引用本文: 劉湘, 韋慧錦, 馬力, 鄒明暉, 陳偉丹, 陳欣欣. 外科手術治療主動脈縮窄合并復雜心臟畸形79 例單中心回顧性分析. 中國胸心血管外科臨床雜志, 2022, 29(11): 1466-1471. doi: 10.7507/1007-4848.202011068 復制
主動脈縮窄(coarctation of the aorta,CoA)是指先天性主動脈局限性狹窄,發病率為 0.03%~0.04%,約占先天性心臟病(先心病)的 4%~5%[1]。在臨床上,孤立性 CoA 和 CoA 合并室間隔缺損(ventricular septal defect,VSD)較為常見,此外,尚有 24.5% 的 CoA 患者合并其它較為復雜的心臟畸形(complex anomalies,CA),包括單心室、右室雙出口、大動脈轉位和瓣膜病變等[2]。目前,一期手術矯治 CoA 及其合并的心內畸形已成為共識,取得良好的治療效果[3]。但是,對于 CoA 合并 CA 一期手術干預的效果和存在的問題,國內相關報道較少。本文總結我中心近年來 79 例 CoA 合并 CA 的手術治療效果,以提高此類疾病的治療效果。
1 資料與方法
1.1 臨床資料
回顧性分析 2010 年 1 月 19 日—2017 年 9 月 7 日于廣州市婦女兒童醫療中心院接受外科手術治療的 CoA 合并 CA 79 例患兒的臨床資料,所有手術由同一組外科醫師完成。術前均行支氣管鏡檢查,明確是否存在氣管病變。患兒常規行心電圖、胸部 X 線片、超聲心動圖和心臟 CT 等檢查,并經術中探查確診。患者術前基本資料見表 1。男 52 例、女 27 例,中位年齡 71 d,中位體重 4.3 kg;術前合并氣管狹窄 26 例,術前氣管插管 7 例。合并的主要心臟畸形包括:二尖瓣反流 17 例,主動脈瓣狹窄 10 例,右室雙出口 9 例,Taussing-Bing 畸形 9 例,大動脈轉位 7 例,單心室 7 例等。其中合并 Currarino 綜合征 1 例,合并 Williams 綜合征 1 例。

1.2 手術方法
采取胸骨正中切口入路,均未行選擇性腦灌注。游離頭臂干至分支以上水平,游離左頸總動脈和左鎖骨下動脈至胸廓入口水平,游離左右肺動脈至肺門處,降主動脈至少游離出 2 對肋間動脈。經主動脈-上下腔靜脈插管建立體外循環,降溫至肛溫 30~32℃,主動脈根部灌注冷 HTK 液,心臟停跳滿意后,糾正合并的心內畸形。肛溫 18~20℃ 時停循環。徹底切除CoA段和導管組織,在升主動脈弓下緣切口,切口直徑約為降主動脈開口直徑的 1.2~1.5 倍,將降主動脈上提,以 7-0/6-0 聚丙烯縫線連續縫合將降主動脈和主動脈進行端側吻合。術后回監護室繼續治療。
1.3 術后隨訪
