引用本文: 錢永軍, 羅通行, 劉英, 肖錫俊. 二尖瓣病變患者血漿賴氨酸氧化酶水平與持續性心房顫動的關系. 中國胸心血管外科臨床雜志, 2015, 22(12): 1117-1121. doi: 10.7507/1007-4848.20150279 復制
心房顫動(atrial fibrillation,AF)是臨床最常見的心律失常之一,約占心律失常患者總數的1/3[1]。AF是目前患者住院的主要原因之一,可引起患者心悸不適、損害心功能、增加血栓形成及血栓栓塞的危險,有較高的致殘率,嚴重影響患者的生活質量[2]。但是,導致AF形成和維持的機制仍然不清楚。有研究表明以心肌纖維化為特征改變的心房結構重構是AF發生和維持的關鍵因素[3]。本團隊前期研究也證實心肌纖維化是心房結構重構最具有代表性特征改變,心肌纖維化程度與AF持續時間相關,也與射頻消融成功率相關[4]。控制心肌纖維化過程的纖維交聯(cross-linking)的信號通路很多,賴氨酸氧化酶(lysyl oxidase,LOX)是控制纖維交聯的重要酶[5]。因此,我們認為LOX可能在AF發生和維持中起重要作用。
AF發生常伴有心臟結構性疾病,二尖瓣病變是較為常見的結構性心臟病之一,在二尖瓣病變患者中約40%~60%伴有持續性AF [6]。為此,我們選擇繼續在二尖瓣病變患者中探討LOX水平與持續性AF的關系。
1 資料與方法
1.1 臨床資料和分組
2012年3月至2014年2月,187例因單純中-重度二尖瓣狹窄或者反流需入住我院行外科手術治療的患者納入本研究。持續性AF定義為AF持續時間至少為3個月[7]。排除標準:伴有其它瓣膜病變需要外科干預,AF持續時間不足定義標準,細菌性心內膜炎,甲狀腺功能異常,高血壓,高脂血癥,冠心病,糖尿病,術前兩周內使用過抗生素、激素抗炎藥物或LOX抑制劑。患者的臨床資料見表 1。

根據心律情況將患者分為竇性心律組(SR組)和AF組。根據二尖瓣病變類型,將AF組進一步分組為二尖瓣狹窄伴AF組(MS+AF組)和二尖瓣反流伴AF組(MR+AF組)。
所有患者均行心臟超聲及心電圖檢查。血液標本從患者入院后第一次外周靜脈抽血獲得,所有患者都簽署加入數據庫并隨訪知情同意書。
1.2 資料收集
所有患者術前進行心電圖、胸部X線片、彩色超聲心動圖等檢查并記錄相關數據。
術前、清晨患者取仰臥位,用乙二胺四乙酸鹽(EDTA)抗凝真空采血管采集每例患者空腹時肘前靜脈血4 ml。在4℃下以3 000轉/分鐘,離心5 min,離心后的標本置于-20℃冰箱保存待測。LOX含量采用人賴氨酸氧化酶ELISA檢測試劑盒測定。
1.3 統計學分析
本研究中計量資料采用均數±標準差(
2 結果
2.1 AF組與SR組臨床資料以及LOX水平分析
在二尖瓣病變患者中有51.87% (97/187)伴有持續性AF。患者的臨床資料見表 1。AF組患者平均年齡高于竇性心律組4.81歲且易伴有左心房血栓(15.46% vs. 4.44%,P<0.05) 。二尖瓣狹窄較二尖瓣反流易伴有持續性AF (60.31% vs. 34.43%,P<0.05)。兩組患者左心房內徑(LAD)差異有統計學意義,同時,AF組的左心室射血分數(LVEF)和左心室短軸縮短率(LVFS)較SR組明顯降低,但是左心室內徑(LVD)、右心室內徑(RVD)及右心房內徑(RAD)的差異均無統計學意義。
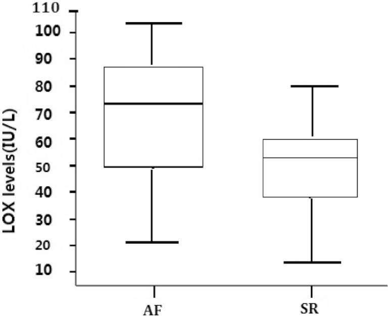
血漿LOX在持續性AF組和SR組表達有明顯差異,AF組血漿LOX水平高于竇性心律組(73.78±25.42 IU/L vs. 51.05±18.96 IU/L,P<0.05);見圖 1。

