但是食管癌術后感染COVID-19患者并發癥發生率及死亡率可能增加,因此需要對選擇食管癌手術的患者進行充分個體化評估,術后嚴密監測生命體征及臨床表現變化,及時調整診療策略,改善患者預后。
利益沖突:無。
作者貢獻:韓泳濤、肖文光、冷雪峰負責臨床操作實施與論文設計;李昌頂、李佳龍、徐珊玲負責數據整理與分析;李昌頂負責論文初稿撰寫;冷雪峰負責論文的審閱與修改。
臨床資料 患者1,男,75歲,因進行性吞咽困難20+ d入院,既往有高血壓病史8年,血壓控制欠佳,對“造影劑”有過敏史,飲白酒40年,平均每日2兩,吸煙50年,平均每月1斤葉子煙,其余既往史及個人史無特殊。術前檢查胃鏡示31~32 cm黏膜粗糙、充血,34~40 cm見潰瘍型新生物,在31 cm及34 cm處取活檢分別提示為高級鱗狀上皮內瘤變和鱗狀細胞癌,術前分期cT4aN2M0 ⅣA期(UICC/AJCC)。術前予以2周期紫杉醇+卡鉑方案化療,同步予以圖像引導放射治療(image guided radiation therapy,IGRT) 40 Gy/20f。新輔助治療結束后62 d返院評估手術治療,評估腫瘤反應考慮完全緩解。術前聚合酶鏈反應(PCR)新型冠狀病毒(新冠)核酸檢測、胸部CT影像學檢測及新冠流行病學無異常,既往無新冠感染病史,患者接種第1針新冠疫苗,接種時間為2022年7月。入院評估營養風險篩查2022(NRS2022):2分,患者主觀整體評估(PG-SGA):2分,卡氏評分(KPS):90分,體重指數(BMI)26.17 kg/m2(體重67 kg)。排除手術禁忌后在全身麻醉下行胸腹腔鏡輔助三切口食管癌根治術(McKeown術式),手術時間330 min,術中出血量100 mL,清掃15站總計28枚淋巴結,術后病理提示完全緩解(ypT0N0M0Ⅰ期,第8版AJCC),總住院時間33 d。
術后患者生命體征等基本情況尚可,給予禁食、抑酸、抗感染、腸內腸外營養等常規食管癌術后支持治療。術后第6 d復查胃鏡未見確切吻合口瘺,無聲音嘶啞等喉返神經損傷癥狀。胸部CT平掃提示雙肺散在斑片影,間質性改變(圖1),考慮術后炎癥,加強霧化排痰對癥治療,其余未做特殊處理。患者術后7 d出現病情迅速變化,主訴咳嗽伴咳中量白色粘痰,伴胸悶氣促。心電監護提示經皮血氧飽和度(SpO2)下降至88%~90%,體溫升高至38.7℃,予以面罩高流量吸氧后(氧流量約10 L/min)SpO2維持在90%~95%。當日22:30左右患者出現暗紅色稀大便,間隔約2 h后患者出現咳血痰,SpO2進一步下降至79%~81%,轉入ICU繼續治療。血常規示:白細胞5.71×109/L,淋巴細胞 0.42×109/L,紅細胞 2.57×1012/L,血紅蛋白 86 g/L,紅細胞壓積 26.20%,血小板 2×109/L,血小板壓積 0.00%(圖2)。細胞因子示:白細胞介素620.05 pg/mL,其余正常;凝血酶-抗凝血酶Ⅲ復合物7.40 ng/mL,纖溶酶-α2抗纖溶酶抑制劑復合物 2.41 μg/mL;凝血酶原時間 11.9 s,活化部分凝血活酶時間31.3 s,纖維蛋白原4.43 g/L,凝血酶時間17.2 s,纖維蛋白原降解產物19.3 μg/mL,D-二聚體 3.77 μg/mL;核酸PCR檢測結果回示陽性;痰培養及真菌培養陰性;患者急性生理學及慢性健康狀況評分系統(ApacheⅡ)評分 22分,死亡危險系數42.43%,靜脈血栓栓塞癥(VTE)評分9分。診斷考慮:病毒性肺炎,新冠感染重型,貧血,血小板下降原因待查。