通過先心病隨訪門診定期隨訪,以電話和短信作為隨訪補充手段。出院后 1 個月、3 個月、6 個月、12 個月及滿 1 年后連續 5 年每年返院隨訪。隨訪內容包括生存情況、超聲心動圖、心電圖及胸部 X 線片等檢查結果,必要時行心臟 CT 檢查。早期死亡定義為術后 30 d 以內(含 30 d)死亡,晚期死亡定義為術后 30 d 以上死亡。主動脈再縮窄定義為主動脈吻合口壓差>20 mm Hg(1 mm Hg=0.133 kPa)[3]。最后隨訪日期截至 2020 年 3 月 23 日。
1.4 統計學分析
應用 SPSS 20.0 統計軟件進行數據錄入和分析。非正態分布的計量資料以中位數(M)和全距表示,兩組間比較采用 Mann-Whitney U 檢驗,組內術前-術后比較采用 Wilcoxon 秩和檢驗。正態分布的計量資料以均數±標準差(±s)表示,兩組間或組內術前-術后比較采用 t 檢驗。計數資料以百分比(%)表示,組間比較采用卡方檢驗或連續性校正的卡方檢驗或 Fisher 精確檢驗。P≤0.05 表示差異有統計學意義。
1.5 倫理審查
本研究經廣州市婦女兒童醫療中心醫學倫理委員會批準,批準號:[2021]244A01。
2 結果
2.1 患兒術中及術后資料
中位體外循環時間 18 min,中位主動脈阻斷時間 62 min,中位體外循環時間 145 min。中位術后機械通氣時間 72 h,中位 ICU 滯留時間 144 h,中位總住院時間 24 d;見表 2。

一期根治手術 71 例;姑息手術 8 例,其中 5 例于術后早期死亡,1 例于術后晚期死亡。行姑息手術且順利出院 3 例,合并的主要心臟畸形均為單心室,第一次均行 CoA 矯治術+肺動脈環縮術。其中 1 例于術后半年返院行再次肺動脈環縮術+雙向 Glenn 術,術后 3 年返院行導管術后突發心室顫動,搶救無效死亡。1 例于術后 8 個月余返院行雙向 Glenn 術,2 年余后返院行改良 Fontan+三尖瓣成形+右室流出道狹窄疏通術,最終完成根治手術。1 例出院后失訪。
術后早期死亡 9 例。合并 CA 包括單心室 4 例,均行肺動脈環縮術;其中 1 例于術后出現血氧飽和度、血壓漸降,突發心率減慢、心外按壓無效;1 例于術后當天因止血進行開胸探查,術后持續無尿死亡;1 例于術后無法脫離呼吸機,重癥感染,心功能差,家長放棄后死亡;1 例于術后出現反復呼吸暫停、血氧飽和度下降,無法脫離撤機,重癥感染,家長放棄后死亡。右室雙出口合并冠狀動脈單冠畸形 1 例,行動脈調轉術,術后轉普通病房后 2 d 猝死。二尖瓣狹窄和VSD并弓部發育不良 1 例,行房間隔切除+肺動脈環縮術,術前即因呼吸暫停及心跳減慢進行心肺復蘇;術后延遲關胸,毛細血管滲漏無法控制,反復輸注血小板無效,最后血壓下降、顱內出血死亡。完全性大動脈轉位 1 例,行動脈調轉術,術后延遲關胸因持續低心排血量綜合征致死亡。Taussig-Bing 畸形 1 例,行動脈調轉術,術中低心排血量綜合征,無法停體外循環,家屬放棄,術中死亡。彎刀綜合征 1 例,行彎刀綜合征矯治術,術中肺出血死亡。
