引用本文: 朱呈祥, 王偉, 黃陳軍, 李啟凡, 莊宇, 于躍. 38 例胸腺癌的外科治療及預后分析. 中國胸心血管外科臨床雜志, 2019, 26(11): 1092-1097. doi: 10.7507/1007-4848.201904041 復制
胸腺癌是來源于胸腺上皮細胞的惡性腫瘤,臨床上極為罕見[1]。由于胸腺周圍重要的器官較多,以及確診時很多胸腺癌患者已經處于進展期,單純手術很難實現胸腺癌的根治性切除,因此這類患者一般預后較差。本研究回顧性分析我院手術切除且經病理檢查確診的 38 例胸腺癌患者的臨床資料,探討影響胸腺癌患者預后的相關因素。
1 資料與方法
1.1 臨床資料
本研究為回顧性研究。選取我院 2008 年 1 月至 2017 年 12 月收治的胸腺上皮腫瘤(胸腺瘤及胸腺癌)患者 426 例。納入標準:接受手術治療、術后病理依據 2015 年世界衛生組織(WHO)胸腺上皮腫瘤病理分類標準證實為胸腺上皮癌的患者。排除標準:(1)術后病理為非胸腺上皮來源的惡性腫瘤,如類癌、淋巴瘤等;(2)術后 30 d 內死亡患者;(3)術前接受其它抗腫瘤治療,包括放射治療及化學治療;(4)既往有其它惡性腫瘤病史。本研究最終入組 38 例胸腺癌患者。
1.2 治療方法
所有胸腺癌患者術前均接受胸部電子計算機斷層掃描(CT)增強+平掃或縱隔磁共振(MR)檢查,其中 12 例患者術前接受 CT 引導下穿刺細胞學檢查確診為胸腺惡性腫瘤。完善術前常規檢查后,對于腫瘤最大徑<4 cm 且未侵犯周圍重要器官的患者,采用微創手術;腫瘤直徑較大或明顯侵犯周圍重要器官的患者,采用胸骨正中切開術式切除腫瘤。根據術中所見及術后病理,按照 Masaoka-Koga 分期及國際癌癥研究協會(IASLC)和國際胸腺惡性腫瘤興趣小組(ITMIG)第 8 版胸腺瘤 TNM 分期對胸腺癌進行分期。術后除 1 例患者因一般情況較差未接受輔助治療,其余患者均接受進一步治療。其中,放射治療 8 例,化學治療 2 例,放射治療聯合化學治療 25 例,放射治療、化學治療聯合靶向治療 2 例。
1.3 統計學分析
統計分析采用 SPSS 18.0 軟件,總體生存時間為手術至死亡時間或末次隨訪時間。用 Kaplan-Meier 法計算累積生存率,并繪制生存曲線,組間比較采用 log-rank 分析。多因素分析采用的變量進入 Cox 風險比例模型的方法為基于偏最大似然估計的向前逐步回歸法(Forward LR)法,對所有變量進行篩選。P<0.05 為差異有統計學意義。
2 結果
2.1 臨床早期結果
本組患者中,男 25 例、女 13 例,年齡 55(32~84)歲。主訴為胸痛、胸悶 21 例,肌無力(眼肌型)1 例,體檢發現 16 例。14 例行腔鏡下微創手術切除腫瘤,22 例行胸骨正中切口切除腫瘤,另外 2 例因微創手術操作困難轉為開放手術切除腫瘤。所有患者手術均順利完成,中位住院時間為 13.5(9~29)d。
2.2 隨訪結果
