引用本文: 宋從寬, 潘世澤, 李寧, 耿慶. 銅死亡相關基因在肺腺癌中的生物學特征和臨床意義. 中國胸心血管外科臨床雜志, 2023, 30(6): 858-866. doi: 10.7507/1007-4848.202204017 復制
作為肺癌最常見的組織學亞型,肺腺癌有其獨特的生物學特性[1-3]。臨床上,肺腺癌患者早期往往缺乏典型的臨床癥狀甚至無任何癥狀,較易發生遠處轉移,耐藥性較高。這些特點也使得肺腺癌的臨床治療具有極大的挑戰性。近年來,隨著醫學分子生物學的快速發展,肺腺癌的治療手段逐漸多樣化,其病理組織學分型也在逐漸細化。肺癌正在向精準診斷及精準治療的階段邁進,然而新型治療模式的出現也給臨床帶來了新的問題和挑戰,精準醫學時代給研究者和醫務人員提出了更高的要求。
2022年3月,哈佛大學與麻省理工學院的Peter Tsvetkov團隊在Science雜志上發表了一篇名為《Copper induces cell death by targeting lipoylated TCA cycle proteins》的著作[4]。該研究首次提出一種新的細胞死亡機制—銅死亡。他們發現在人類細胞中,這種依賴于銅的、受調節的細胞死亡不同于已知的死亡機制(非凋亡、非焦亡、非鐵死亡和非壞死性凋亡),并且依賴于線粒體呼吸。銅通過與三羧酸循環的脂酰化成分直接結合,導致脂酰化蛋白質聚集和隨后的鐵硫簇蛋白質丟失,從而導致蛋白質毒性應激并最終導致細胞死亡。這是繼細胞焦亡、鐵死亡之后,又一新發現的細胞死亡機制。在這篇研究中,作者使用包括全基因組 CRIPSR-Cas9技術在內的多種方法確定了多種介導銅依賴性細胞死亡的基因。然而,銅死亡相關基因在多種疾病(包括肺腺癌)中的生物學特征及臨床意義并不清楚。
因此,本研究基于癌癥基因組圖譜(The Cancer Genome Atlas,TCGA)的多組學數據,從基因組、轉錄組、表達擾動、預后、潛在靶向藥物等多視野全面揭示銅死亡相關基因在肺腺癌中的生物學特征及臨床意義,為進一步剖析銅死亡相關基因在肺腺癌中的生物學作用和臨床指導意義提供參考或線索。
1 材料與方法
1.1 數據收集和預處理
我們從2022年3月發表于Science雜志上的《Copper induces cell death by targeting lipoylated TCA cycle proteins》[4]中確定了16個銅死亡相關基因,分別是FDX1、LIPT1、LIAS、DLD、DBT、GCSH、DLST、DLAT、PDHA1、PDHB、SLC31A1、ATP7A、ATP7B、MTF1、GLS和CDKN2A。從TCGA(https://portal.gdc.cancer.gov/repository)下載了595例肺腺癌腫瘤及正常組織的轉錄組、基因組和相應的臨床數據。使用“TCGAbiolinks”R包[5]收集TCGA體細胞突變數據,并使用“maftool”R包進行可視化。拷貝數變異(copy number variation,CNV)從Xena公共數據中心(https://xenabrowser.net)下載,利用R包 “Rcircos”繪制了人類染色體中銅死亡相關基因的CNV景觀。
1.2 銅死亡相關基因差異表達分析及Metascape分析
使用R語言中的“limma”包進行差異表達分析,adj.P≤0.05的基因被認為其在腫瘤組織與正常組織間的表達有差異,并以熱圖的形式進行可視化。為了進一步了解這些基因參與的通路或功能,我們利用Metascape(https://metascape.org/)進行了基因注釋。
1.3 銅死亡相關基因生存分析
本研究采取最佳截斷點方法將患者按相應基因的表達分為高表達組及低表達組,采用單因素Cox回歸分析和 Kaplan-Meier方法確定這些基因與肺腺癌患者預后的關系。同時滿足兩種方法統計學P≤0.05的基因,則被視為預后相關基因。
1.4 CellMiner分析識別銅死亡相關基因潛在抗癌藥物
CellMiner數據庫主要是通過國家癌癥研究所癌癥研究中心(NCI)所列出的60種癌細胞為基礎而建立的。NCI-60細胞系是目前使用最廣泛的用于抗癌藥物測試的癌細胞樣本群[6]。為了識別銅死亡相關基因潛在藥物,我們從CellMiner數據庫(https://discover.nci.nih.gov/cellminer/home.do)下載了名為“RNA:RNA-seq”和“Composite activity:DTPNCI-60”的文件,進一步分析了美國食品藥品監督管理局(Food and Drug Administration,FDA)認證/臨床試驗的藥物Z評分與銅死亡相關基因表達值的Pearson相關性。篩選閾值設為|cor|≥0.4,P≤0.01。
1.5 統計學分析
應用Wilcoxon秩和檢驗進行兩組數據之間的統計學比較,3組數據間的統計學比較則使用Kruskal-Wallis檢驗進行。使用單因素Cox分析銅死亡相關基因對肺腺癌預后的影響。P≤0.05為差異有統計學意義。本研究所有的數據分析是在R3.6.2軟件進行。
2 結果
2.1 銅死亡相關基因在肺腺癌中的體細胞突變譜
基于TCGA數據,我們首先確定了肺腺癌中16個銅死亡相關基因的體細胞突變發生率。在561個樣本中,92個發生了銅死亡相關基因突變,頻率為16.4%。這16個銅死亡相關基因在肺腺癌中的突變頻率并不高,其中,CDKN2A和ATP7A的突變頻率最高(4%),其次是ATP7B(3%),而LIAS、LIPT1、GCSH、PDHB和SLC31A1在肺腺癌樣本中均未出現任何突變(圖1)。考慮到CDKN2A和ATP7A突變頻率相對較高,我們進一步研究了CDKN2A和ATP7A的遺傳變異是否會影響其基因表達,結果表明ATP7A的低頻突變不會影響其RNA表達,而CDKN2A的突變會顯著促進其RNA表達(圖2)。盡管CDKN2A和ATP7A在肺腺癌中的突變譜均以錯義突變為主,但CDKN2A的突變類型明顯較ATP7A多樣化,這或許是兩者的基因改變對轉錄組表達影響不同的重要原因。