晚期死亡 5 例。合并 CA 包括 Taussig-Bing 畸形 2 例,其中 1 例行動脈調轉術,術后2個月余缺氧發作死亡;1 例行改良 D.K.S 術,術后 3 年出現心臟進行性增大,水腫、氣促,轉入監護室次日心率減慢,搶救無效死亡。右室雙出口合并冠狀動脈單冠畸形 1 例,行動脈調轉術,術后心功能無法改善,心臟彩色超聲示多處殘余VSD,再行肺動脈環縮術,術后因反復感染,病情加重,無法脫離呼吸機,術后 3 個月余突然心率下降,搶救無效死亡。單心室 1 例,行肺動脈環縮術,術后 3 年行導管術后突發心室顫動,搶救無效死亡。主動脈瓣狹窄 1 例,行主動脈瓣狹窄矯治術,術后出現低心排血量綜合征,予以床旁開胸并延遲關胸,51 d 后死亡。
術后再手術 28 例。行延遲關胸術 16 例,其中 1 例于術后 3 周行永久性起搏器植入術;行雙向 Glenn 術 2 例;行開胸探查止血 2 例,其中 1 例于術后 3 年余因左室流出道梗阻行左室流出道疏通術;行膈肌折疊術 2 例;VSD 殘余分流 2 例,其中 1 例行 VSD 封堵術,1 例行 VSD 修補術;行清創術 1 例;行肺動脈環縮術 1 例;行永久性起搏器植入術 1 例;術后 7 個月余出現再縮窄行矯治術 1 例。
術后再縮窄 10 例,其中 1 例于術后 7 個月余再次行矯治術。
2.2 患兒術前術后一般指標變化
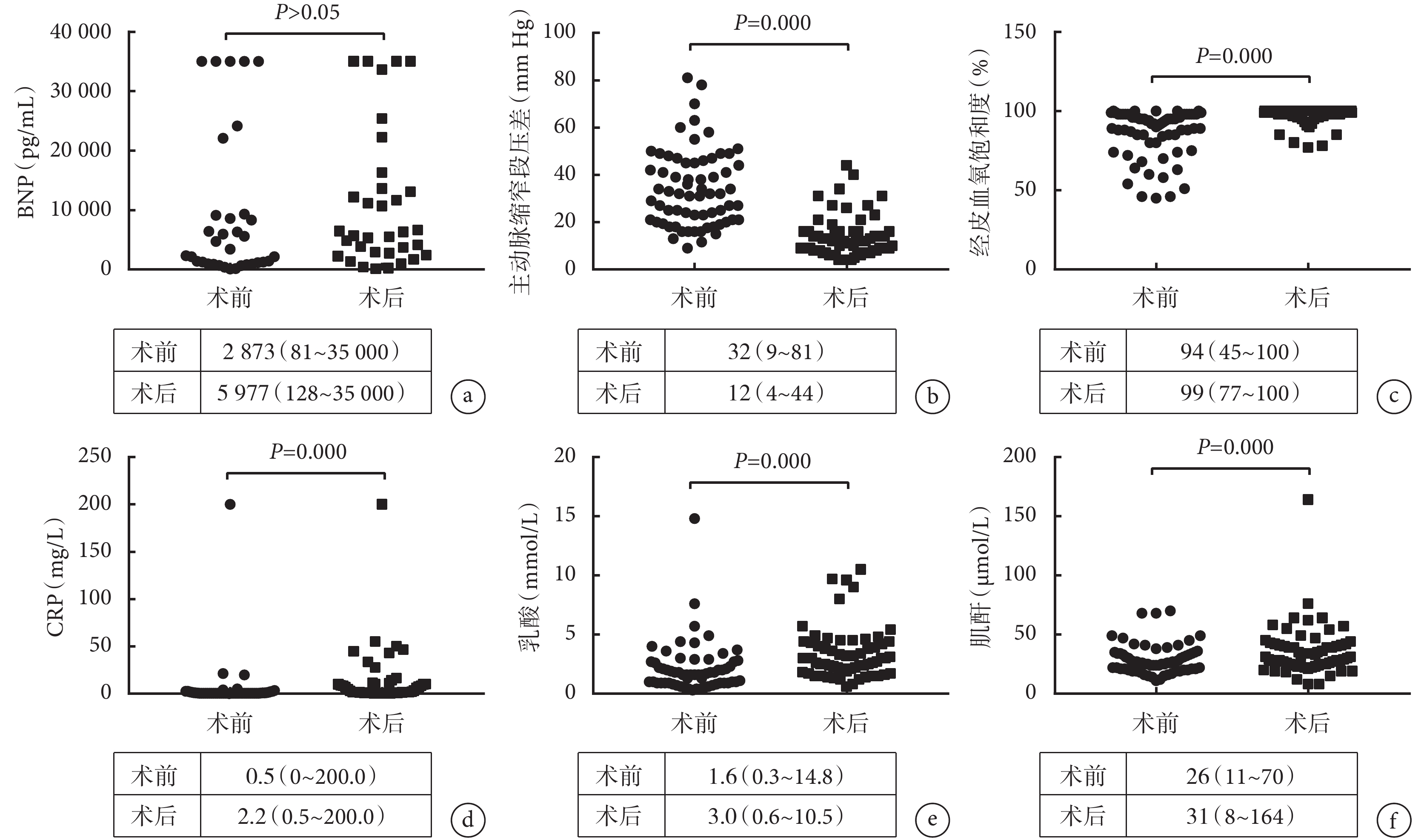
腦鈉肽(brain natriuretic peptide,BNP)在術前即明顯升高,但手術后無明顯變化;CoA段壓差在術后明顯下降,經皮血氧飽和度、C-反應蛋白(C-reactive protein,CRP)、乳酸和肌酐水平在術后明顯上升;見圖 1。

a:BNP 在術前即明顯升高,但手術后無明顯變化(
2.3 死亡病例和存活病例一般臨床資料對比
對死亡組和存活組的臨床資料進行比較,在死亡組中,術前和術后血氧飽和度均較低,而術后即刻 BNP 和 CRP 均較高。此外,術后機械通氣時間更長。術前氣管插管可能更為常見,但差異無統計學意義;見表 3。


3 討論
一般認為,嬰幼兒存在休克、心功能衰竭等癥狀,且保守治療無效;或影像學提示縮窄段直徑≤正常值的 50%,且縮窄段壓差>20 mm Hg,應及時進行手術治療[4]。本團隊早年報道,一期手術矯治 CoA 及其合并的心內畸形,取得良好的治療效果[5-6]。本組病例均在矯治 CoA 時,同期手術處理合并 CA。采用胸骨正中單一切口,術中廣泛切除縮窄段及導管組織,以擴大端側吻合法進行弓部重建。CoA段壓差在術后明顯下降,表明手術有效地解除了主動脈梗阻;見圖 1。