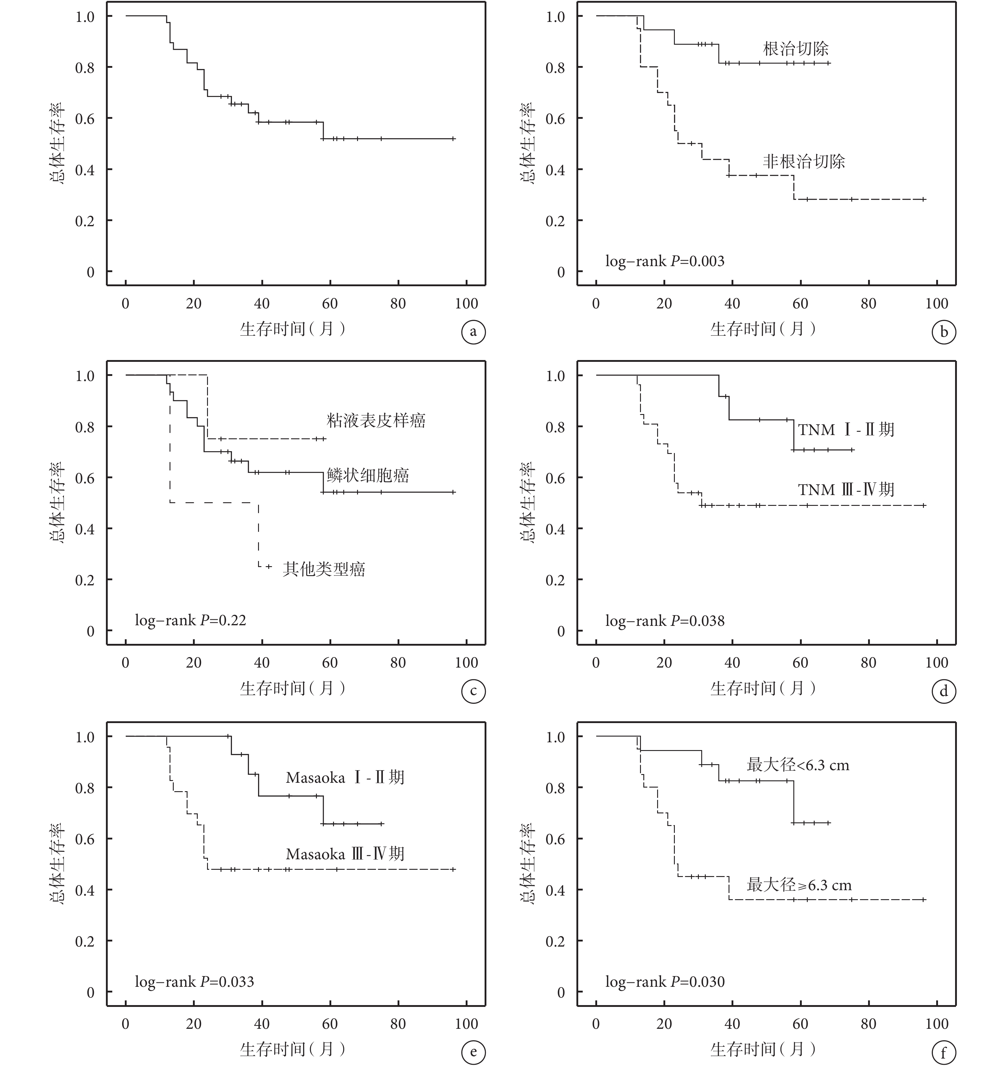
治療完成后通過電話及門診隨訪患者,所有患者均獲隨訪,隨訪截至 2018 年 12 月 31 日。截至隨訪結束,16 例患者死亡,死因均為胸腺癌復發或轉移。本組患者 1、3 和 5 年總體生存率分別為 97.4%、62% 和 51.9%(圖1a)。單因素分析顯示年齡(P=0.890)、性別(P=0.330)與患者總體生存率無關(表1)。

a:本組胸腺癌患者的生存曲線圖;b:(非)根治性切除的胸腺癌患者生存曲線圖;c:不同病理類型的胸腺癌患者生存曲線圖;d:不同 TNM 分期的胸腺癌患者生存曲線圖;e:不同 Masaoka-Koga 分期的胸腺癌患者生存曲線圖;f:不同腫瘤最大徑的胸腺癌患者生存曲線圖

2.2.1 根治性切除與生存的關系
因胸腺癌外侵,38 例患者中,有 16 例患者同時行胸腺癌切除及肺楔形/肺葉切除術,2 例患者同時行肺楔形切除術+上腔靜脈成形/置換術,4 例患者同時行部分心包切除術。此外,有 2 例患者在體外循環條件下行胸腺癌切除術。最終,18 例患者為根治性切除,20 例患者為非根治性切除(顯微鏡下或肉眼有腫瘤殘余,表2)。單因素生存分析顯示根治性切除組患者預后較好(P=0.003,表1),兩組間生存曲線見圖1b。

2.2.2 病理類型與生存的關系
本組患者中,病理類型為鱗狀細胞癌有 30 例,粘液表皮樣癌 4 例,腺癌 2 例,未分化癌 1 例,肉瘤樣癌 1 例。單因素生存分析顯示鱗狀細胞癌、粘液表皮樣癌及其他病理類型患者之間 5 年總體生存率差異無統計學意義(P=0.220,表1),三組間生存曲線比較見圖1c。
2.2.3 TNM 分期與生存的關系
按照 2014 年第8版 IASLC/ITMIG 腫瘤 TNM 分期對胸腺癌進行分期,Ⅰ期 8 例,Ⅱ期 4 例,Ⅲ期 17 例,Ⅳ期 9 例。單因素生存分析顯示Ⅰ、Ⅱ期患者預后優于Ⅲ、Ⅳ期患者(P=0.038,表1),兩組間生存曲線比較見圖1d。
2.2.4 Masaoka-Koga 分期與生存的關系
全部患者中,Masaoka-Koga 分期中Ⅰ期患者 5 例,Ⅱ期 10 例,Ⅲ期 16 例,Ⅳ期 7 例。單因素生存分析顯示Ⅰ、Ⅱ期與Ⅲ、Ⅳ期患者之間 5 年總體生存率差異有統計學意義(P=0.033,表1),兩組間生存曲線比較見圖1e。
2.2.5 腫瘤最大徑與生存的關系
按照術前 CT/MR 影像學檢查測量胸腺癌的最大徑,腫瘤最大徑中位數為 6.3(2.3~13.0)cm。按照中位值將患者分為兩組,單因素生存分析顯示最大徑<6.3 cm 的患者預后較好(P=0.030,表1),兩組間生存曲線比較見圖1f。
2.2.6 多因素生存分析
利用 Cox 風險比例模型對上述所有變量進行篩選,變量進入模型方法為 Forward LR 法。結果顯示,是否根治性切除為唯一影響胸腺癌患者的獨立預后因素(P=0.009,HR:2.31,95%CI 1.23~4.33)。
