引用本文: 移康, 馬龍, 尤濤, 許建國, 侯小東, 王丹, 楊珂欣. MicroRNA-1 對急性心肌梗死診斷價值的系統評價與 Meta 分析. 中國胸心血管外科臨床雜志, 2019, 26(7): 633-641. doi: 10.7507/1007-4848.201810043 復制
?
急性心肌梗死(acute myocardial infarction,AMI)是一種常見的心血管急癥,有研究[1]報道,在西方國家每 6 例死亡患者中就有 1 例 AMI。其發病時常伴有胸痛、惡心、發熱、血清標志物濃度升高等一系列癥狀,如能及早確診并介入治療,對挽救瀕死心肌、改善預后、降低急性期病死率等具有重要意義。近幾年由于 AMI 導致死亡的人數正在下降,部分原因是因為早期的發現和有效的血運重建,包括冠狀動脈旁路移植術和經皮冠狀動脈介入治療[2]。目前臨床廣泛應用作為 AMI 診斷的生化標記物主要包括心肌肌鈣蛋白(cardiac troponin,cTn)、肌酸激酶同工酶(creatine kinase isoenzyme,CK-MB)、肌酸激酶(creatine kinase,CK)。心肌酶 CK、CK-MB 在心肌外組織也有表達,如終末期腎功能衰竭、肌肉相關性疾病等[3]。cTn 在非 AMI 的其他危重疾病患者中也有升高,例如中樞神經系統疾病、敗血癥、非缺血的擴張性心肌病、肺栓塞、肝硬化等[4],這給 AMI 的診斷帶來了一定困難。因此,對尋找敏感性和特異性更高,起峰時間更早的心肌損傷標志物有迫切需要。
近幾年 microRNA(miRNA)因為多樣性以及特異的生理功能,推測其可能成為診斷 AMI 新的生物標志物[5]。MiRNA 是一種小的內源性非編碼 RNA 分子,大約由 21~25 個核苷酸組成,通過促進或抑制 miRNA 靶基因的表達,從而調節細胞的分化、增殖、凋亡、脂質代謝以及多種生物組織的發育過程[6]。miRNA 的表達具有組織特異性和時序特異性,血漿 miRNA 通過與循環血中的脂類及蛋白結合或包被在磷脂封閉的囊泡中[7],具備成為準確、重復性好的血清學生化指標的潛力。
近年有很多關于 miRNA-1 的研究展開。Huang 等[8]發現 miRNA-1 的表達增加與 AMI 缺血后細胞凋亡有關,D'Alessandra 等[9]指出 miRNA-1 可能成為早期診斷 AMI 的潛在生物學標記物,Cheng 等的[10]研究中顯示 miRNA-1 診斷 AMI 的靈敏度偏低。各個研究關于 miRNA-1 診斷 AMI 的敏感度和特異度差別較大。本研究通過系統評價的方法分析 miRNA-1 對 AMI 的診斷價值,評估 miRNA-1 作為 AMI 的生物標志物的可行性。
1 資料與方法
1.1 納入和排除標準
納入標準:(1)研究類型:國內外公開發表的關于 miRNA-1 對 AMI 患者診斷價值的病例對照研究;(2)研究對象:臨床確診為 AMI 的患者(診斷標準?);(3)評價指標:靈敏度、特異度、受試者工作特征(SROC) 曲線下面積,及其 95%CI;(4)不限制年齡、性別及種族;(5)無語言限制。
排除標準:(1)無對照組的研究;(2)非人類的研究;(3)綜述、會議摘要、社論等無實驗數據的文獻;(4)無上述評價指標的文獻。
1.2 檢索策略