一期根治手術 71 例,一期根治率為 89.9%,在這組病例中,早期死亡率為 5.6%(4/71)。姑息手術 8 例,均在糾正 CoA 同時,行肺動脈環縮術;其中 5 例于術后早期死亡,早期死亡率高達 62.5%(5/8)。肺動脈環縮術作為減少肺血的姑息性手術,可保護肺血管床,為Ⅱ或Ⅲ期根治手術提供機會[7]。但是,肺動脈環縮術風險較高,早期文獻[8]報道,總體的手術死亡率為 24.9%。新近的一項數據顯示,在單心室合并非限制性肺血的患兒中,肺動脈環縮術的在院死亡率已經下降至 4%,然而,當合并遺傳或心外畸形時,會顯著影響遠期生存率[9]。另外,更早期的兩項研究表明,與接受孤立性肺動脈環縮術相比,當同時行主動脈弓修補術時,會顯著影響患兒的遠期存活率及 Fontan 手術的完成率;1 年存活率從 77% 下降至 44%[10];Fontan 手術的完成率由 42% 下降至 8%[11]。我們這組病例的死亡率比較高,一方面是因為同期進行了 CoA 矯治術,另一方面,這些是比較早期(2014 年)的數據。對于接受一期根治手術的患兒,早期和晚期死亡率均較低,結果是令人滿意的。
吻合口再縮窄是 CoA 手術后存在的主要問題。術后主動脈吻合口壓差>20 mm Hg,認為發生再縮窄[3]。我們早期經驗證實,擴大端端吻合法矯治 CoA 及合并畸形效果良好[5]。由于擴大端端或端側吻合法可同時矯治主動脈弓發育不良,目前是我們的首選術式。技術要點是要進行充分游離主動脈弓和三大分支、降主動脈、主肺動脈及左右肺動脈,降低吻合口張力,降低遠期吻合口發生再縮窄的風險。本組隨訪數據顯示,術后再縮窄的發生率為 12.7%,明顯低于最新文獻[3]報道的數據。而且再縮窄病例大多數處于臨界值偏上水平,耐受良好,其中只有 1 例于術后 7 個月余再次行 CoA 矯治術。
血漿 BNP 水平可作為反映先心病患兒合并左心功能受損的敏感指標,與心功能狀態存在明顯相關性[12]。在本研究中,患兒術前即存在明顯的左心功能不全,手術后 BNP 雖有升高趨勢,但差異無統計學意義。此外,患兒術后早期血氧飽和度明顯上升,表明手術后患兒的心肺功能得到明顯改善。由于手術方式復雜、體外循環、低體溫以及手術時間長等諸多因素的影響,復雜先心病術后早期即可出現炎癥激活、乳酸升高和腎功能損害。CRP 是高度敏感的炎癥標志物。研究[13]顯示,CRP 在嬰幼兒先心病術后迅速升高,并在術后 24 h 達到高峰;而且復雜畸形組的 CRP 增幅更加明顯。而術后早期乳酸水平在預測先心病術后早期轉歸方面具有價值,聯合監測血氧飽和度能提升預測轉歸不良的準確性[14]。另外,據文獻[15]報道,先心病嬰幼兒在術后因發生急性腎功能衰竭而需要腹膜透析的比例高達 11.5%,其死亡率是腎功能正常組的 4 倍。在本組病例中,術后早期乳酸、CRP 和肌酐水平均出現明顯上升,然而,這3項指標在大多數病例中的增幅很小,提示患兒在圍術期得到良好的管理。進一步分析發現,與存活組比較,死亡組的術前和術后血氧飽和度均較低,而術后即刻 BNP 和 CRP 均較高;提示血氧飽和度、BNP 和 CRP 跟術后的不良轉歸相關。應該加強圍術期管理,改善氧合,限制 BNP 和 CRP 的升高幅度。
綜上所述,胸骨正中單一切口下,擴大端側吻合術矯治小兒 CoA,并一期處理合并 CA,取得良好的近中期效果。加強患兒的圍術期管理,通過改善氧合并限制 BNP 和 CRP 增幅,有望降低術后死亡率。