561例肺腺癌患者中有92例經歷了銅死亡相關基因的體細胞突變,突變頻率為16.4%,主要包括錯義突變和無義缺失;右邊的數字表示每個基因的突變頻率;每列代表個體患者

2.2 銅死亡相關基因在肺腺癌中的拷貝數變異景觀
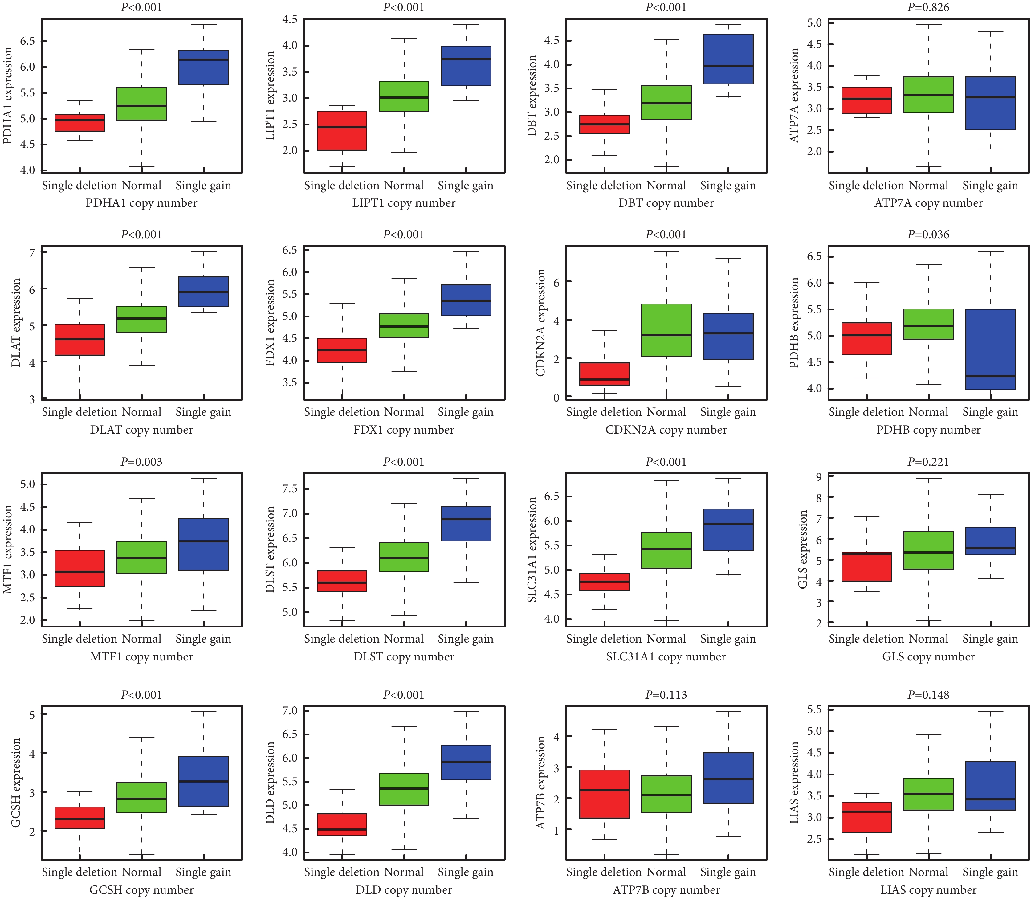
鑒于拷貝數是基因組的重要組成部分,我們因此也刻畫了銅死亡相關基因在肺腺癌里的CNV景觀。16個銅死亡相關基因在人類染色體上的CNV改變位置見圖3a。我們發現體細胞突變頻率最高的兩個基因ATP7A和CDKN2A,分別位于X染色體和9號染色體上。 有趣的是,FDX1和DLAT位于同一染色體同一位點。進一步分析發現銅死亡相關基因在肺腺癌里經歷了廣泛的CNV。MTF1、SLC31A1、GLS、DLD、LIAS、LIPT1顯示了CNV的廣泛擴增。而相比之下,FDX1、DBT、GCSH、DLST、DLAT、PDHA1、PDHB、ATP7B和CDKN2A均存在普遍的CNV缺失(圖3b)。為明確上述基因CNV是否會影響其在肺腺癌中的轉錄組表達,我們使用Kruskal-Wallis檢驗進行了探索。結果表明,CNV的改變可能是導致銅死亡相關基因表達紊亂的重要因素(圖4)。PDHA1、LIPT1、DBT、DLAT、FDX1、MTF1、DLST、SLC31A1、GCSH、DLD基因的拷貝數擴增上調了相應基因的表達,而拷貝數缺失下調了基因的表達。CDKN2A的拷貝數擴增不會上調基因表達,但其拷貝數缺失卻顯著下調了基因表達。然而GLS、LIAS、PDHB、ATP7A、ATP7B的表達似乎不受CNV的影響。