以 miRNA-1、microRNA-1、AMI、acute myocardial infarction、myocardial infarction 為檢索詞檢索 PubMed、EMbase、Cochrane Library 數據庫,以 miRNA-1、microRNA-1、AMI、急性心肌梗死為檢索詞檢索萬方數據庫、維普數據庫、中國知網數據庫。檢索時間為每個數據庫建庫至 2018 年 8 月。由 2 名研究者獨立進行檢索,根據納入與排除標準,閱讀文獻的題目和摘要進行刪選,必要時閱讀全文,意見沖突時由第 3 名研究者進行判斷。對所選文獻的參考書目也進行篩選,這些文章可能在最初的檢索中遺漏,并手工檢索文章中引用的參考文獻。若對文獻內容存在疑問,則通過電子郵件向原文研究者索取相關資料,對未獲得回應的文獻給予排除。
1.3 數據提取和質量評價
由 2 名研究者背靠背分別從納入文獻中提取相關數據,包括第一作者、發表年份、樣本大小、敏感度、特異度、真陽性數、假陽性數、真陰性數、假陰性數、曲線下面積(area under the curve,AUC)。根據 QUADAS-2(quality assessment for diagnostic accuracy studies-2,QUADAS-2)[11]的質量評價標準,由 2 名研究者獨立對納入的文獻逐條進行評價。
1.4 統計學分析
采用 MetaDisc1.4 軟件分析 miRNA-1 診斷 AMI 的診斷效能。提取各個研究的真陽性(true positive,TP)、假陽性(false positive,FP)、真陰性(true negative,TN)、假陰性(false negative,FN),miRNA-1 診斷 AMI 的合并靈敏度、特異度、陽性似然比、陰性似然比、診斷比值比、AUC 值通過各個數據匯總得出,用來評估診斷的價值。并繪制受試者工作特征(summary receiver operator characteristic,SROC)曲線,計算 AUC 和 Q 指數。采用 χ2 和 I2 檢驗進行統計學異質性分析,χ2 檢驗各個研究的異質性,I2 檢驗異質性的大小。當 I2>50% 或 P<0.1,表示研究結果之間有異質性,采用隨機效應模型進行合并分析;當 I2<50% 或 P>0.1,表示研究結果之間無異質性,采用固定效應模型進行合并分析。檢驗水準 α=0.05。
2 結果
2.1 文獻檢索基本情況
總共檢出 649 篇相關文章,通過標題、摘要、全文文章刪選后,排除與研究目的無關的、重復的、數據不全的文獻:楊壽娟[12]研究,報道了 miRNA-1 的靈敏度和特異度,沒有描述清楚研究中的人群分組,無法提取四格表;Li 等[13]報道了 6 種 miRNA 診斷 AMI 的總體效能,沒有單獨 miRNA-1 診斷 AMI 的數據;許浩軍的[14]研究中,經兩名研究人員核對,認為它的數據報道有誤。本研究對于這三篇文獻進行了排除。最后剩余 12 篇文獻[15-26]符合所有納入標準,納入 Meta 分析。文獻納入流程見圖 1。納入文獻基線信息見表 1,納入文獻基本特征見表 2、QUADAS-2 質量評價見表 3。質量評價結果顯示:所有納入研究在域 1 病例的選擇和域 2 待評價試驗方面偏移風險程度高,臨床適用性低;在域 3 金標準方面偏移風險程度低,臨床適用性高;在域 4 病例流程和進展情況的偏移風險程度低。






2.2 診斷性能分析
2.2.1 以健康人群為對照
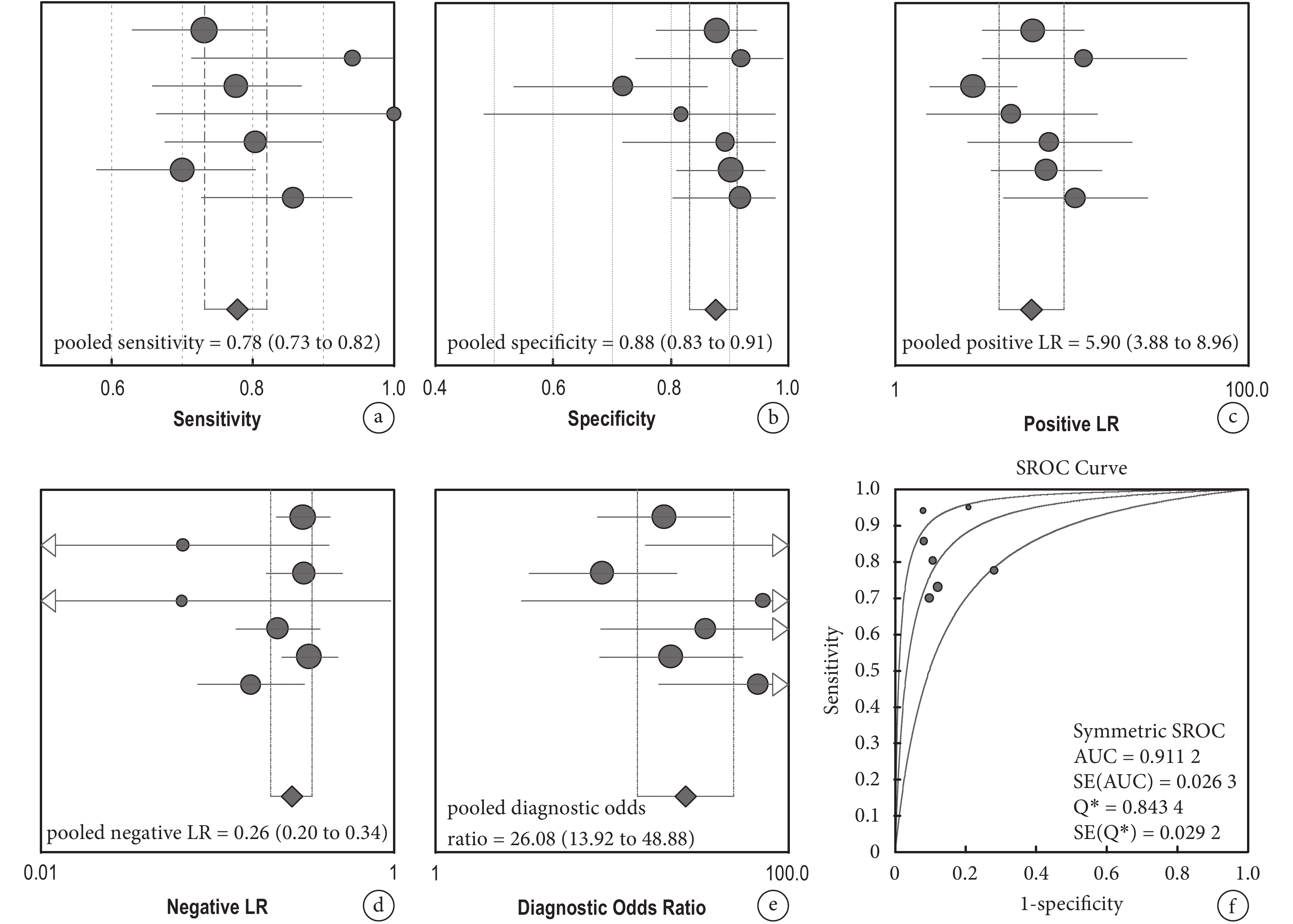