以組別(SR組=0,AF組=1)為應變量,LOX、LA徑為自變量,做多元logistic 回歸分析顯示:AF與LOX水平(r=0.124,P=0.036)及左心房直徑(r=0.531,P=0.042)有關,結果在上述變量中LOX、LA差異有統計學意義(P<0.05),即LOX水平升高、LA徑的增加與AF有關。見表 2。

2.2 AF組不同二尖瓣病變類型的臨床資料以及LOX水平分析
根MS+AF組和MR+AF組具體的臨床資料以及LOX的水平見表 3。在AF組,在二尖瓣狹窄的患者較易發生左心房血栓(21.05% vs. 9.52%,P<0.05),但其它臨床特征差異無統計學意義。

在AF組中,二尖瓣狹窄組的LOX水平顯著高于二尖瓣反流組[(84.21±32.15) IU/L vs. (59.74±35.21)IU/L,P<0.05],見圖 2。回歸分析顯示,LOX水平是一個獨立的、有效地預測持續性AF的因素(P=0.004)。

3 討論
盡管關于AF的基礎和臨床研究有100多年,但我們并沒有完全了解AF發生及維持機制且不知道如何有效預防及治療。目前AF的治療包括藥物復律、電復律、導管消融和外科手術消融等治療措施,但臨床AF轉復后半年竇性心律維持僅在50%~75%[8-9]。但實際成功率應該更低,因為這種手術效果是在對患者嚴格篩選下進行,一些較大左心房、大量左心房血栓及病情復雜未行AF治療。AF治療成功率與患者及醫生的期待差距仍較大,因此,了解AF的發生機制顯得尤為重要。
二尖瓣病變患者常伴隨持續性AF。文獻報道在一般人群中AF發生率約為0.4%,但是高達40%~60%的二尖瓣病變患者伴有持續性AF [10]。本研究的二尖瓣病變患者中持續性AF的發生率約為51.87%,AF組患者的左心室射血分數(LVEF)和左心室短軸縮短率(LVFS)較SR組患者明顯降低。此外,在AF組患者中,78.35%為二尖瓣狹窄,而二尖瓣反流患者僅為21.65%。不同類型的二尖瓣病變有著不同的AF發生率,相對于二尖瓣反流,二尖瓣狹窄更易伴有持續性AF [4-6]。
眾多研究已經明確心肌纖維化和AF發生和維持關系密切,心房纖維化的結構重構改變是AF復發的物質基礎,而非心房電重構[11]。纖維化隔離心房電傳導,使傳導的各向異性增加,也使不應期的離散度增加,這種電-解剖結構增加AF的可觸發性[11]。纖維化過程是原膠原的N端和羧端前肽被特異的原膠原蛋白水解酶裂解成3個螺旋單體[12]。它們在纖維交聯(cross-linking)作用下最終形成Ⅰ、Ⅲ型膠原而不可逆轉[13]。心肌纖維化程度是可溶性膠原和不可溶性膠原的動態平衡,而這種平衡受到纖維交聯控制。
控制纖維化過程的纖維交聯的信號通路很多,LOX是控制纖維交聯的重要酶。LOX是一種銅依賴性胺氫化酶,由50 kDa前酶在內質網和高爾基體經過翻譯和修飾后分泌到細胞外區域形成30 kDa的具有活性成熟酶[14],是膠原合成后三、四級結構分子內及分子間交聯使膠原纖維成熟的關鍵酶,能使賴氨酸和羥賴氨酸脫氨生成醛賴氨酸與羥醛賴氨酸,后兩者殘基氧化后發生醛醇縮合及醛胺縮合,可導致鄰近鏈交聯形成穩定的膠原纖維[15-16]。