a: 銅死亡相關基因在人類染色體上的拷貝數變異位置;b: 銅死亡相關基因拷貝數擴增和缺失頻率

2.3 銅死亡相關基因在肺腺癌中的轉錄組表達及基因注釋
我們進一步研究了TCGA-LUAD隊列中肺正常樣本和腫瘤樣本中銅死亡相關基因的轉錄組水平。我們發現銅死亡相關基因在肺腺癌患者樣本中存在廣泛的表達失調(圖5)。CDKN2A、GCSH、PDHA1、LIAS、DLAT在肺腺癌中表達上調,而FDX1、DBT、DLST、ATP7B、GLS、ATP7A、MTF1、SLC31A1則是表達下調。為了進一步了解這些基因參與的通路或功能,我們利用Metascape進行了基因注釋;見表1。這些基因主要參與了乙醛酸代謝和甘氨酸降解、銅離子進入、蛋白質脂酰化、細胞氨基酸分解代謝過程、氧化應激反應等。

*

2.4 銅死亡相關基因對肺腺癌預后的影響
銅死亡相關基因是否會影響肺腺癌預后,在很大程度上尚不清楚。我們隨后采用單因素Cox回歸分析和 Kaplan-Meier方法確定這些基因與肺腺癌患者預后的關系。結果顯示,6個銅死亡相關基因(DLD、FDX1、DLAT、DLST、PDHA1、CDKN2A)是肺腺癌患者的預后不良基因;見表2和圖6。圖6也顯示這16個銅死亡相關基因相互之間普遍存在正相關關系。


連接銅死亡相關基因的線路代表了他們之間的相互作用;每個圓圈的大小代表每個基因的預后效應,并按
2.5 銅死亡相關基因潛在靶向藥物
為了篩選銅死亡相關基因的潛在治療藥物,我們從CellMiner數據庫中下載藥物信息和測序數據,進行關鍵基因的藥物敏感性分析;見表3。結果顯示,ATP7A、 GLS、SLC31A1、PDHA1、ATP7B、LIAS、LIPT1分別對應3、3、1、3、1、1和1種藥物。例如ATP7A的表達與乙炔雌二醇、磷雌氮芥的半數抑制濃度(IC50)呈正相關,提示ATP7A的高表達可能降低乙炔雌二醇、磷雌氮芥的藥物敏感性。