共納入 7 篇文獻[15-20, 26],其中 AMI 組 361 例,健康組 283 例。AMI 與健康人群比較,miRNA-1 診斷 AMI 的合并靈敏度為 0.78(95%CI 0.73~0.82),特異度為 0.88(95%CI 0.83~0.91),陽性似然比為 5.90(95%CI 3.88~8.96),陰性似然比為 0.26(95%CI 0.20~0.34),診斷比值比為 26.08(95%CI 13.92~48.88),SROC 曲線的 AUC 為 0.9122。靈敏度合并圖、特異度合并圖、陽性似然比合并圖、陰性似然比合并圖、診斷比值比合并圖、SROC 曲線見圖 2。

a:靈敏度;b:特異度;c:陽性似然比;d:陰性似然比;e:診斷比值比;f:SROC 曲線
共納入 5 篇文獻[21-25],其中 AMI 組為 441 例,非 AMI 疾病組為 230 例。AMI 與非 AMI 疾患者群比較,合并靈敏度為 0.59(95%CI 0.54~0.64),特異度為 0.74(95%CI 0.68~0.79),陽性似然比為 3.29(95%CI 1.63~6.65),陰性似然比為 0.45(95%CI 0.30~0.68),診斷比值比為 8.39(95%CI 2.51~28.09),SROC 曲線的 AUC 為 0.7432。靈敏度合并圖、特異度合并圖、陽性似然比合并圖、陰性似然比合并圖、診斷比值比合并圖、SROC 曲線圖見圖 3。

a:靈敏度;b:特異度;c:陽性似然比;d:陰性似然比;e:診斷比值比;f:SROC 曲線
2.2.2 以非 AMI 疾病患者群為對照
共納入 12 篇文獻[15-26],其中 AMI 組 802 例,對照組 513 例。miRNA-1 診斷 AMI 的合并靈敏度為 0.67(95%CI 0.64~0.71),特異度為 0.81(95%CI 0.78~0.85),陽性似然比為 4.86(95%CI 2.87~8.24),陰性似然比為 0.32(95%CI 0.23~0.45),診斷比值比為 17.67(95%CI 7.59~41.14),SROC 曲線的 AUC 為 0.8624。靈敏度合并圖、特異度合并圖、陽性似然比合并圖、陰性似然比合并圖、診斷比值比合并圖、SROC 曲線圖見圖 4。

a:靈敏度;b:特異度;c:陽性似然比;d:陰性似然比;e:診斷比值比;f:SROC 曲線
3 討論
AMI 是冠狀動脈急性、持續性缺血缺氧引起的心肌壞死,該病發病急、進展快,是導致充血性心力衰竭的重要原因[27]。cTn 和 CKMB 被認為是最可靠的生物標志物,被廣泛應用于臨床診斷[28]。研究顯示,cTn 和 CKMB 濃度的升高在其他患者中也可被觀察到,例如心肌炎,肺栓塞,充血性心力衰竭,腎功能衰竭,這給 AMI 的診斷帶來了困難[13]。因此發現一個敏感度和特異度高的生物標志物是非常必要的。目前已有許多研究報道了 miRNA 可作為一種新型的診斷 AMI 的生物標志物,本研究通過 Meta 分析的方法來評價 miRNA-1 在 AMI 患者診斷中的臨床價值。
全面檢索后發現已發表 3 篇有關 miRNA-1 診斷 AMI 的 Meta 分析,經本課題研究人員核對,存在一些問題。Cheng 等[10]發表的 miRNA-1 診斷 AMI 的研究,納入文獻[13]的靈敏度與特異度提取有誤:Li 等[13]報道了 6 種 miRNA 診斷 AMI 的總體效能,無單獨 miRNA-1 診斷 AMI 的數據,不應納入。