利益沖突:無。
作者貢獻:劉湘負責統計分析、論文撰寫;韋慧錦負責數據采集及分析;馬力、鄒明暉、陳偉丹和陳欣欣負責選題和設計;陳欣欣負責論文修改。
主動脈縮窄(coarctation of the aorta,CoA)是指先天性主動脈局限性狹窄,發病率為 0.03%~0.04%,約占先天性心臟病(先心病)的 4%~5%[1]。在臨床上,孤立性 CoA 和 CoA 合并室間隔缺損(ventricular septal defect,VSD)較為常見,此外,尚有 24.5% 的 CoA 患者合并其它較為復雜的心臟畸形(complex anomalies,CA),包括單心室、右室雙出口、大動脈轉位和瓣膜病變等[2]。目前,一期手術矯治 CoA 及其合并的心內畸形已成為共識,取得良好的治療效果[3]。但是,對于 CoA 合并 CA 一期手術干預的效果和存在的問題,國內相關報道較少。本文總結我中心近年來 79 例 CoA 合并 CA 的手術治療效果,以提高此類疾病的治療效果。
1 資料與方法
1.1 臨床資料
回顧性分析 2010 年 1 月 19 日—2017 年 9 月 7 日于廣州市婦女兒童醫療中心院接受外科手術治療的 CoA 合并 CA 79 例患兒的臨床資料,所有手術由同一組外科醫師完成。術前均行支氣管鏡檢查,明確是否存在氣管病變。患兒常規行心電圖、胸部 X 線片、超聲心動圖和心臟 CT 等檢查,并經術中探查確診。患者術前基本資料見表 1。男 52 例、女 27 例,中位年齡 71 d,中位體重 4.3 kg;術前合并氣管狹窄 26 例,術前氣管插管 7 例。合并的主要心臟畸形包括:二尖瓣反流 17 例,主動脈瓣狹窄 10 例,右室雙出口 9 例,Taussing-Bing 畸形 9 例,大動脈轉位 7 例,單心室 7 例等。其中合并 Currarino 綜合征 1 例,合并 Williams 綜合征 1 例。

1.2 手術方法
采取胸骨正中切口入路,均未行選擇性腦灌注。游離頭臂干至分支以上水平,游離左頸總動脈和左鎖骨下動脈至胸廓入口水平,游離左右肺動脈至肺門處,降主動脈至少游離出 2 對肋間動脈。經主動脈-上下腔靜脈插管建立體外循環,降溫至肛溫 30~32℃,主動脈根部灌注冷 HTK 液,心臟停跳滿意后,糾正合并的心內畸形。肛溫 18~20℃ 時停循環。徹底切除CoA段和導管組織,在升主動脈弓下緣切口,切口直徑約為降主動脈開口直徑的 1.2~1.5 倍,將降主動脈上提,以 7-0/6-0 聚丙烯縫線連續縫合將降主動脈和主動脈進行端側吻合。術后回監護室繼續治療。
1.3 術后隨訪
通過先心病隨訪門診定期隨訪,以電話和短信作為隨訪補充手段。出院后 1 個月、3 個月、6 個月、12 個月及滿 1 年后連續 5 年每年返院隨訪。隨訪內容包括生存情況、超聲心動圖、心電圖及胸部 X 線片等檢查結果,必要時行心臟 CT 檢查。早期死亡定義為術后 30 d 以內(含 30 d)死亡,晚期死亡定義為術后 30 d 以上死亡。主動脈再縮窄定義為主動脈吻合口壓差>20 mm Hg(1 mm Hg=0.133 kPa)[3]。最后隨訪日期截至 2020 年 3 月 23 日。