研究顯示,AF時的LOX水平表達明顯高于竇性心律患者,且多元logistic回歸分析結果也提示LOX 表達水平與AF的發生相關。同為AF時,二尖瓣狹窄患者LOX水平表達明顯高于二尖瓣反流患者。LOX水平的差異除了與持續性AF有關系,還與不同類型二尖瓣病變相關。AF時不同病變類型二尖瓣病變LOX水平的明顯差異應該與不同的二尖瓣病變血流動力學不同解釋和二尖瓣反流比較,二尖瓣狹窄中LOX水平作為一個預測持續性AF因素更為強烈。本研究提示在二尖瓣病變中,以LOX為目標的持續性AF治療值得評估,二尖瓣狹窄的可能從LOX治療中獲益更多。
本研究小組在另外一個關于“不同類型二尖瓣病變結構重構不同”研究中證實,AF時患者心肌纖維化程度高于竇性心律且纖維化程度和AF持續時間正相關;而二尖瓣狹窄伴AF患者纖維化程度明顯高于二尖瓣反流伴AF患者[4]。結合這兩個研究,我們有理由相信AF患者中存在LOX表達上調,LOX使不可溶性膠原增多,從而增加心肌纖維化程度,調控心肌纖維化進程,從而最終影響AF的發生和維持。當然,AF的發生和維持與LOX表達關系也同樣存在“雞和蛋”的先后問題。對AF的觸發作用應該是通過纖維交聯對纖維化控制。
總之,二尖瓣病變患者血漿LOX水平升高與AF發生有關。在二尖瓣狹窄伴AF的患者中LOX水平升高更為明顯。本研究探討LOX極有可能是AF心肌纖維化過程中的關鍵因子,調控心肌纖維化進程,而心肌纖維化是誘發AF發生和維持的物質基礎。如能直接拮抗LOX表達,阻斷纖維化過程纖維交聯關鍵步驟,將有助于減少AF的復發,為預防和治療AF提供一個新的靶點和思路。而對于二尖瓣病變患者,二尖瓣狹窄在直接拮抗LOX治療中獲益更大。
心房顫動(atrial fibrillation,AF)是臨床最常見的心律失常之一,約占心律失常患者總數的1/3[1]。AF是目前患者住院的主要原因之一,可引起患者心悸不適、損害心功能、增加血栓形成及血栓栓塞的危險,有較高的致殘率,嚴重影響患者的生活質量[2]。但是,導致AF形成和維持的機制仍然不清楚。有研究表明以心肌纖維化為特征改變的心房結構重構是AF發生和維持的關鍵因素[3]。本團隊前期研究也證實心肌纖維化是心房結構重構最具有代表性特征改變,心肌纖維化程度與AF持續時間相關,也與射頻消融成功率相關[4]。控制心肌纖維化過程的纖維交聯(cross-linking)的信號通路很多,賴氨酸氧化酶(lysyl oxidase,LOX)是控制纖維交聯的重要酶[5]。因此,我們認為LOX可能在AF發生和維持中起重要作用。
AF發生常伴有心臟結構性疾病,二尖瓣病變是較為常見的結構性心臟病之一,在二尖瓣病變患者中約40%~60%伴有持續性AF [6]。為此,我們選擇繼續在二尖瓣病變患者中探討LOX水平與持續性AF的關系。
1 資料與方法
1.1 臨床資料和分組
2012年3月至2014年2月,187例因單純中-重度二尖瓣狹窄或者反流需入住我院行外科手術治療的患者納入本研究。持續性AF定義為AF持續時間至少為3個月[7]。排除標準:伴有其它瓣膜病變需要外科干預,AF持續時間不足定義標準,細菌性心內膜炎,甲狀腺功能異常,高血壓,高脂血癥,冠心病,糖尿病,術前兩周內使用過抗生素、激素抗炎藥物或LOX抑制劑。患者的臨床資料見表 1。