3 討論
鑒于肺腺癌復雜的致癌機制和異質性,制定個性化的管理策略仍然極具挑戰性。銅死亡是一種銅依賴性的,非凋亡、非焦亡、非鐵死亡和非壞死性凋亡的新的細胞死亡機制[4]。因此,銅死亡相關基因在肺腺癌中的生物學特征及臨床意義的研究很有必要進行。
據我們所知,本研究是目前首個探究銅死亡相關基因在肺腺癌中的多組學特征的研究。我們的研究表明銅死亡相關基因在肺腺癌中的突變頻率并不高,其中,CDKN2A和ATP7A的突變頻率最高(4%),其次是ATP7B(3%),而LIAS、LIPT1、GCSH、PDHB和SLC31A1在肺腺癌樣本中均未出現任何突變。我們進一步分析了基因突變對其轉錄組表達的影響,結果表明ATP7A的低頻突變并不會影響其RNA表達,而CDKN2A的突變則會顯著促進其RNA表達。盡管CDKN2A和ATP7A在肺腺癌里的突變譜均以錯義突變為主,但CDKN2A的突變類型明顯較ATP7A多樣化,這或許是兩者的基因改變對轉錄組表達影響不同的重要原因。先前的研究[7]報道了CNV能顯著改變基因的表達水平。銅死亡相關基因是否也遵循類似規則有待研究明確。我們的研究發現,大多數銅死亡相關基因的CNV能影響其轉錄組表達,例如PDHA1、LIPT1、DBT、DLAT、FDX1基因等,然而,也有例外,例如CDKN2A的拷貝數擴增并不會上調基因表達,但其拷貝數缺失卻顯著下調了基因表達。而GLS、LIAS、PDHB、ATP7A、ATP7B的表達似乎不受CNV的影響。因此,我們認為CNV是銅死亡相關基因表達擾動的重要因素,但不是唯一原因。
在本研究中,我們識別了6個導致肺腺癌預后較差的銅死亡相關基因(DLD、FDX1、DLAT、DLST、PDHA1、CDKN2A)。二氫硫辛酰胺脫氫酶(dihydrolipoamide dehydrogenase,DLD),又稱為線粒體二氫硫辛酸脫氫酶,是一種由人類基因DLD所編碼的黃素蛋白,其作用是將二氫硫辛酰胺脫氫從而轉化為氧化型硫辛酰胺。DLD作為一種線粒體蛋白質,在真核生物的能量代謝中起到重要作用,DLD作為一種黃素蛋白氧化還原酶,以FAD為輔基接受質子與電子催化二硫鍵的形成。FDX1位于染色體 11q22 上,編碼一種小鐵硫蛋白,可以將電子從NADPH轉移到線粒體細胞色素P450,參與多種物質的代謝[8],例如類固醇、維生素D和膽汁酸。FDX1在維持鐵-硫成簇酶的活性和細胞鐵穩態方面發揮重要作用,他的功能喪失可導致線粒體鐵過載和細胞質中的鐵缺失[9]。此外,也有研究[10]發現FDX1可以編碼一種還原酶,已知可以將Cu2+還原為毒性更強的Cu1+形式,并成為烯醇的直接靶點。在非小細胞肺癌中,陳晨等[11]發現NCI-H1975 細胞敲除 FDX1,減弱了奧西替尼誘導細胞凋亡功能,并認為FDX1 可能參與NCI-H1975細胞對奧西替尼耐藥。 丙酮酸脫氫酶復合物通過將丙酮酸轉化為乙酰輔酶A在氧化磷酸化中發揮重要作用。相關研究[12-13]報道抑制丙酮酸脫氫酶復合物活性可促進腫瘤細胞的惡性表型和生長,其低表達水平與預后不良有關。丙酮酸脫氫酶E1α亞基(pyruvate dehydrogenase E1 component subunit alpha,PDHA1)是丙酮酸脫氫酶復合物的關鍵亞基,PDHA1適當表達是氧化磷酸化的重要前提[14]。在食管癌中,PDHA1 蛋白表達降低與臨床預后不良有關[15]。此外,在人類前列腺癌細胞中,敲除PDHA1會導致“Warburg 效應”以及對化療的抗性、遷移能力增強和干細胞標志物表達增加[16]。PDHA1 的低表達也預示著胃癌的不良預后[17-18]。PDHA1 在多種惡性腫瘤中表達失調并與預后顯著相關[19-20],我們的研究[21]也提示PDHA1在肺腺癌中高表達,并與不良預后相關。脂酸鹽的從頭合成完全發生在線粒體內,在這過程中,脂酰基轉移酶1(lipoyltransferase 1,LIPT1)可將脂酸轉移到2-酮酸脫氫酶復合物的E2亞基上[21-23],而脂酰合酶(lipoyl synthase,LIAS)則是將兩個硫基連接到結合的辛酸上以形成脂酸,LIAS 需要兩個(4Fe-4S) 簇作為硫捐贈的輔助因子。據文獻[24]報道,LIPT1能顯著影響膀胱癌患者預后,但具體機制不明。LIPT1基因的過表達減輕 Leprdb/db 小鼠(一種肥胖小鼠模型)的肝脂肪變性[25],而LIAS的突變也與變異的非酮癥高甘氨酸血癥相關[26]。這兩個基因在人類腫瘤包括肺癌中的角色尚無報道。
從以往研究的數據來看,PDHA1在人類腫瘤中的角色已逐漸被揭曉,然而,其他5個銅死亡相關基因在腫瘤中的生物學特征及行為很大程度上是未知的。本研究首次揭示了這6個顯著影響肺腺癌預后的基因的生物學特征及其臨床意義,這為后續探究銅死亡在肺腺癌中的作用研究提供了新的有價值的線索。
基因組學的發展帶動了腫瘤相關基因的發現,這將極大促進抗癌藥物的發展。為此,我們結合CellMiner數據庫對銅死亡相關基因進行潛在靶向藥物探索。通過嚴格的篩選標準,我們確定了13對基因-藥物對,涉及7個基因,12種藥物。而所選藥物均已進入臨床試驗或經FDA批準,提示他們可能是靶向銅死亡相關基因的抗癌潛在藥物,這將為后續研究抗癌臨床藥物的開發提供參考。
然而,值得注意的是,盡管本研究基于TCGA強大數據,系統揭示了16個銅死亡相關基因在肺腺癌中的生物學特征及臨床意義,并確定了影響肺腺癌預后的6個銅死亡相關基因,以及靶向銅死亡相關基因的潛在抗癌藥物,但仍有幾個關鍵問題需要解決。第一,本研究對銅死亡相關基因的生物學特征刻畫是基于公共數據平臺的統計分析,仍缺乏適當的分子生物學實驗進一步驗證。其次,本研究鑒定的6個影響肺腺癌預后的銅死亡相關基因其致癌途徑是否與銅死亡相關,尚不明確。因此,銅死亡相關基因在肺腺癌中的具體生物學行為及分子作用機制仍需深入研究。
利益沖突:無。