Liu 等[19]發表的 miRNA-1 診斷 AMI 的研究中納入文獻[13, 15, 17, 18, 22]的靈敏度與特異度數據提取有誤:Li 等[13]報道了 6 種 miRNA 診斷 AMI 的總體效能,沒有單獨 miRNA-1 診斷 AMI 的數據,不應納入;Ai[15]研究中正確靈敏度為 0.73,特異度為 0.88;Li 等 [17]研究中正確靈敏度為 0.78,特異度為 0.72;Long 等[18]研究中正確靈敏度為 0.94;Gidlf 等[22]的研究中正確特異度為 0.60。Liu 等[19]與 Cheng 等[10]這兩篇研究都沒有將健康人群和非 AMI 疾病人群進行亞組分析。
李春雨等[29]發表的 miRNA-1 診斷 AMI 的研究,納入文獻[14, 15, 18-19, 20]的靈敏度與特異度提取有誤:許浩軍[14]研究,經兩名研究人員核對,認為它的數據報道有誤,不應納入;Ai 等[15]研究中正確靈敏度為 0.73,特異度為 0.88;Long 等[18]研究中正確靈敏度為 0.82,特異度為 0.94;Liu 等[19]研究中正確靈敏度為 0.70,特異度為 0.90;Li 等[20]研究中正確靈敏度為 0.80,特異度為 0.89。
本研究共納入 12 篇文獻進行 Meta 分析,結果顯示 miRNA-1 診斷 AMI 的合并靈敏度為 0.67,特異度為 0.81,AUC 為 0.862 4。此外,在本研究中,根據納入研究人群的特點做了亞組分析:AMI 與非 AMI 疾患者群比較,合并靈敏度為 0.59,特異度為 0.74,AUC 為 0.743 2;AMI 與健康人群比較,miRNA-1 診斷 AMI 的合并靈敏度為 0.76,特異度為 0.86,AUC 為 0.912 2,提示血漿 miRNA-1 可作為診斷 AMI 的一項生物指標。cTn 和 CKMB 是目前臨床廣泛應用于診斷 AMI 的生物標志物,但在中樞神經系統疾病、肝硬化、肺栓塞、腎功能衰竭等疾病中其濃度也可升高,給臨床醫師診斷 AMI 帶來困難,考慮到血漿 miRNA-1 表達水平具備心肌細胞特異性及較好的穩定性,與 cTn 和 CKMB 相比,能夠比較好地區分 AMI 與伴隨有其他系統疾病的患者,可與其他生物標志物聯合診斷 AMI,幫助臨床醫師更準確的診斷 AMI。
目前 miRNA-1 在臨床的應用價值中遇到一些挑戰。首先,miRNA-1 對 AMI 的診斷價值低于臨床常用指標 cTn[17],其檢測耗時,費用較昂貴[30];有研究提出,miRNA 在血清和血漿中水平低、易受蛋白質等雜質影響、檢測時標準化方法的選擇不確定,這些因素使 miRNA 不易被準確測量[31]。這些問題都給 miRNA-1 的臨床推廣帶來挑戰,miRNA-1 的價值仍然需要從檢測技術、臨床試驗等多方面探究。
本研究的局限性:所有納入文獻病例的選擇均不連續;3 篇納入文獻[16, 22, 24]未描述納入病例的時間界限;11 篇納入文獻的研究人群在分組前已被診斷為 AMI 或非 AMI 類疾病,未避免病例-對照類研究設計;兩篇納入文獻[21, 23]未詳細描述納入人群疾病的診斷標準;所有納入文獻在 miRNA-1 的檢測前均未對其設定閾值,且檢測的時間點不同或未清楚描述。以上原因可能給病例的選擇、miRNA-1 檢測的實施和解釋帶來偏倚,影響結果的論證強度。需要在未來開展更高質量的臨床隨機對照試驗,以進一步評價 miRNA-1 對 AMI 的診斷價值。