2.2.7 根治性切除組患者腫瘤分期與生存的關系
我們對接受根治性切除的 18 例患者進行分層分析,研究腫瘤分期與該亞組患者預后的關系。依據 TNM 分期,該亞組包括Ⅰ期 7 例,Ⅱ期 2 例,Ⅲ期 6 例,Ⅳ期 3 例。Kaplan-Meier 生存分析顯示Ⅰ~Ⅱ期與Ⅲ~Ⅳ期患者之間生存差異無統計學意義(P=0.347,圖2a)。依據 Masaoka-Koga 分期,該亞組包括Ⅰ期 5 例,Ⅱ期 6 例,Ⅲ期 4 例,Ⅳ期 3 例。Kaplan-Meier 生存分析顯示Ⅰ~Ⅱ期與Ⅲ~Ⅳ期患者之間生存差異無統計學意義(P=0.212,圖2b)。

a:根治性切除組患者預后與 TNM 分期的關系;b:根治性切除組患者預后與 Masaoka-Koga 分期的關系
3 討論
許多研究均發現根治性切除是影響胸腺癌患者預后的最重要的因素[2-3]。我們的研究也得出相同的結論,多因素生存分析顯示根治性切除是影響胸腺癌患者生存的唯一獨立預后因素。由于胸腺癌起病隱匿,確診時多為中晚期,且胸腺周圍重要的器官較多,容易被腫瘤侵犯導致無法根治性切除。在本研究中,因胸腺癌外侵需要行聯合器官(肺葉、血管、心包等)切除/重建的病例為 57.9%(22/38,表2)。因此,術前影像學檢查對評估能否實行根治性切除至關重要。研究顯示術前 CT 檢查可以幫助有效判斷胸腺腫瘤根治性切除的可能性[4]。通過 CT 圖像上腫瘤與臨床縱隔血管的接觸程度和縱隔脂肪間隙的損失程度,外科醫師可以初步判斷腫瘤是否可以實現根治性切除,從而更好地規劃手術方案。手術治療在胸腺癌治療中占有重要地位,研究發現即使對侵犯重要縱隔器官的中晚期胸腺癌患者,采取手術切除也可以較好地延長其生存時間[5]。
微創手術在胸腺癌患者中的應用效果如何,目前相關研究較少。考慮到充分暴露以保證手術的安全性及切除的徹底性,很多外科醫生認為經胸骨正中切口是胸腺癌的標準手術入路[6]。但是有研究發現早期胸腺癌患者,接受微創手術預后良好[7]。中國胸腺腫瘤研究協作組的大樣本回顧性研究也得出了類似的結論,該研究發現對于 Masaoka-KogaⅠ~Ⅱ期的胸腺惡性腫瘤患者,胸腔鏡手術可以獲得比開放手術更好的圍手術期效果,且兩者的腫瘤學治療效果一致[8]。在本組患者中,接受微創手術的患者多為早期胸腺癌且無明顯外侵患者,考慮到分析微創手術療效可能會造成明顯的偏倚,很難明確究竟是微創手術還是腫瘤早期導致患者生存時間延長,因此我們沒有對微創手術組與開放手術組進行預后對比分析。
雖然早在 2014 年,IASLC/ITMIG 就提出了新的胸腺上皮腫瘤(胸腺瘤及胸腺癌)TNM 分期[9],但是目前臨床上使用較多的仍然是 Masaoka-Koga 分期。該分期系統由 Maosaoka 等[10]在 1981 年提出,并由 Koga 等[11]在 1994 年進行了改良。雖然該分期被廣大胸外科醫師所接受并掌握,但是存在很多不足之處。Masaoka-Koga 分期是由單中心通過回顧性分析不足 100 例胸腺上皮腫瘤病例后得出,因此臨床證據等級較低。而且該分期提出時間較為久遠,外科技術已經有了極大的發展,因此用于指導目前胸腺上皮腫瘤治療及預后評估的權威性不足。