作者貢獻:宋從寬負責數據下載、處理,論文撰寫;潘世澤負責數據分析及文章修改;李寧進行文章修改,經費支持;耿慶負責研究指導,論文修改,經費支持。
作為肺癌最常見的組織學亞型,肺腺癌有其獨特的生物學特性[1-3]。臨床上,肺腺癌患者早期往往缺乏典型的臨床癥狀甚至無任何癥狀,較易發生遠處轉移,耐藥性較高。這些特點也使得肺腺癌的臨床治療具有極大的挑戰性。近年來,隨著醫學分子生物學的快速發展,肺腺癌的治療手段逐漸多樣化,其病理組織學分型也在逐漸細化。肺癌正在向精準診斷及精準治療的階段邁進,然而新型治療模式的出現也給臨床帶來了新的問題和挑戰,精準醫學時代給研究者和醫務人員提出了更高的要求。
2022年3月,哈佛大學與麻省理工學院的Peter Tsvetkov團隊在Science雜志上發表了一篇名為《Copper induces cell death by targeting lipoylated TCA cycle proteins》的著作[4]。該研究首次提出一種新的細胞死亡機制—銅死亡。他們發現在人類細胞中,這種依賴于銅的、受調節的細胞死亡不同于已知的死亡機制(非凋亡、非焦亡、非鐵死亡和非壞死性凋亡),并且依賴于線粒體呼吸。銅通過與三羧酸循環的脂酰化成分直接結合,導致脂酰化蛋白質聚集和隨后的鐵硫簇蛋白質丟失,從而導致蛋白質毒性應激并最終導致細胞死亡。這是繼細胞焦亡、鐵死亡之后,又一新發現的細胞死亡機制。在這篇研究中,作者使用包括全基因組 CRIPSR-Cas9技術在內的多種方法確定了多種介導銅依賴性細胞死亡的基因。然而,銅死亡相關基因在多種疾病(包括肺腺癌)中的生物學特征及臨床意義并不清楚。
因此,本研究基于癌癥基因組圖譜(The Cancer Genome Atlas,TCGA)的多組學數據,從基因組、轉錄組、表達擾動、預后、潛在靶向藥物等多視野全面揭示銅死亡相關基因在肺腺癌中的生物學特征及臨床意義,為進一步剖析銅死亡相關基因在肺腺癌中的生物學作用和臨床指導意義提供參考或線索。
1 材料與方法
1.1 數據收集和預處理
我們從2022年3月發表于Science雜志上的《Copper induces cell death by targeting lipoylated TCA cycle proteins》[4]中確定了16個銅死亡相關基因,分別是FDX1、LIPT1、LIAS、DLD、DBT、GCSH、DLST、DLAT、PDHA1、PDHB、SLC31A1、ATP7A、ATP7B、MTF1、GLS和CDKN2A。從TCGA(https://portal.gdc.cancer.gov/repository)下載了595例肺腺癌腫瘤及正常組織的轉錄組、基因組和相應的臨床數據。使用“TCGAbiolinks”R包[5]收集TCGA體細胞突變數據,并使用“maftool”R包進行可視化。拷貝數變異(copy number variation,CNV)從Xena公共數據中心(https://xenabrowser.net)下載,利用R包 “Rcircos”繪制了人類染色體中銅死亡相關基因的CNV景觀。
1.2 銅死亡相關基因差異表達分析及Metascape分析
使用R語言中的“limma”包進行差異表達分析,adj.P≤0.05的基因被認為其在腫瘤組織與正常組織間的表達有差異,并以熱圖的形式進行可視化。為了進一步了解這些基因參與的通路或功能,我們利用Metascape(https://metascape.org/)進行了基因注釋。
1.3 銅死亡相關基因生存分析
本研究采取最佳截斷點方法將患者按相應基因的表達分為高表達組及低表達組,采用單因素Cox回歸分析和 Kaplan-Meier方法確定這些基因與肺腺癌患者預后的關系。同時滿足兩種方法統計學P≤0.05的基因,則被視為預后相關基因。
1.4 CellMiner分析識別銅死亡相關基因潛在抗癌藥物
CellMiner數據庫主要是通過國家癌癥研究所癌癥研究中心(NCI)所列出的60種癌細胞為基礎而建立的。NCI-60細胞系是目前使用最廣泛的用于抗癌藥物測試的癌細胞樣本群[6]。為了識別銅死亡相關基因潛在藥物,我們從CellMiner數據庫(https://discover.nci.nih.gov/cellminer/home.do)下載了名為“RNA:RNA-seq”和“Composite activity:DTPNCI-60”的文件,進一步分析了美國食品藥品監督管理局(Food and Drug Administration,FDA)認證/臨床試驗的藥物Z評分與銅死亡相關基因表達值的Pearson相關性。篩選閾值設為|cor|≥0.4,P≤0.01。
1.5 統計學分析
應用Wilcoxon秩和檢驗進行兩組數據之間的統計學比較,3組數據間的統計學比較則使用Kruskal-Wallis檢驗進行。使用單因素Cox分析銅死亡相關基因對肺腺癌預后的影響。P≤0.05為差異有統計學意義。本研究所有的數據分析是在R3.6.2軟件進行。
2 結果
2.1 銅死亡相關基因在肺腺癌中的體細胞突變譜
基于TCGA數據,我們首先確定了肺腺癌中16個銅死亡相關基因的體細胞突變發生率。在561個樣本中,92個發生了銅死亡相關基因突變,頻率為16.4%。這16個銅死亡相關基因在肺腺癌中的突變頻率并不高,其中,CDKN2A和ATP7A的突變頻率最高(4%),其次是ATP7B(3%),而LIAS、LIPT1、GCSH、PDHB和SLC31A1在肺腺癌樣本中均未出現任何突變(圖1)。考慮到CDKN2A和ATP7A突變頻率相對較高,我們進一步研究了CDKN2A和ATP7A的遺傳變異是否會影響其基因表達,結果表明ATP7A的低頻突變不會影響其RNA表達,而CDKN2A的突變會顯著促進其RNA表達(圖2)。盡管CDKN2A和ATP7A在肺腺癌中的突變譜均以錯義突變為主,但CDKN2A的突變類型明顯較ATP7A多樣化,這或許是兩者的基因改變對轉錄組表達影響不同的重要原因。