綜上,miRNA-1 對診斷 AMI 具有一定的價值,可幫助鑒別 AMI 患者中有導致 cTn 和 CKMB 數值升高的其他系統疾病,可與其他生物標志物聯合檢測,有助于臨床醫師更準確地診斷 AMI。
利益沖突:無。
?
急性心肌梗死(acute myocardial infarction,AMI)是一種常見的心血管急癥,有研究[1]報道,在西方國家每 6 例死亡患者中就有 1 例 AMI。其發病時常伴有胸痛、惡心、發熱、血清標志物濃度升高等一系列癥狀,如能及早確診并介入治療,對挽救瀕死心肌、改善預后、降低急性期病死率等具有重要意義。近幾年由于 AMI 導致死亡的人數正在下降,部分原因是因為早期的發現和有效的血運重建,包括冠狀動脈旁路移植術和經皮冠狀動脈介入治療[2]。目前臨床廣泛應用作為 AMI 診斷的生化標記物主要包括心肌肌鈣蛋白(cardiac troponin,cTn)、肌酸激酶同工酶(creatine kinase isoenzyme,CK-MB)、肌酸激酶(creatine kinase,CK)。心肌酶 CK、CK-MB 在心肌外組織也有表達,如終末期腎功能衰竭、肌肉相關性疾病等[3]。cTn 在非 AMI 的其他危重疾病患者中也有升高,例如中樞神經系統疾病、敗血癥、非缺血的擴張性心肌病、肺栓塞、肝硬化等[4],這給 AMI 的診斷帶來了一定困難。因此,對尋找敏感性和特異性更高,起峰時間更早的心肌損傷標志物有迫切需要。
近幾年 microRNA(miRNA)因為多樣性以及特異的生理功能,推測其可能成為診斷 AMI 新的生物標志物[5]。MiRNA 是一種小的內源性非編碼 RNA 分子,大約由 21~25 個核苷酸組成,通過促進或抑制 miRNA 靶基因的表達,從而調節細胞的分化、增殖、凋亡、脂質代謝以及多種生物組織的發育過程[6]。miRNA 的表達具有組織特異性和時序特異性,血漿 miRNA 通過與循環血中的脂類及蛋白結合或包被在磷脂封閉的囊泡中[7],具備成為準確、重復性好的血清學生化指標的潛力。
近年有很多關于 miRNA-1 的研究展開。Huang 等[8]發現 miRNA-1 的表達增加與 AMI 缺血后細胞凋亡有關,D'Alessandra 等[9]指出 miRNA-1 可能成為早期診斷 AMI 的潛在生物學標記物,Cheng 等的[10]研究中顯示 miRNA-1 診斷 AMI 的靈敏度偏低。各個研究關于 miRNA-1 診斷 AMI 的敏感度和特異度差別較大。本研究通過系統評價的方法分析 miRNA-1 對 AMI 的診斷價值,評估 miRNA-1 作為 AMI 的生物標志物的可行性。
1 資料與方法
1.1 納入和排除標準
納入標準:(1)研究類型:國內外公開發表的關于 miRNA-1 對 AMI 患者診斷價值的病例對照研究;(2)研究對象:臨床確診為 AMI 的患者(診斷標準?);(3)評價指標:靈敏度、特異度、受試者工作特征(SROC) 曲線下面積,及其 95%CI;(4)不限制年齡、性別及種族;(5)無語言限制。
排除標準:(1)無對照組的研究;(2)非人類的研究;(3)綜述、會議摘要、社論等無實驗數據的文獻;(4)無上述評價指標的文獻。
1.2 檢索策略
