引用本文: 陳濤, 高紹瑩, 郝藝, 張菲菲, 唐修俊, 魏在榮, 王達利, 祁建平. 人羊膜間充質干細胞外泌體通過微小 RNA-135a促進成纖維細胞遷移實驗研究. 中國修復重建外科雜志, 2020, 34(2): 234-239. doi: 10.7507/1002-1892.201907136 復制
創面愈合是一個復雜過程,需要多個步驟協調,主要分為炎性反應、上皮化和創面收縮、膠原沉積和重塑[1]。雖然創面愈合研究已取得一定進展,但在臨床應用中仍存在諸多問題。已有研究證明,MSCs 可通過分泌細胞因子等促進血管內皮細胞生成,還可通過抗氧化凋亡等多種機制加快創面血管生成,促進難愈性創面愈合[2-4]。多種干細胞培養上清中含有豐富的相關外泌體[5-7]。外泌體通過與細胞融合,把干細胞內的 RNA、蛋白質等生物活性成分傳遞到周圍細胞內發揮作用。微小 RNA(micro RNA,miRNA)是外泌體 RNA 中的主要成分,在研究外泌體功能和機制時受到廣泛關注[8]。人羊膜間充質干細胞外泌體(human amnion mesenchymal stem cell exosome,hAMSC-Exo)可以促進創面愈合。有研究表明,miR-135a 可以促進乳腺癌細胞的遷移能力[9],但目前還沒有關于其對成纖維細胞作用的報道。因此,本文通過研究 hAMSC-Exo miR-135a 對成纖維細胞的作用,初步探討 hAMSC 在創面修復中的作用機制。
1 材料與方法
1.1 主要細胞、試劑及儀器
BJ 人皮膚成纖維細胞(上海生物化學與細胞生物學研究所);hAMSC 由遵義醫學院細胞工程實驗室提供。miR-135a mimic、miR-135a inhibitor(上海吉碼基因技術有限公司);DMEM 培養基、FBS(GIBCO 公司,美國);Lipofectamine 2000、Trizol、外泌體分離試劑盒(Invitrogen 公司,美國);逆轉錄試劑盒、熒光定量 PCR 試劑盒[寶生物工程(大連)有限公司];BCA 蛋白濃度測定試劑盒,Western blot 試劑盒(上海碧云天生物技術有限公司);抗大分子腫瘤抑制因子 2(large tumor suppressor 2,LATS2)抗體、抗 E-鈣黏著蛋白(E-cadherin)抗體、抗 N-cadherin 抗體、抗 α 平滑肌肌動蛋白(α smooth muscle actin,α-SMA)抗體、抗 CD9 抗體、抗 CD63 抗體和抗 CD81 抗體(Abcam 公司,英國);中性鞘磷脂酶抑制劑(GW4869;上海源葉生物科技有限公司)。納米顆粒跟蹤分析儀(Fritsch 公司,德國);透射電鏡(Zeiss 公司,德國)。
1.2 hAMSC-Exos 相關觀測
1.2.1 hAMSC-Exos 提取
取 FBS 以 100 000×g 離心 8 h,去除 FBS 中外泌體,取 hAMSC 和 293T 細胞,用含 10%FBS 的 DMEM 培養基于 37℃、5%CO2 培養箱培養。將 hAMSC 以 1×106 個/瓶接種至培養瓶培養,至長滿 80% 培養瓶時收集 hAMSC 培養上清,300×g 離心 10 min;收集上清液,以 0.22 μm 過濾器過濾去除細胞碎片。取 hAMSC 培養上清,加入總體積 0.5 倍的外泌體提取試劑,用吸管吹打混勻;4℃ 孵育過夜,10 000×g 離心 1 h;棄上清,管底沉淀即為 hAMSC-Exos,用 30 μL 1×PBS 溶液稀釋。BCA 測定外泌體濃度,保存于?80℃ 冰箱,備用。同法提取 293T 細胞外泌體。
1.2.2 hAMSC-Exos 鑒定
透射電鏡觀察 hAMSC-Exos 形態;Western blot 檢測其外泌體表面標志 CD9、CD63 和 CD81 表達,以微管蛋白(α-tubulin)作為參考蛋白,以 hAMSC 作為對照;納米顆粒跟蹤分析儀檢測其粒徑分布。
1.2.3 hAMSC-Exos 促成纖維細胞遷移檢測
用記號筆在 6 孔板背后劃橫線,將 BJ 人皮膚成纖維細胞以 1×106個/皿接種于 35 mm 培養皿中,在無血清 DMEM 培養基中饑餓 12 h。用槍頭比著直尺,盡量垂直于背后的橫線劃痕。PBS 洗細胞 3 次,實驗分為 3 組:A 組用 293T 細胞外泌體 25 μg/mL 刺激 BJ 人皮膚成纖維細胞;B 組用 hAMSC-Exo 25 μg/mL 刺激 BJ 人皮膚成纖維細胞;C 組取 1×106 個/mL hAMSC 接種于細胞培養瓶,加入 10 μmol/L GW4869 后 48 h 提取 hAMSC-Exo,以 25 μg/mL 作用于 BJ 人皮膚成纖維細胞。然后于 37℃、5%CO2 培養箱中培養細胞,分別于 0、24 h 時測量并記錄空白區,采用 Image Pro Plus 6.0 軟件按以下公式計算細胞遷移率:(0 h 空白區-24 h 空白區)/0 h 空白區×100%。