因此,IASLC/ITMIG 在 2014 年完成了一項全球性回顧性研究,以總生存率和復發率為主要研究終點,對 105 個研究機構共 10 808 例胸腺上皮腫瘤患者進行分析,建立了新的 TNM 分期[12]。IASLC/ITMIG 的 TNM 分期系統與 Masaoka-Koga 分期系統之間存在一定差異,研究發現采用 TNM 重分期后會出現降期,Ⅰ期患者數量會有所增加[13-14]。此外,新版 TNM 分期關注到了胸腺癌淋巴結轉移這一因素,將其歸類為獨立的 N 分期(N1:胸腺前淋巴結轉移;N2:胸腔內或頸部淋巴結轉移),而 Masaoka-Koga 分期一般將淋巴結轉移歸為腫瘤擴散到遠處器官。已有很多研究證實淋巴結轉移是影響胸腺癌預后的重要因素之一[15-16]。然而在目前臨床實踐中,外科醫生一般多關注胸腺原發腫瘤的切除,而較少關注區域淋巴結的清掃。國內關于胸腺癌的前瞻性研究顯示,胸腺癌患者淋巴結轉移率約為 25%[16]。我們的結果顯示淋巴結轉移率為 15.8%(6/38),低于該前瞻性研究,這可能與既往手術中沒有重視淋巴結清掃有關。研究發現新版 TNM 分期可以較好地預測胸腺上皮腫瘤患者的無病生存率[14],但是目前采用該 TNM 分期的臨床研究較少,因此需要在臨床實踐中進一步評估其應用價值。我們的結果顯示,新版 TNM 分期與 Masaoka-Koga 分期在單因素生存分析中均可以較好地評估胸腺癌患者的預后,具有重要的預后評估價值。
胸腺癌大小與外侵密切相關,研究發現胸腺腫瘤體積越大,外侵可能性越高[17]。我們的研究也發現腫瘤最大徑越大,患者總體生存率越低。有研究發現 WHO 病理分型與胸腺癌患者預后也有關系[18],但可能由于本組患者大部分(78.9%)為鱗狀細胞癌,我們沒有發現 WHO 病理分型對預后的影響。由于 TNM 分期、Masaoka-Koga 分期、微創手術以及腫瘤最大徑等預后因素之間互有關聯,為了避免混雜因素的干擾,多因素生存分析中我們采用了 Forward LR 法讓這些因素進入 Cox 風險模型進行分析,并最終發現根治性切除是唯一影響胸腺癌患者預后的因素。
中國胸腺瘤協作組發表的數據顯示,接受根治性手術的胸腺腫瘤患者,其預后與 TNM 分期以及 Masaoka-Koga 分期均有相關性[13]。我們對接受根治性切除的患者進行分層分析,結果顯示 TNM 分期以及 Masaoka-Koga 分期與該亞組患者預后無關。這主要是因為進入分析的患者人數較少(18 例),但是生存曲線圖顯示Ⅰ~Ⅱ期與Ⅲ~Ⅳ期的患者有分開的趨勢,需進一步擴大樣本量驗證其結果。
由于胸腺癌患者確診時大部分為中晚期,根治性切除率較低,因此術后輔助治療在胸腺癌治療中具有重要意義。目前認為手術結合術后放射治療是胸腺癌患者的標準治療方案[19]。胸腺癌患者對化學治療一般不敏感,化學治療多采用鉑類為基礎的方案。新的靶向治療也被嘗試用于有敏感驅動基因突變的胸腺癌患者,但其療效仍需要進一步臨床研究評估。