以 miRNA-1、microRNA-1、AMI、acute myocardial infarction、myocardial infarction 為檢索詞檢索 PubMed、EMbase、Cochrane Library 數據庫,以 miRNA-1、microRNA-1、AMI、急性心肌梗死為檢索詞檢索萬方數據庫、維普數據庫、中國知網數據庫。檢索時間為每個數據庫建庫至 2018 年 8 月。由 2 名研究者獨立進行檢索,根據納入與排除標準,閱讀文獻的題目和摘要進行刪選,必要時閱讀全文,意見沖突時由第 3 名研究者進行判斷。對所選文獻的參考書目也進行篩選,這些文章可能在最初的檢索中遺漏,并手工檢索文章中引用的參考文獻。若對文獻內容存在疑問,則通過電子郵件向原文研究者索取相關資料,對未獲得回應的文獻給予排除。
1.3 數據提取和質量評價
由 2 名研究者背靠背分別從納入文獻中提取相關數據,包括第一作者、發表年份、樣本大小、敏感度、特異度、真陽性數、假陽性數、真陰性數、假陰性數、曲線下面積(area under the curve,AUC)。根據 QUADAS-2(quality assessment for diagnostic accuracy studies-2,QUADAS-2)[11]的質量評價標準,由 2 名研究者獨立對納入的文獻逐條進行評價。
1.4 統計學分析
采用 MetaDisc1.4 軟件分析 miRNA-1 診斷 AMI 的診斷效能。提取各個研究的真陽性(true positive,TP)、假陽性(false positive,FP)、真陰性(true negative,TN)、假陰性(false negative,FN),miRNA-1 診斷 AMI 的合并靈敏度、特異度、陽性似然比、陰性似然比、診斷比值比、AUC 值通過各個數據匯總得出,用來評估診斷的價值。并繪制受試者工作特征(summary receiver operator characteristic,SROC)曲線,計算 AUC 和 Q 指數。采用 χ2 和 I2 檢驗進行統計學異質性分析,χ2 檢驗各個研究的異質性,I2 檢驗異質性的大小。當 I2>50% 或 P<0.1,表示研究結果之間有異質性,采用隨機效應模型進行合并分析;當 I2<50% 或 P>0.1,表示研究結果之間無異質性,采用固定效應模型進行合并分析。檢驗水準 α=0.05。
2 結果
2.1 文獻檢索基本情況
總共檢出 649 篇相關文章,通過標題、摘要、全文文章刪選后,排除與研究目的無關的、重復的、數據不全的文獻:楊壽娟[12]研究,報道了 miRNA-1 的靈敏度和特異度,沒有描述清楚研究中的人群分組,無法提取四格表;Li 等[13]報道了 6 種 miRNA 診斷 AMI 的總體效能,沒有單獨 miRNA-1 診斷 AMI 的數據;許浩軍的[14]研究中,經兩名研究人員核對,認為它的數據報道有誤。本研究對于這三篇文獻進行了排除。最后剩余 12 篇文獻[15-26]符合所有納入標準,納入 Meta 分析。文獻納入流程見圖 1。納入文獻基線信息見表 1,納入文獻基本特征見表 2、QUADAS-2 質量評價見表 3。質量評價結果顯示:所有納入研究在域 1 病例的選擇和域 2 待評價試驗方面偏移風險程度高,臨床適用性低;在域 3 金標準方面偏移風險程度低,臨床適用性高;在域 4 病例流程和進展情況的偏移風險程度低。






2.2 診斷性能分析
2.2.1 以健康人群為對照