根據心律情況將患者分為竇性心律組(SR組)和AF組。根據二尖瓣病變類型,將AF組進一步分組為二尖瓣狹窄伴AF組(MS+AF組)和二尖瓣反流伴AF組(MR+AF組)。
所有患者均行心臟超聲及心電圖檢查。血液標本從患者入院后第一次外周靜脈抽血獲得,所有患者都簽署加入數據庫并隨訪知情同意書。
1.2 資料收集
所有患者術前進行心電圖、胸部X線片、彩色超聲心動圖等檢查并記錄相關數據。
術前、清晨患者取仰臥位,用乙二胺四乙酸鹽(EDTA)抗凝真空采血管采集每例患者空腹時肘前靜脈血4 ml。在4℃下以3 000轉/分鐘,離心5 min,離心后的標本置于-20℃冰箱保存待測。LOX含量采用人賴氨酸氧化酶ELISA檢測試劑盒測定。
1.3 統計學分析
本研究中計量資料采用均數±標準差(
2 結果
2.1 AF組與SR組臨床資料以及LOX水平分析
在二尖瓣病變患者中有51.87% (97/187)伴有持續性AF。患者的臨床資料見表 1。AF組患者平均年齡高于竇性心律組4.81歲且易伴有左心房血栓(15.46% vs. 4.44%,P<0.05) 。二尖瓣狹窄較二尖瓣反流易伴有持續性AF (60.31% vs. 34.43%,P<0.05)。兩組患者左心房內徑(LAD)差異有統計學意義,同時,AF組的左心室射血分數(LVEF)和左心室短軸縮短率(LVFS)較SR組明顯降低,但是左心室內徑(LVD)、右心室內徑(RVD)及右心房內徑(RAD)的差異均無統計學意義。
血漿LOX在持續性AF組和SR組表達有明顯差異,AF組血漿LOX水平高于竇性心律組(73.78±25.42 IU/L vs. 51.05±18.96 IU/L,P<0.05);見圖 1。

以組別(SR組=0,AF組=1)為應變量,LOX、LA徑為自變量,做多元logistic 回歸分析顯示:AF與LOX水平(r=0.124,P=0.036)及左心房直徑(r=0.531,P=0.042)有關,結果在上述變量中LOX、LA差異有統計學意義(P<0.05),即LOX水平升高、LA徑的增加與AF有關。見表 2。

2.2 AF組不同二尖瓣病變類型的臨床資料以及LOX水平分析
根MS+AF組和MR+AF組具體的臨床資料以及LOX的水平見表 3。在AF組,在二尖瓣狹窄的患者較易發生左心房血栓(21.05% vs. 9.52%,P<0.05),但其它臨床特征差異無統計學意義。

在AF組中,二尖瓣狹窄組的LOX水平顯著高于二尖瓣反流組[(84.21±32.15) IU/L vs. (59.74±35.21)IU/L,P<0.05],見圖 2。回歸分析顯示,LOX水平是一個獨立的、有效地預測持續性AF的因素(P=0.004)。