治療上予以無創呼吸機呼吸支持[模式:S/T,頻率:15,吸氣壓力/呼氣壓力(IPAP/EPAP):10~11/6],美羅培南抗感染,甲潑尼龍[80 mg 靜脈滴注(ivgtt)q12h d 1~3,40 mg ivgtt q12h d 4~6]拮抗炎癥、丙種球蛋白抗病毒及胸腺法新調節免疫,停用腸內營養予以全腸外營養支持,質子泵抑制劑抑酸護胃,生長抑素止血,輸注紅細胞血漿、血小板及凝血因子等治療。術后第16 d癥狀好轉且穩定后返回普通病房,繼續予以吸氧、抗感染、營養支持等治療后病情好轉,于術后28 d出院,出院時患者未訴特殊不適,可經口進食流質飲食(水、牛奶、營養粉、米粉等),無聲音嘶啞、飲水嗆咳等喉返神經損傷癥狀,鼻導管低流量吸氧(氧流量3 L/min左右)SpO2維持在96%以上,但停用氧氣約3~5 min后SpO2下降至88%左右,出院時體重為63 kg。患者住院期間白細胞、淋巴細胞、血小板、超敏C反應蛋白、D-二聚體、白蛋白變化及影像學資料見圖1~2。出院后第20 d電話隨訪患者,訴仍需家用制氧機低流量氧氣吸入(氧流量約2~3 L/min),但病情較出院時好轉,可脫氧0.5 h左右。

a:術前胸部CT;b:術后考慮感染COVID-19首次胸部CT; c:病情最重階段的床旁胸部X線片;d:病情好轉階段床旁胸部X線片;e:出院前胸部CT
患者2,男,51歲,因進行性吞咽困難2個月入院,既往有白酒飲酒史30年,每日平均3兩,其余既往史及個人史無特殊,入院NRS2022:3分,PG-SGA:6分,KPS:100分,BMI:21.72 kg/m2(體重57 kg)。胃鏡示27~31 cm可見黏膜粗糜爛,表面呈結節樣改變,27 cm處取活檢提示鱗狀細胞癌,術前分期cT2N0M0 Ⅱ期(UICC/AJCC)。術前核酸PCR檢測、胸部CT影像學檢測及新冠流行病學無異常,既往無新冠感染病史,接種新冠疫苗2針,最后一次接種時間為2022年6月。排除手術禁忌在全身麻醉下行食管癌根治術McKeown術式,手術時間190 min,術中出血量約100 mL,術中清掃10站總計15枚淋巴結,術后分期pT1bN0M0 G1-2 ⅠB期(第8版UICC/AJCC),總住院時間29 d。術后給予禁食、抑酸、抗感染、腸內腸外營養等常規食管癌術后支持治療。復查床旁胸部X線片提示雙肺下炎癥,遂術后3 d復查胸部CT示雙肺散在斑片狀密度影(圖3b)。術后4 d患者開始出現咳嗽,咳少量白色粘痰,伴胸悶氣促, SpO2下降,無聲音嘶啞等,換用高流量面罩吸氧后(氧流量在8~10 L/min左右)SpO2維持在90%~96%之間。查心肌酶、B型腦鈉肽等,排除急性心肌梗死、心力衰竭可能,考慮肺部感染,故經驗性加用左氧氟沙星兩聯抗生素抗感染等治療。但患者病情仍逐漸進展,上述癥狀加重,SpO2下降至88%~91%,術后5 d轉入ICU繼續治療,予以高流量吸氧裝置吸氧,但患者呼吸困難加重,呼吸淺快,SpO2下降至88%,心率增快至144次/min,因此予以床旁氣管插管、呼吸機輔助呼吸。實驗室檢查提示,凝血酶-抗凝血酶Ⅲ復合物66.20 ng/mL,纖溶酶-α2纖溶酶抑制劑復合物 10.84 μg/mL;白細胞介素6(IL-6)182.34 pg/mL,其余細胞因子正常;下肢血管彩色超聲提示右小腿肌間靜脈血栓形成;術后6 d完善胸部CT提示肺間質合并磨玻璃影改變,遠端肺動脈細小分支肺栓塞合并肺部感染;查新冠核酸PCR結果示陽性,宏基因組學第二代測序(mNGS)進一步查見人皰疹病毒1,痰培養查見少量銅綠假單胞菌,期間多次血培養、真菌培養、糞便培養均為陰性。考慮診斷:病毒性肺炎,新冠感染重型,肺部感染,低危型肺栓塞。