利益沖突:無。
臨床試驗注冊:無。
胸腺癌是來源于胸腺上皮細胞的惡性腫瘤,臨床上極為罕見[1]。由于胸腺周圍重要的器官較多,以及確診時很多胸腺癌患者已經處于進展期,單純手術很難實現胸腺癌的根治性切除,因此這類患者一般預后較差。本研究回顧性分析我院手術切除且經病理檢查確診的 38 例胸腺癌患者的臨床資料,探討影響胸腺癌患者預后的相關因素。
1 資料與方法
1.1 臨床資料
本研究為回顧性研究。選取我院 2008 年 1 月至 2017 年 12 月收治的胸腺上皮腫瘤(胸腺瘤及胸腺癌)患者 426 例。納入標準:接受手術治療、術后病理依據 2015 年世界衛生組織(WHO)胸腺上皮腫瘤病理分類標準證實為胸腺上皮癌的患者。排除標準:(1)術后病理為非胸腺上皮來源的惡性腫瘤,如類癌、淋巴瘤等;(2)術后 30 d 內死亡患者;(3)術前接受其它抗腫瘤治療,包括放射治療及化學治療;(4)既往有其它惡性腫瘤病史。本研究最終入組 38 例胸腺癌患者。
1.2 治療方法
所有胸腺癌患者術前均接受胸部電子計算機斷層掃描(CT)增強+平掃或縱隔磁共振(MR)檢查,其中 12 例患者術前接受 CT 引導下穿刺細胞學檢查確診為胸腺惡性腫瘤。完善術前常規檢查后,對于腫瘤最大徑<4 cm 且未侵犯周圍重要器官的患者,采用微創手術;腫瘤直徑較大或明顯侵犯周圍重要器官的患者,采用胸骨正中切開術式切除腫瘤。根據術中所見及術后病理,按照 Masaoka-Koga 分期及國際癌癥研究協會(IASLC)和國際胸腺惡性腫瘤興趣小組(ITMIG)第 8 版胸腺瘤 TNM 分期對胸腺癌進行分期。術后除 1 例患者因一般情況較差未接受輔助治療,其余患者均接受進一步治療。其中,放射治療 8 例,化學治療 2 例,放射治療聯合化學治療 25 例,放射治療、化學治療聯合靶向治療 2 例。
1.3 統計學分析
統計分析采用 SPSS 18.0 軟件,總體生存時間為手術至死亡時間或末次隨訪時間。用 Kaplan-Meier 法計算累積生存率,并繪制生存曲線,組間比較采用 log-rank 分析。多因素分析采用的變量進入 Cox 風險比例模型的方法為基于偏最大似然估計的向前逐步回歸法(Forward LR)法,對所有變量進行篩選。P<0.05 為差異有統計學意義。
2 結果
2.1 臨床早期結果
本組患者中,男 25 例、女 13 例,年齡 55(32~84)歲。主訴為胸痛、胸悶 21 例,肌無力(眼肌型)1 例,體檢發現 16 例。14 例行腔鏡下微創手術切除腫瘤,22 例行胸骨正中切口切除腫瘤,另外 2 例因微創手術操作困難轉為開放手術切除腫瘤。所有患者手術均順利完成,中位住院時間為 13.5(9~29)d。
2.2 隨訪結果