3 討論
盡管關于AF的基礎和臨床研究有100多年,但我們并沒有完全了解AF發生及維持機制且不知道如何有效預防及治療。目前AF的治療包括藥物復律、電復律、導管消融和外科手術消融等治療措施,但臨床AF轉復后半年竇性心律維持僅在50%~75%[8-9]。但實際成功率應該更低,因為這種手術效果是在對患者嚴格篩選下進行,一些較大左心房、大量左心房血栓及病情復雜未行AF治療。AF治療成功率與患者及醫生的期待差距仍較大,因此,了解AF的發生機制顯得尤為重要。
二尖瓣病變患者常伴隨持續性AF。文獻報道在一般人群中AF發生率約為0.4%,但是高達40%~60%的二尖瓣病變患者伴有持續性AF [10]。本研究的二尖瓣病變患者中持續性AF的發生率約為51.87%,AF組患者的左心室射血分數(LVEF)和左心室短軸縮短率(LVFS)較SR組患者明顯降低。此外,在AF組患者中,78.35%為二尖瓣狹窄,而二尖瓣反流患者僅為21.65%。不同類型的二尖瓣病變有著不同的AF發生率,相對于二尖瓣反流,二尖瓣狹窄更易伴有持續性AF [4-6]。
眾多研究已經明確心肌纖維化和AF發生和維持關系密切,心房纖維化的結構重構改變是AF復發的物質基礎,而非心房電重構[11]。纖維化隔離心房電傳導,使傳導的各向異性增加,也使不應期的離散度增加,這種電-解剖結構增加AF的可觸發性[11]。纖維化過程是原膠原的N端和羧端前肽被特異的原膠原蛋白水解酶裂解成3個螺旋單體[12]。它們在纖維交聯(cross-linking)作用下最終形成Ⅰ、Ⅲ型膠原而不可逆轉[13]。心肌纖維化程度是可溶性膠原和不可溶性膠原的動態平衡,而這種平衡受到纖維交聯控制。
控制纖維化過程的纖維交聯的信號通路很多,LOX是控制纖維交聯的重要酶。LOX是一種銅依賴性胺氫化酶,由50 kDa前酶在內質網和高爾基體經過翻譯和修飾后分泌到細胞外區域形成30 kDa的具有活性成熟酶[14],是膠原合成后三、四級結構分子內及分子間交聯使膠原纖維成熟的關鍵酶,能使賴氨酸和羥賴氨酸脫氨生成醛賴氨酸與羥醛賴氨酸,后兩者殘基氧化后發生醛醇縮合及醛胺縮合,可導致鄰近鏈交聯形成穩定的膠原纖維[15-16]。
研究顯示,AF時的LOX水平表達明顯高于竇性心律患者,且多元logistic回歸分析結果也提示LOX 表達水平與AF的發生相關。同為AF時,二尖瓣狹窄患者LOX水平表達明顯高于二尖瓣反流患者。LOX水平的差異除了與持續性AF有關系,還與不同類型二尖瓣病變相關。AF時不同病變類型二尖瓣病變LOX水平的明顯差異應該與不同的二尖瓣病變血流動力學不同解釋和二尖瓣反流比較,二尖瓣狹窄中LOX水平作為一個預測持續性AF因素更為強烈。本研究提示在二尖瓣病變中,以LOX為目標的持續性AF治療值得評估,二尖瓣狹窄的可能從LOX治療中獲益更多。
本研究小組在另外一個關于“不同類型二尖瓣病變結構重構不同”研究中證實,AF時患者心肌纖維化程度高于竇性心律且纖維化程度和AF持續時間正相關;而二尖瓣狹窄伴AF患者纖維化程度明顯高于二尖瓣反流伴AF患者[4]。結合這兩個研究,我們有理由相信AF患者中存在LOX表達上調,LOX使不可溶性膠原增多,從而增加心肌纖維化程度,調控心肌纖維化進程,從而最終影響AF的發生和維持。當然,AF的發生和維持與LOX表達關系也同樣存在“雞和蛋”的先后問題。對AF的觸發作用應該是通過纖維交聯對纖維化控制。
總之,二尖瓣病變患者血漿LOX水平升高與AF發生有關。在二尖瓣狹窄伴AF的患者中LOX水平升高更為明顯。本研究探討LOX極有可能是AF心肌纖維化過程中的關鍵因子,調控心肌纖維化進程,而心肌纖維化是誘發AF發生和維持的物質基礎。如能直接拮抗LOX表達,阻斷纖維化過程纖維交聯關鍵步驟,將有助于減少AF的復發,為預防和治療AF提供一個新的靶點和思路。而對于二尖瓣病變患者,二尖瓣狹窄在直接拮抗LOX治療中獲益更大。