患者ApacheⅡ評分為18分,死亡危險系數29.13%,VTE評分6分,術后5~9 d患者出現發熱,體溫最高39.4℃,術后復查胸部CT未見頸部吻合口處積氣、積液等吻合口瘺征象,結合藥敏予以亞胺培南聯合阿奇霉素抗感染,甲潑尼龍減輕炎癥反應滲出(80 mg ivgtt/iv q12h d 1~2,40 mg iv q12h d 3~5),阿昔洛韋抗皰疹病毒治療,依諾肝素鈉注射注液抗凝(4 000 AxaIU ih q12h d1~2,4 000 AxaIU ih qd d 3~8),腸內腸外營養支持等治療。經過治療后,病情逐漸好轉,術后9 d停機拔管,高流量吸氧逐漸過渡至鼻導管吸氧,術后13 d轉入普通病房,繼續予以吸氧、抗感染、營養支持等治療后于術后21 d出院,出院時患者精神稍差,可脫氧步行50 m左右,以經口進食流質飲食,無聲音嘶啞、飲水嗆咳等喉返神經損傷癥狀,不吸氧下SpO2 90%左右,出院時體重55 kg。患者白細胞、淋巴細胞、中性粒細胞、超敏C反應蛋白、白蛋白、D-二聚體及影像學資料見圖3~4。出院后第35 d電話隨訪患者,出院后3 d停止吸氧,現患者經口進食,訴食欲稍差,無聲音嘶啞、嗆咳等癥狀,其余一般情況尚可。

a:白細胞計數變化;b:淋巴細胞計數變化;c:中性粒細胞計數變化;d:超敏C反應蛋白變化;e:白蛋白變化;f:D-二聚體變化

a:術前胸部CT;b:術后考慮感染COVID-19首次胸部CT;c:病情最重階段的胸部CT;d:病情好轉階段的胸部CT;e:出院前患者胸部CT

a:白細胞計數變化;b:淋巴細胞計數變化;c:中性粒細胞計數變化;d:超敏C反應蛋白變化;e:白蛋白變化;f:D-二聚體變化
討論 新型冠狀病毒肺炎(COVID-19)的變異毒株奧密克戎(Omicron)是目前全球最流行的毒株,較原始毒株及其他變異毒株有更強的隱匿性及傳播力,但毒力減弱。隨著國家防疫政策的調整,腫瘤患者感染COVID-19風險上升。國外統計腫瘤患者感染COVID-19早期毒株后死亡率可達13%[1],此外中國也有相關報道,根據感染COVID-19的人群分析,腫瘤患者感染后的重癥率及死亡率均顯著高于一般人群[2-3]。雖然目前流行毒株為Omicron,主要表現為上呼吸道感染癥狀,歐洲一項多中心研究[4]顯示,雖然腫瘤患者感染Omicron后病死率及重癥率有所下降,但是對于未接種疫苗的腫瘤患者的病死率與早前毒株相比并沒有下降,此外腫瘤患者感染后還面臨著中斷抗腫瘤治療后可能帶來的潛在風險。中國是食管癌的高發地區,發病率及死亡率占全球50%以上[5]。食管癌患者大多數初診為中晚期,治療主要以手術為基礎的綜合治療[6],并且食管癌術后并發癥高尤其是呼吸系統相關并發癥,因此對于大部分營養不良、免疫力低下的食管癌[7]患者感染COVID-19可能更容易發展為重型。最近發表了《新冠疫情期間胸外科手術風險管控的幾點建議》[8],但目前我國針對食管癌圍手術期相關感染的治療仍缺乏經驗及規范。
本病例報告中2例患者主要表現為:術后發熱、咳嗽、咳痰、胸悶、氣促、乏力、SpO2下降,結合患者實驗室及影像學等表現綜合分析與第9、10版《新型冠狀病毒肺炎診療方案》(以下簡稱《診療方案》)診斷原則相近,臨床分型為危重型。2例患者在食管癌術后感染COVID-19后按照《診療方案》建議給予呼吸機氧療、盡可能抗病毒治療、激素免疫治療、抗生素抗感染、營養支持,視情況予以抗凝等治療。2例患者雖然未明確為Omicron感染,但本次疫情流行期間主要毒株為Omicron,這2例病例應高度懷疑為Omicron感染,但2例患者在短期內病情進展迅速,胸部CT示雙肺彌漫性病變,與吳尊友等發現的早期毒株患者出現癥狀后24~48 h內肺野浸潤可超過50%[2]結論符合,因此Omicron感染后可造成重癥肺炎。治療期間2例患者出現不同程度的嚴重并發癥,患者1急性上消化道、呼吸道出血,血小板計數一度下降近0。