治療完成后通過電話及門診隨訪患者,所有患者均獲隨訪,隨訪截至 2018 年 12 月 31 日。截至隨訪結束,16 例患者死亡,死因均為胸腺癌復發或轉移。本組患者 1、3 和 5 年總體生存率分別為 97.4%、62% 和 51.9%(圖1a)。單因素分析顯示年齡(P=0.890)、性別(P=0.330)與患者總體生存率無關(表1)。

a:本組胸腺癌患者的生存曲線圖;b:(非)根治性切除的胸腺癌患者生存曲線圖;c:不同病理類型的胸腺癌患者生存曲線圖;d:不同 TNM 分期的胸腺癌患者生存曲線圖;e:不同 Masaoka-Koga 分期的胸腺癌患者生存曲線圖;f:不同腫瘤最大徑的胸腺癌患者生存曲線圖

2.2.1 根治性切除與生存的關系
因胸腺癌外侵,38 例患者中,有 16 例患者同時行胸腺癌切除及肺楔形/肺葉切除術,2 例患者同時行肺楔形切除術+上腔靜脈成形/置換術,4 例患者同時行部分心包切除術。此外,有 2 例患者在體外循環條件下行胸腺癌切除術。最終,18 例患者為根治性切除,20 例患者為非根治性切除(顯微鏡下或肉眼有腫瘤殘余,表2)。單因素生存分析顯示根治性切除組患者預后較好(P=0.003,表1),兩組間生存曲線見圖1b。

2.2.2 病理類型與生存的關系
本組患者中,病理類型為鱗狀細胞癌有 30 例,粘液表皮樣癌 4 例,腺癌 2 例,未分化癌 1 例,肉瘤樣癌 1 例。單因素生存分析顯示鱗狀細胞癌、粘液表皮樣癌及其他病理類型患者之間 5 年總體生存率差異無統計學意義(P=0.220,表1),三組間生存曲線比較見圖1c。
2.2.3 TNM 分期與生存的關系
按照 2014 年第8版 IASLC/ITMIG 腫瘤 TNM 分期對胸腺癌進行分期,Ⅰ期 8 例,Ⅱ期 4 例,Ⅲ期 17 例,Ⅳ期 9 例。單因素生存分析顯示Ⅰ、Ⅱ期患者預后優于Ⅲ、Ⅳ期患者(P=0.038,表1),兩組間生存曲線比較見圖1d。
2.2.4 Masaoka-Koga 分期與生存的關系
全部患者中,Masaoka-Koga 分期中Ⅰ期患者 5 例,Ⅱ期 10 例,Ⅲ期 16 例,Ⅳ期 7 例。單因素生存分析顯示Ⅰ、Ⅱ期與Ⅲ、Ⅳ期患者之間 5 年總體生存率差異有統計學意義(P=0.033,表1),兩組間生存曲線比較見圖1e。
2.2.5 腫瘤最大徑與生存的關系
按照術前 CT/MR 影像學檢查測量胸腺癌的最大徑,腫瘤最大徑中位數為 6.3(2.3~13.0)cm。按照中位值將患者分為兩組,單因素生存分析顯示最大徑<6.3 cm 的患者預后較好(P=0.030,表1),兩組間生存曲線比較見圖1f。
2.2.6 多因素生存分析
利用 Cox 風險比例模型對上述所有變量進行篩選,變量進入模型方法為 Forward LR 法。結果顯示,是否根治性切除為唯一影響胸腺癌患者的獨立預后因素(P=0.009,HR:2.31,95%CI 1.23~4.33)。
2.2.7 根治性切除組患者腫瘤分期與生存的關系