561例肺腺癌患者中有92例經歷了銅死亡相關基因的體細胞突變,突變頻率為16.4%,主要包括錯義突變和無義缺失;右邊的數字表示每個基因的突變頻率;每列代表個體患者

2.2 銅死亡相關基因在肺腺癌中的拷貝數變異景觀
鑒于拷貝數是基因組的重要組成部分,我們因此也刻畫了銅死亡相關基因在肺腺癌里的CNV景觀。16個銅死亡相關基因在人類染色體上的CNV改變位置見圖3a。我們發現體細胞突變頻率最高的兩個基因ATP7A和CDKN2A,分別位于X染色體和9號染色體上。 有趣的是,FDX1和DLAT位于同一染色體同一位點。進一步分析發現銅死亡相關基因在肺腺癌里經歷了廣泛的CNV。MTF1、SLC31A1、GLS、DLD、LIAS、LIPT1顯示了CNV的廣泛擴增。而相比之下,FDX1、DBT、GCSH、DLST、DLAT、PDHA1、PDHB、ATP7B和CDKN2A均存在普遍的CNV缺失(圖3b)。為明確上述基因CNV是否會影響其在肺腺癌中的轉錄組表達,我們使用Kruskal-Wallis檢驗進行了探索。結果表明,CNV的改變可能是導致銅死亡相關基因表達紊亂的重要因素(圖4)。PDHA1、LIPT1、DBT、DLAT、FDX1、MTF1、DLST、SLC31A1、GCSH、DLD基因的拷貝數擴增上調了相應基因的表達,而拷貝數缺失下調了基因的表達。CDKN2A的拷貝數擴增不會上調基因表達,但其拷貝數缺失卻顯著下調了基因表達。然而GLS、LIAS、PDHB、ATP7A、ATP7B的表達似乎不受CNV的影響。