共納入 7 篇文獻[15-20, 26],其中 AMI 組 361 例,健康組 283 例。AMI 與健康人群比較,miRNA-1 診斷 AMI 的合并靈敏度為 0.78(95%CI 0.73~0.82),特異度為 0.88(95%CI 0.83~0.91),陽性似然比為 5.90(95%CI 3.88~8.96),陰性似然比為 0.26(95%CI 0.20~0.34),診斷比值比為 26.08(95%CI 13.92~48.88),SROC 曲線的 AUC 為 0.9122。靈敏度合并圖、特異度合并圖、陽性似然比合并圖、陰性似然比合并圖、診斷比值比合并圖、SROC 曲線見圖 2。

a:靈敏度;b:特異度;c:陽性似然比;d:陰性似然比;e:診斷比值比;f:SROC 曲線
共納入 5 篇文獻[21-25],其中 AMI 組為 441 例,非 AMI 疾病組為 230 例。AMI 與非 AMI 疾患者群比較,合并靈敏度為 0.59(95%CI 0.54~0.64),特異度為 0.74(95%CI 0.68~0.79),陽性似然比為 3.29(95%CI 1.63~6.65),陰性似然比為 0.45(95%CI 0.30~0.68),診斷比值比為 8.39(95%CI 2.51~28.09),SROC 曲線的 AUC 為 0.7432。靈敏度合并圖、特異度合并圖、陽性似然比合并圖、陰性似然比合并圖、診斷比值比合并圖、SROC 曲線圖見圖 3。

a:靈敏度;b:特異度;c:陽性似然比;d:陰性似然比;e:診斷比值比;f:SROC 曲線
2.2.2 以非 AMI 疾病患者群為對照
共納入 12 篇文獻[15-26],其中 AMI 組 802 例,對照組 513 例。miRNA-1 診斷 AMI 的合并靈敏度為 0.67(95%CI 0.64~0.71),特異度為 0.81(95%CI 0.78~0.85),陽性似然比為 4.86(95%CI 2.87~8.24),陰性似然比為 0.32(95%CI 0.23~0.45),診斷比值比為 17.67(95%CI 7.59~41.14),SROC 曲線的 AUC 為 0.8624。靈敏度合并圖、特異度合并圖、陽性似然比合并圖、陰性似然比合并圖、診斷比值比合并圖、SROC 曲線圖見圖 4。

a:靈敏度;b:特異度;c:陽性似然比;d:陰性似然比;e:診斷比值比;f:SROC 曲線
3 討論
AMI 是冠狀動脈急性、持續性缺血缺氧引起的心肌壞死,該病發病急、進展快,是導致充血性心力衰竭的重要原因[27]。cTn 和 CKMB 被認為是最可靠的生物標志物,被廣泛應用于臨床診斷[28]。研究顯示,cTn 和 CKMB 濃度的升高在其他患者中也可被觀察到,例如心肌炎,肺栓塞,充血性心力衰竭,腎功能衰竭,這給 AMI 的診斷帶來了困難[13]。因此發現一個敏感度和特異度高的生物標志物是非常必要的。目前已有許多研究報道了 miRNA 可作為一種新型的診斷 AMI 的生物標志物,本研究通過 Meta 分析的方法來評價 miRNA-1 在 AMI 患者診斷中的臨床價值。
全面檢索后發現已發表 3 篇有關 miRNA-1 診斷 AMI 的 Meta 分析,經本課題研究人員核對,存在一些問題。Cheng 等[10]發表的 miRNA-1 診斷 AMI 的研究,納入文獻[13]的靈敏度與特異度提取有誤:Li 等[13]報道了 6 種 miRNA 診斷 AMI 的總體效能,無單獨 miRNA-1 診斷 AMI 的數據,不應納入。