我們對接受根治性切除的 18 例患者進行分層分析,研究腫瘤分期與該亞組患者預后的關系。依據 TNM 分期,該亞組包括Ⅰ期 7 例,Ⅱ期 2 例,Ⅲ期 6 例,Ⅳ期 3 例。Kaplan-Meier 生存分析顯示Ⅰ~Ⅱ期與Ⅲ~Ⅳ期患者之間生存差異無統計學意義(P=0.347,圖2a)。依據 Masaoka-Koga 分期,該亞組包括Ⅰ期 5 例,Ⅱ期 6 例,Ⅲ期 4 例,Ⅳ期 3 例。Kaplan-Meier 生存分析顯示Ⅰ~Ⅱ期與Ⅲ~Ⅳ期患者之間生存差異無統計學意義(P=0.212,圖2b)。

a:根治性切除組患者預后與 TNM 分期的關系;b:根治性切除組患者預后與 Masaoka-Koga 分期的關系
3 討論
許多研究均發現根治性切除是影響胸腺癌患者預后的最重要的因素[2-3]。我們的研究也得出相同的結論,多因素生存分析顯示根治性切除是影響胸腺癌患者生存的唯一獨立預后因素。由于胸腺癌起病隱匿,確診時多為中晚期,且胸腺周圍重要的器官較多,容易被腫瘤侵犯導致無法根治性切除。在本研究中,因胸腺癌外侵需要行聯合器官(肺葉、血管、心包等)切除/重建的病例為 57.9%(22/38,表2)。因此,術前影像學檢查對評估能否實行根治性切除至關重要。研究顯示術前 CT 檢查可以幫助有效判斷胸腺腫瘤根治性切除的可能性[4]。通過 CT 圖像上腫瘤與臨床縱隔血管的接觸程度和縱隔脂肪間隙的損失程度,外科醫師可以初步判斷腫瘤是否可以實現根治性切除,從而更好地規劃手術方案。手術治療在胸腺癌治療中占有重要地位,研究發現即使對侵犯重要縱隔器官的中晚期胸腺癌患者,采取手術切除也可以較好地延長其生存時間[5]。
微創手術在胸腺癌患者中的應用效果如何,目前相關研究較少。考慮到充分暴露以保證手術的安全性及切除的徹底性,很多外科醫生認為經胸骨正中切口是胸腺癌的標準手術入路[6]。但是有研究發現早期胸腺癌患者,接受微創手術預后良好[7]。中國胸腺腫瘤研究協作組的大樣本回顧性研究也得出了類似的結論,該研究發現對于 Masaoka-KogaⅠ~Ⅱ期的胸腺惡性腫瘤患者,胸腔鏡手術可以獲得比開放手術更好的圍手術期效果,且兩者的腫瘤學治療效果一致[8]。在本組患者中,接受微創手術的患者多為早期胸腺癌且無明顯外侵患者,考慮到分析微創手術療效可能會造成明顯的偏倚,很難明確究竟是微創手術還是腫瘤早期導致患者生存時間延長,因此我們沒有對微創手術組與開放手術組進行預后對比分析。
雖然早在 2014 年,IASLC/ITMIG 就提出了新的胸腺上皮腫瘤(胸腺瘤及胸腺癌)TNM 分期[9],但是目前臨床上使用較多的仍然是 Masaoka-Koga 分期。該分期系統由 Maosaoka 等[10]在 1981 年提出,并由 Koga 等[11]在 1994 年進行了改良。雖然該分期被廣大胸外科醫師所接受并掌握,但是存在很多不足之處。Masaoka-Koga 分期是由單中心通過回顧性分析不足 100 例胸腺上皮腫瘤病例后得出,因此臨床證據等級較低。而且該分期提出時間較為久遠,外科技術已經有了極大的發展,因此用于指導目前胸腺上皮腫瘤治療及預后評估的權威性不足。