a: 銅死亡相關基因在人類染色體上的拷貝數變異位置;b: 銅死亡相關基因拷貝數擴增和缺失頻率

2.3 銅死亡相關基因在肺腺癌中的轉錄組表達及基因注釋
我們進一步研究了TCGA-LUAD隊列中肺正常樣本和腫瘤樣本中銅死亡相關基因的轉錄組水平。我們發現銅死亡相關基因在肺腺癌患者樣本中存在廣泛的表達失調(圖5)。CDKN2A、GCSH、PDHA1、LIAS、DLAT在肺腺癌中表達上調,而FDX1、DBT、DLST、ATP7B、GLS、ATP7A、MTF1、SLC31A1則是表達下調。為了進一步了解這些基因參與的通路或功能,我們利用Metascape進行了基因注釋;見表1。這些基因主要參與了乙醛酸代謝和甘氨酸降解、銅離子進入、蛋白質脂酰化、細胞氨基酸分解代謝過程、氧化應激反應等。

*

2.4 銅死亡相關基因對肺腺癌預后的影響
銅死亡相關基因是否會影響肺腺癌預后,在很大程度上尚不清楚。我們隨后采用單因素Cox回歸分析和 Kaplan-Meier方法確定這些基因與肺腺癌患者預后的關系。結果顯示,6個銅死亡相關基因(DLD、FDX1、DLAT、DLST、PDHA1、CDKN2A)是肺腺癌患者的預后不良基因;見表2和圖6。圖6也顯示這16個銅死亡相關基因相互之間普遍存在正相關關系。


連接銅死亡相關基因的線路代表了他們之間的相互作用;每個圓圈的大小代表每個基因的預后效應,并按
2.5 銅死亡相關基因潛在靶向藥物
為了篩選銅死亡相關基因的潛在治療藥物,我們從CellMiner數據庫中下載藥物信息和測序數據,進行關鍵基因的藥物敏感性分析;見表3。結果顯示,ATP7A、 GLS、SLC31A1、PDHA1、ATP7B、LIAS、LIPT1分別對應3、3、1、3、1、1和1種藥物。例如ATP7A的表達與乙炔雌二醇、磷雌氮芥的半數抑制濃度(IC50)呈正相關,提示ATP7A的高表達可能降低乙炔雌二醇、磷雌氮芥的藥物敏感性。