Liu 等[19]發表的 miRNA-1 診斷 AMI 的研究中納入文獻[13, 15, 17, 18, 22]的靈敏度與特異度數據提取有誤:Li 等[13]報道了 6 種 miRNA 診斷 AMI 的總體效能,沒有單獨 miRNA-1 診斷 AMI 的數據,不應納入;Ai[15]研究中正確靈敏度為 0.73,特異度為 0.88;Li 等 [17]研究中正確靈敏度為 0.78,特異度為 0.72;Long 等[18]研究中正確靈敏度為 0.94;Gidlf 等[22]的研究中正確特異度為 0.60。Liu 等[19]與 Cheng 等[10]這兩篇研究都沒有將健康人群和非 AMI 疾病人群進行亞組分析。
李春雨等[29]發表的 miRNA-1 診斷 AMI 的研究,納入文獻[14, 15, 18-19, 20]的靈敏度與特異度提取有誤:許浩軍[14]研究,經兩名研究人員核對,認為它的數據報道有誤,不應納入;Ai 等[15]研究中正確靈敏度為 0.73,特異度為 0.88;Long 等[18]研究中正確靈敏度為 0.82,特異度為 0.94;Liu 等[19]研究中正確靈敏度為 0.70,特異度為 0.90;Li 等[20]研究中正確靈敏度為 0.80,特異度為 0.89。
本研究共納入 12 篇文獻進行 Meta 分析,結果顯示 miRNA-1 診斷 AMI 的合并靈敏度為 0.67,特異度為 0.81,AUC 為 0.862 4。此外,在本研究中,根據納入研究人群的特點做了亞組分析:AMI 與非 AMI 疾患者群比較,合并靈敏度為 0.59,特異度為 0.74,AUC 為 0.743 2;AMI 與健康人群比較,miRNA-1 診斷 AMI 的合并靈敏度為 0.76,特異度為 0.86,AUC 為 0.912 2,提示血漿 miRNA-1 可作為診斷 AMI 的一項生物指標。cTn 和 CKMB 是目前臨床廣泛應用于診斷 AMI 的生物標志物,但在中樞神經系統疾病、肝硬化、肺栓塞、腎功能衰竭等疾病中其濃度也可升高,給臨床醫師診斷 AMI 帶來困難,考慮到血漿 miRNA-1 表達水平具備心肌細胞特異性及較好的穩定性,與 cTn 和 CKMB 相比,能夠比較好地區分 AMI 與伴隨有其他系統疾病的患者,可與其他生物標志物聯合診斷 AMI,幫助臨床醫師更準確的診斷 AMI。
目前 miRNA-1 在臨床的應用價值中遇到一些挑戰。首先,miRNA-1 對 AMI 的診斷價值低于臨床常用指標 cTn[17],其檢測耗時,費用較昂貴[30];有研究提出,miRNA 在血清和血漿中水平低、易受蛋白質等雜質影響、檢測時標準化方法的選擇不確定,這些因素使 miRNA 不易被準確測量[31]。這些問題都給 miRNA-1 的臨床推廣帶來挑戰,miRNA-1 的價值仍然需要從檢測技術、臨床試驗等多方面探究。
本研究的局限性:所有納入文獻病例的選擇均不連續;3 篇納入文獻[16, 22, 24]未描述納入病例的時間界限;11 篇納入文獻的研究人群在分組前已被診斷為 AMI 或非 AMI 類疾病,未避免病例-對照類研究設計;兩篇納入文獻[21, 23]未詳細描述納入人群疾病的診斷標準;所有納入文獻在 miRNA-1 的檢測前均未對其設定閾值,且檢測的時間點不同或未清楚描述。以上原因可能給病例的選擇、miRNA-1 檢測的實施和解釋帶來偏倚,影響結果的論證強度。需要在未來開展更高質量的臨床隨機對照試驗,以進一步評價 miRNA-1 對 AMI 的診斷價值。
綜上,miRNA-1 對診斷 AMI 具有一定的價值,可幫助鑒別 AMI 患者中有導致 cTn 和 CKMB 數值升高的其他系統疾病,可與其他生物標志物聯合檢測,有助于臨床醫師更準確地診斷 AMI。
利益沖突:無。