因此,IASLC/ITMIG 在 2014 年完成了一項全球性回顧性研究,以總生存率和復發率為主要研究終點,對 105 個研究機構共 10 808 例胸腺上皮腫瘤患者進行分析,建立了新的 TNM 分期[12]。IASLC/ITMIG 的 TNM 分期系統與 Masaoka-Koga 分期系統之間存在一定差異,研究發現采用 TNM 重分期后會出現降期,Ⅰ期患者數量會有所增加[13-14]。此外,新版 TNM 分期關注到了胸腺癌淋巴結轉移這一因素,將其歸類為獨立的 N 分期(N1:胸腺前淋巴結轉移;N2:胸腔內或頸部淋巴結轉移),而 Masaoka-Koga 分期一般將淋巴結轉移歸為腫瘤擴散到遠處器官。已有很多研究證實淋巴結轉移是影響胸腺癌預后的重要因素之一[15-16]。然而在目前臨床實踐中,外科醫生一般多關注胸腺原發腫瘤的切除,而較少關注區域淋巴結的清掃。國內關于胸腺癌的前瞻性研究顯示,胸腺癌患者淋巴結轉移率約為 25%[16]。我們的結果顯示淋巴結轉移率為 15.8%(6/38),低于該前瞻性研究,這可能與既往手術中沒有重視淋巴結清掃有關。研究發現新版 TNM 分期可以較好地預測胸腺上皮腫瘤患者的無病生存率[14],但是目前采用該 TNM 分期的臨床研究較少,因此需要在臨床實踐中進一步評估其應用價值。我們的結果顯示,新版 TNM 分期與 Masaoka-Koga 分期在單因素生存分析中均可以較好地評估胸腺癌患者的預后,具有重要的預后評估價值。
胸腺癌大小與外侵密切相關,研究發現胸腺腫瘤體積越大,外侵可能性越高[17]。我們的研究也發現腫瘤最大徑越大,患者總體生存率越低。有研究發現 WHO 病理分型與胸腺癌患者預后也有關系[18],但可能由于本組患者大部分(78.9%)為鱗狀細胞癌,我們沒有發現 WHO 病理分型對預后的影響。由于 TNM 分期、Masaoka-Koga 分期、微創手術以及腫瘤最大徑等預后因素之間互有關聯,為了避免混雜因素的干擾,多因素生存分析中我們采用了 Forward LR 法讓這些因素進入 Cox 風險模型進行分析,并最終發現根治性切除是唯一影響胸腺癌患者預后的因素。
中國胸腺瘤協作組發表的數據顯示,接受根治性手術的胸腺腫瘤患者,其預后與 TNM 分期以及 Masaoka-Koga 分期均有相關性[13]。我們對接受根治性切除的患者進行分層分析,結果顯示 TNM 分期以及 Masaoka-Koga 分期與該亞組患者預后無關。這主要是因為進入分析的患者人數較少(18 例),但是生存曲線圖顯示Ⅰ~Ⅱ期與Ⅲ~Ⅳ期的患者有分開的趨勢,需進一步擴大樣本量驗證其結果。
由于胸腺癌患者確診時大部分為中晚期,根治性切除率較低,因此術后輔助治療在胸腺癌治療中具有重要意義。目前認為手術結合術后放射治療是胸腺癌患者的標準治療方案[19]。胸腺癌患者對化學治療一般不敏感,化學治療多采用鉑類為基礎的方案。新的靶向治療也被嘗試用于有敏感驅動基因突變的胸腺癌患者,但其療效仍需要進一步臨床研究評估。
利益沖突:無。
臨床試驗注冊:無。