1.4 統計學分析
應用 SPSS 20.0 統計軟件進行數據錄入和分析。非正態分布的計量資料以中位數(M)和全距表示,兩組間比較采用 Mann-Whitney U 檢驗,組內術前-術后比較采用 Wilcoxon 秩和檢驗。正態分布的計量資料以均數±標準差(±s)表示,兩組間或組內術前-術后比較采用 t 檢驗。計數資料以百分比(%)表示,組間比較采用卡方檢驗或連續性校正的卡方檢驗或 Fisher 精確檢驗。P≤0.05 表示差異有統計學意義。
1.5 倫理審查
本研究經廣州市婦女兒童醫療中心醫學倫理委員會批準,批準號:[2021]244A01。
2 結果
2.1 患兒術中及術后資料
中位體外循環時間 18 min,中位主動脈阻斷時間 62 min,中位體外循環時間 145 min。中位術后機械通氣時間 72 h,中位 ICU 滯留時間 144 h,中位總住院時間 24 d;見表 2。

一期根治手術 71 例;姑息手術 8 例,其中 5 例于術后早期死亡,1 例于術后晚期死亡。行姑息手術且順利出院 3 例,合并的主要心臟畸形均為單心室,第一次均行 CoA 矯治術+肺動脈環縮術。其中 1 例于術后半年返院行再次肺動脈環縮術+雙向 Glenn 術,術后 3 年返院行導管術后突發心室顫動,搶救無效死亡。1 例于術后 8 個月余返院行雙向 Glenn 術,2 年余后返院行改良 Fontan+三尖瓣成形+右室流出道狹窄疏通術,最終完成根治手術。1 例出院后失訪。
術后早期死亡 9 例。合并 CA 包括單心室 4 例,均行肺動脈環縮術;其中 1 例于術后出現血氧飽和度、血壓漸降,突發心率減慢、心外按壓無效;1 例于術后當天因止血進行開胸探查,術后持續無尿死亡;1 例于術后無法脫離呼吸機,重癥感染,心功能差,家長放棄后死亡;1 例于術后出現反復呼吸暫停、血氧飽和度下降,無法脫離撤機,重癥感染,家長放棄后死亡。右室雙出口合并冠狀動脈單冠畸形 1 例,行動脈調轉術,術后轉普通病房后 2 d 猝死。二尖瓣狹窄和VSD并弓部發育不良 1 例,行房間隔切除+肺動脈環縮術,術前即因呼吸暫停及心跳減慢進行心肺復蘇;術后延遲關胸,毛細血管滲漏無法控制,反復輸注血小板無效,最后血壓下降、顱內出血死亡。完全性大動脈轉位 1 例,行動脈調轉術,術后延遲關胸因持續低心排血量綜合征致死亡。Taussig-Bing 畸形 1 例,行動脈調轉術,術中低心排血量綜合征,無法停體外循環,家屬放棄,術中死亡。彎刀綜合征 1 例,行彎刀綜合征矯治術,術中肺出血死亡。