3 討論
鑒于肺腺癌復雜的致癌機制和異質性,制定個性化的管理策略仍然極具挑戰性。銅死亡是一種銅依賴性的,非凋亡、非焦亡、非鐵死亡和非壞死性凋亡的新的細胞死亡機制[4]。因此,銅死亡相關基因在肺腺癌中的生物學特征及臨床意義的研究很有必要進行。
據我們所知,本研究是目前首個探究銅死亡相關基因在肺腺癌中的多組學特征的研究。我們的研究表明銅死亡相關基因在肺腺癌中的突變頻率并不高,其中,CDKN2A和ATP7A的突變頻率最高(4%),其次是ATP7B(3%),而LIAS、LIPT1、GCSH、PDHB和SLC31A1在肺腺癌樣本中均未出現任何突變。我們進一步分析了基因突變對其轉錄組表達的影響,結果表明ATP7A的低頻突變并不會影響其RNA表達,而CDKN2A的突變則會顯著促進其RNA表達。盡管CDKN2A和ATP7A在肺腺癌里的突變譜均以錯義突變為主,但CDKN2A的突變類型明顯較ATP7A多樣化,這或許是兩者的基因改變對轉錄組表達影響不同的重要原因。先前的研究[7]報道了CNV能顯著改變基因的表達水平。銅死亡相關基因是否也遵循類似規則有待研究明確。我們的研究發現,大多數銅死亡相關基因的CNV能影響其轉錄組表達,例如PDHA1、LIPT1、DBT、DLAT、FDX1基因等,然而,也有例外,例如CDKN2A的拷貝數擴增并不會上調基因表達,但其拷貝數缺失卻顯著下調了基因表達。而GLS、LIAS、PDHB、ATP7A、ATP7B的表達似乎不受CNV的影響。因此,我們認為CNV是銅死亡相關基因表達擾動的重要因素,但不是唯一原因。
在本研究中,我們識別了6個導致肺腺癌預后較差的銅死亡相關基因(DLD、FDX1、DLAT、DLST、PDHA1、CDKN2A)。二氫硫辛酰胺脫氫酶(dihydrolipoamide dehydrogenase,DLD),又稱為線粒體二氫硫辛酸脫氫酶,是一種由人類基因DLD所編碼的黃素蛋白,其作用是將二氫硫辛酰胺脫氫從而轉化為氧化型硫辛酰胺。DLD作為一種線粒體蛋白質,在真核生物的能量代謝中起到重要作用,DLD作為一種黃素蛋白氧化還原酶,以FAD為輔基接受質子與電子催化二硫鍵的形成。FDX1位于染色體 11q22 上,編碼一種小鐵硫蛋白,可以將電子從NADPH轉移到線粒體細胞色素P450,參與多種物質的代謝[8],例如類固醇、維生素D和膽汁酸。FDX1在維持鐵-硫成簇酶的活性和細胞鐵穩態方面發揮重要作用,他的功能喪失可導致線粒體鐵過載和細胞質中的鐵缺失[9]。此外,也有研究[10]發現FDX1可以編碼一種還原酶,已知可以將Cu2+還原為毒性更強的Cu1+形式,并成為烯醇的直接靶點。在非小細胞肺癌中,陳晨等[11]發現NCI-H1975 細胞敲除 FDX1,減弱了奧西替尼誘導細胞凋亡功能,并認為FDX1 可能參與NCI-H1975細胞對奧西替尼耐藥。 丙酮酸脫氫酶復合物通過將丙酮酸轉化為乙酰輔酶A在氧化磷酸化中發揮重要作用。相關研究[12-13]報道抑制丙酮酸脫氫酶復合物活性可促進腫瘤細胞的惡性表型和生長,其低表達水平與預后不良有關。丙酮酸脫氫酶E1α亞基(pyruvate dehydrogenase E1 component subunit alpha,PDHA1)是丙酮酸脫氫酶復合物的關鍵亞基,PDHA1適當表達是氧化磷酸化的重要前提[14]。在食管癌中,PDHA1 蛋白表達降低與臨床預后不良有關[15]。此外,在人類前列腺癌細胞中,敲除PDHA1會導致“Warburg 效應”以及對化療的抗性、遷移能力增強和干細胞標志物表達增加[16]。PDHA1 的低表達也預示著胃癌的不良預后[17-18]。PDHA1 在多種惡性腫瘤中表達失調并與預后顯著相關[19-20],我們的研究[21]也提示PDHA1在肺腺癌中高表達,并與不良預后相關。脂酸鹽的從頭合成完全發生在線粒體內,在這過程中,脂酰基轉移酶1(lipoyltransferase 1,LIPT1)可將脂酸轉移到2-酮酸脫氫酶復合物的E2亞基上[21-23],而脂酰合酶(lipoyl synthase,LIAS)則是將兩個硫基連接到結合的辛酸上以形成脂酸,LIAS 需要兩個(4Fe-4S) 簇作為硫捐贈的輔助因子。據文獻[24]報道,LIPT1能顯著影響膀胱癌患者預后,但具體機制不明。LIPT1基因的過表達減輕 Leprdb/db 小鼠(一種肥胖小鼠模型)的肝脂肪變性[25],而LIAS的突變也與變異的非酮癥高甘氨酸血癥相關[26]。這兩個基因在人類腫瘤包括肺癌中的角色尚無報道。
從以往研究的數據來看,PDHA1在人類腫瘤中的角色已逐漸被揭曉,然而,其他5個銅死亡相關基因在腫瘤中的生物學特征及行為很大程度上是未知的。本研究首次揭示了這6個顯著影響肺腺癌預后的基因的生物學特征及其臨床意義,這為后續探究銅死亡在肺腺癌中的作用研究提供了新的有價值的線索。
基因組學的發展帶動了腫瘤相關基因的發現,這將極大促進抗癌藥物的發展。為此,我們結合CellMiner數據庫對銅死亡相關基因進行潛在靶向藥物探索。通過嚴格的篩選標準,我們確定了13對基因-藥物對,涉及7個基因,12種藥物。而所選藥物均已進入臨床試驗或經FDA批準,提示他們可能是靶向銅死亡相關基因的抗癌潛在藥物,這將為后續研究抗癌臨床藥物的開發提供參考。
然而,值得注意的是,盡管本研究基于TCGA強大數據,系統揭示了16個銅死亡相關基因在肺腺癌中的生物學特征及臨床意義,并確定了影響肺腺癌預后的6個銅死亡相關基因,以及靶向銅死亡相關基因的潛在抗癌藥物,但仍有幾個關鍵問題需要解決。第一,本研究對銅死亡相關基因的生物學特征刻畫是基于公共數據平臺的統計分析,仍缺乏適當的分子生物學實驗進一步驗證。其次,本研究鑒定的6個影響肺腺癌預后的銅死亡相關基因其致癌途徑是否與銅死亡相關,尚不明確。因此,銅死亡相關基因在肺腺癌中的具體生物學行為及分子作用機制仍需深入研究。
利益沖突:無。
作者貢獻:宋從寬負責數據下載、處理,論文撰寫;潘世澤負責數據分析及文章修改;李寧進行文章修改,經費支持;耿慶負責研究指導,論文修改,經費支持。