出血原因考慮可能為食管癌術后引起應激性潰瘍,COVID-19感染導致凝血功能障礙,二者可能是導致患者凝血功能異常和出血的原因,既往也有報道過COVID-19感染合并消化道出血的病例[9],但患者血小板下降明顯不能排除感染COVID-19后引起血液系統改變[10]。患者出現咳血痰原因不明,可能是凝血功能障礙導致呼吸道出血或消化道出血后患者出現嗆咳表現為血痰。患者2相反出現下肢靜脈血栓、肺栓塞。因此就2例食管癌術后病例分析,COVID-19感染導致的凝血功能障礙可能出現不同的情況,這無疑給臨床工作的診療帶來了挑戰。此外患者2在肺泡灌洗液中發現人皰疹病毒1。有研究[11]發現重癥COVID-19感染后可能會使單純皰疹病毒和巨細胞病毒再次激活,他們分析認為與淋巴細胞減少等導致獲得性免疫抑制,從而使這些病毒再次激活。
國外有研究[12-13]發現在疫情流行期間術前充分評估后行食管癌手術安全可行,另一項研究[14]報道稱早期食管癌手術初次診斷后延期3個月手術與盡早手術相比5年生存率差異無統計學意義(65.0% vs. 65.1%,P=0.5),而中晚期食管癌術后5年生存率差異有統計學意義(41.6% vs. 22.9%,P=0.006)。現國內尚無針對食管癌疫情期間診療的指南和共識,根據《新型冠狀病毒肺炎疫情期間實體腫瘤患者防護和診治管理相關問題中國專家共識(2022版)》[15]對需手術治療的患者建議:(1)腫瘤患者盡可能接種新冠疫苗;(2)達到第9版《診療方案》出院標準后2周再次行新冠核酸檢測連續2次(2次需間隔24 h)可考慮下一步抗腫瘤治療;(3)對于初診患者有根治性機會、新輔助治療后或者治療過程中病情進展、有腫瘤相關導致嚴重急癥癥狀[16](如出血、穿孔、梗阻等)、因治療相關導致嚴重并發癥(如大出血、吻合口瘺、其他臟器損傷等)應優先考慮手術,對于姑息性和預防性手術可延遲手術日期。此外針對這2例患者,總結出以下經驗:(1)對于新冠感染的預防,2022年12月中旬正是疫情開放的時間,新冠潛伏期在1周左右,故應該仔細詢問流行病學史;(2)腫瘤術后患者感染新冠病毒,更有可能進展為重型(肺炎),所以要盡量避免在社會流行期間手術。如果患者必須限期手術,圍手術期注意隔離防護;(3)除術前排除感染COVID-19外,對于食管癌患者應充分評估及改善患者營養狀況,術前可行一些心肺功能鍛煉的活動;(4)術后嚴密監測生命體征變化,根據臨床特征必要時可復查核酸檢測或抗原檢測(特別是術后特殊發熱表現的患者),及時復查胸部X線片及胸部CT等檢查,當核酸抗原檢測陽性時,應盡早予以抗病毒(目前全球有Paxlovid和Molnupiravir兩種藥物獲批應用)等降低重癥風險[17],由于食管癌術后患者需長期禁食且自身熱量消耗等,因此全面的營養支持顯得格外重要;(5)當患者出現重癥COVID-19感染應盡早行多學科討論,應使用激素和免疫調節藥物(如白細胞介素6抑制劑)等積極救治,但短期使用激素及免疫調節藥物是否對食管癌術后恢復產生影響,如是否影響吻合口瘺等目前暫時沒有相關結論,其次治療重型肺炎的過程中,是否需要抗凝和俯臥位兩種治療模式尚需進一步探討;(6)對于食管癌患者感染COVID-19的出院指征把握,需要從呼吸系統和消化系統兩方面結合審視;(7)患者出院隨訪,及時給予患者相關指導建議對于患者的康復也同樣重要。
綜上所述,就目前而言疫情流行期間行食管癌根治術是可行的,但是食管癌術后感染COVID-19患者并發癥發生率及死亡率可能增加,因此需要對選擇食管癌手術的患者進行充分個體化評估,術后嚴密監測生命體征及臨床表現變化,及時調整診療策略,改善患者預后。
利益沖突:無。
作者貢獻:韓泳濤、肖文光、冷雪峰負責臨床操作實施與論文設計;李昌頂、李佳龍、徐珊玲負責數據整理與分析;李昌頂負責論文初稿撰寫;冷雪峰負責論文的審閱與修改。