晚期死亡 5 例。合并 CA 包括 Taussig-Bing 畸形 2 例,其中 1 例行動脈調轉術,術后2個月余缺氧發作死亡;1 例行改良 D.K.S 術,術后 3 年出現心臟進行性增大,水腫、氣促,轉入監護室次日心率減慢,搶救無效死亡。右室雙出口合并冠狀動脈單冠畸形 1 例,行動脈調轉術,術后心功能無法改善,心臟彩色超聲示多處殘余VSD,再行肺動脈環縮術,術后因反復感染,病情加重,無法脫離呼吸機,術后 3 個月余突然心率下降,搶救無效死亡。單心室 1 例,行肺動脈環縮術,術后 3 年行導管術后突發心室顫動,搶救無效死亡。主動脈瓣狹窄 1 例,行主動脈瓣狹窄矯治術,術后出現低心排血量綜合征,予以床旁開胸并延遲關胸,51 d 后死亡。
術后再手術 28 例。行延遲關胸術 16 例,其中 1 例于術后 3 周行永久性起搏器植入術;行雙向 Glenn 術 2 例;行開胸探查止血 2 例,其中 1 例于術后 3 年余因左室流出道梗阻行左室流出道疏通術;行膈肌折疊術 2 例;VSD 殘余分流 2 例,其中 1 例行 VSD 封堵術,1 例行 VSD 修補術;行清創術 1 例;行肺動脈環縮術 1 例;行永久性起搏器植入術 1 例;術后 7 個月余出現再縮窄行矯治術 1 例。
術后再縮窄 10 例,其中 1 例于術后 7 個月余再次行矯治術。
2.2 患兒術前術后一般指標變化
腦鈉肽(brain natriuretic peptide,BNP)在術前即明顯升高,但手術后無明顯變化;CoA段壓差在術后明顯下降,經皮血氧飽和度、C-反應蛋白(C-reactive protein,CRP)、乳酸和肌酐水平在術后明顯上升;見圖 1。

a:BNP 在術前即明顯升高,但手術后無明顯變化(
2.3 死亡病例和存活病例一般臨床資料對比
對死亡組和存活組的臨床資料進行比較,在死亡組中,術前和術后血氧飽和度均較低,而術后即刻 BNP 和 CRP 均較高。此外,術后機械通氣時間更長。術前氣管插管可能更為常見,但差異無統計學意義;見表 3。


3 討論
一般認為,嬰幼兒存在休克、心功能衰竭等癥狀,且保守治療無效;或影像學提示縮窄段直徑≤正常值的 50%,且縮窄段壓差>20 mm Hg,應及時進行手術治療[4]。本團隊早年報道,一期手術矯治 CoA 及其合并的心內畸形,取得良好的治療效果[5-6]。本組病例均在矯治 CoA 時,同期手術處理合并 CA。采用胸骨正中單一切口,術中廣泛切除縮窄段及導管組織,以擴大端側吻合法進行弓部重建。CoA段壓差在術后明顯下降,表明手術有效地解除了主動脈梗阻;見圖 1。
一期根治手術 71 例,一期根治率為 89.9%,在這組病例中,早期死亡率為 5.6%(4/71)。姑息手術 8 例,均在糾正 CoA 同時,行肺動脈環縮術;其中 5 例于術后早期死亡,早期死亡率高達 62.5%(5/8)。肺動脈環縮術作為減少肺血的姑息性手術,可保護肺血管床,為Ⅱ或Ⅲ期根治手術提供機會[7]。但是,肺動脈環縮術風險較高,早期文獻[8]報道,總體的手術死亡率為 24.9%。新近的一項數據顯示,在單心室合并非限制性肺血的患兒中,肺動脈環縮術的在院死亡率已經下降至 4%,然而,當合并遺傳或心外畸形時,會顯著影響遠期生存率[9]。另外,更早期的兩項研究表明,與接受孤立性肺動脈環縮術相比,當同時行主動脈弓修補術時,會顯著影響患兒的遠期存活率及 Fontan 手術的完成率;1 年存活率從 77% 下降至 44%[10];Fontan 手術的完成率由 42% 下降至 8%[11]。我們這組病例的死亡率比較高,一方面是因為同期進行了 CoA 矯治術,另一方面,這些是比較早期(2014 年)的數據。對于接受一期根治手術的患兒,早期和晚期死亡率均較低,結果是令人滿意的。
吻合口再縮窄是 CoA 手術后存在的主要問題。術后主動脈吻合口壓差>20 mm Hg,認為發生再縮窄[3]。我們早期經驗證實,擴大端端吻合法矯治 CoA 及合并畸形效果良好[5]。由于擴大端端或端側吻合法可同時矯治主動脈弓發育不良,目前是我們的首選術式。技術要點是要進行充分游離主動脈弓和三大分支、降主動脈、主肺動脈及左右肺動脈,降低吻合口張力,降低遠期吻合口發生再縮窄的風險。本組隨訪數據顯示,術后再縮窄的發生率為 12.7%,明顯低于最新文獻[3]報道的數據。而且再縮窄病例大多數處于臨界值偏上水平,耐受良好,其中只有 1 例于術后 7 個月余再次行 CoA 矯治術。
血漿 BNP 水平可作為反映先心病患兒合并左心功能受損的敏感指標,與心功能狀態存在明顯相關性[12]。在本研究中,患兒術前即存在明顯的左心功能不全,手術后 BNP 雖有升高趨勢,但差異無統計學意義。此外,患兒術后早期血氧飽和度明顯上升,表明手術后患兒的心肺功能得到明顯改善。由于手術方式復雜、體外循環、低體溫以及手術時間長等諸多因素的影響,復雜先心病術后早期即可出現炎癥激活、乳酸升高和腎功能損害。CRP 是高度敏感的炎癥標志物。研究[13]顯示,CRP 在嬰幼兒先心病術后迅速升高,并在術后 24 h 達到高峰;而且復雜畸形組的 CRP 增幅更加明顯。而術后早期乳酸水平在預測先心病術后早期轉歸方面具有價值,聯合監測血氧飽和度能提升預測轉歸不良的準確性[14]。另外,據文獻[15]報道,先心病嬰幼兒在術后因發生急性腎功能衰竭而需要腹膜透析的比例高達 11.5%,其死亡率是腎功能正常組的 4 倍。在本組病例中,術后早期乳酸、CRP 和肌酐水平均出現明顯上升,然而,這3項指標在大多數病例中的增幅很小,提示患兒在圍術期得到良好的管理。進一步分析發現,與存活組比較,死亡組的術前和術后血氧飽和度均較低,而術后即刻 BNP 和 CRP 均較高;提示血氧飽和度、BNP 和 CRP 跟術后的不良轉歸相關。應該加強圍術期管理,改善氧合,限制 BNP 和 CRP 的升高幅度。
綜上所述,胸骨正中單一切口下,擴大端側吻合術矯治小兒 CoA,并一期處理合并 CA,取得良好的近中期效果。加強患兒的圍術期管理,通過改善氧合并限制 BNP 和 CRP 增幅,有望降低術后死亡率。
利益沖突:無。
作者貢獻:劉湘負責統計分析、論文撰寫;韋慧錦負責數據采集及分析;馬力、鄒明暉、陳偉丹和陳欣欣負責選題和設計;陳欣欣負責論文修改。