1.3 miR-135a 對成纖維細胞遷移影響的觀測
1.3.1 miR-135a 的過表達和敲減
取 hAMSC 按 1×106 個/孔密度接種于 6 孔板,用含 10%FBS 的 DMEM 培養基培養。次日待細胞密度約為 80% 時,按照試劑盒說明書方法,用 Lipofectamin2000 轉染試劑將 miR-135a mimic 或 miR-135a inhibitor 轉染 hAMSC。采用超速離心法提取相應細胞上清的外泌體,即可獲得過表達以及敲減 miR-135a 的 hAMSC-Exo。
1.3.2 實時熒光定量 PCR(real-time fluorescence quantitative PCR,qRT-PCR)檢測
取 293T 細胞外泌體、hAMSC-Exo 和過表達 miR-135a 的 hAMSC-Exo,分別設為 A1、B1、C1 組,使用逆轉錄試劑盒合成 cDNA,采用 SYBR 綠色 qPCR 法檢測各組 miR-135a 基因表達。反應條件:初始變性 95℃、5 min;95℃、10 s,60℃、30 s,45 個循環。用 2?ΔΔCT 法定量分析 miRNA 和 mRNA 的表達水平,分別以 miR-16-5p 和 GAPDH 作為 miRNA 和 mRNA 的內部參照,檢測 miR-135a 基因相對表達量。所有反應均設 3 個復孔。
1.3.3 hAMSC-Exos 中 miR-135a 促成纖維細胞遷移檢測
同 1.2.3 方法采用細胞劃痕實驗檢測 hAMSC-Exos 中 miR-135a 促成纖維細胞遷移的能力。實驗分為 4 組:A2 組將 25 μg/mL 293T 細胞外泌體作用于 BJ 人皮膚成纖維細胞;B2 組將 25 μg/mL hAMSC-Exo 作用于 BJ 人皮膚成纖維細胞;C2 組用過表達 miR-135a 的 hAMSC 提取 hAMSC-Exo,以 25 μg/mL 作用于 BJ 人皮膚成纖維細胞;D2 組用敲減 miR-135a 的 hAMSC 提取 hAMSC-Exo,以 25 μg/mL 作用于 BJ 人皮膚成纖維細胞。分別于 0、24 h 時測量并記錄空白區,計算并比較各組細胞遷移率。
1.3.4 Western blot 檢測
同 1.3.3 方法分組,分別設為 A3、B3、C3、D3 組,24 h 后提取各組 BJ 人皮膚成纖維細胞總蛋白,采用常規 Western blot 法檢測各組 LATS2、E-cadherin、N-cadherin、α-SMA 表達情況,并用 Image lab 軟件分析各蛋白相對表達量。
1.4 統計學方法
采用 Graphpad Prism 7 統計軟件進行分析。數據以均數±標準差表示,組間比較采用單因素方差分析,兩兩比較采用 LSD 檢驗;檢驗水準 α=0.05。
2 結果
2.1 hAMSC-Exo 相關觀測
2.1.1 形態觀察及鑒定
透射電鏡觀察示,hAMSC-Exo 呈圓形、橢圓形或茶托狀,粒徑為 30~150 nm。Western blot 檢測示,hAMSC-Exo 可見外泌體表面標志 CD9、CD63 和 CD81 呈陽性表達。納米顆粒跟蹤分析儀檢測示,90% hAMSC-Exo 粒徑分布于 30~150 nm 之間,平均粒徑為 103 nm。見圖 1。

a. 透射電鏡觀察(×50 k);b. Western blot 檢測 1:hAMSC-Exo 2:hAMSC;c. 納米顆粒跟蹤分析儀檢測粒徑分布
Figure1. Morphological observation and identification of hAMSC-Exoa. Transmission electron microscope observation (×50 k); b. Western blot analysis 1: hAMSC-Exo 2: hAMSC; c. Particle size distribution detected by Nanoparticle tracking analyzer
2.1.2 hAMSC-Exos 促成纖維細胞遷移檢測
細胞遷移 24 h 時,A、B、C 組細胞遷移率分別為 48.87%±3.29%、84.59%±3.18%、62.55%±4.46%,B、C 組顯著高于 A 組,B 組高于 C 組,差異均有統計學意義(P<0.05)。見圖 2。

上排為 0 h,下排為 24 h a. A 組;b. B 組;c. C 組
Figure2. Scratch test to detect the effect of hAMSC-Exo on the migration of BJ fibroblastsThe upper row for 0 hour and the lower row for 24 hours a. Group A; b. Group B; c. Group C
2.2 miR-135a 對成纖維細胞遷移影響的觀測
2.2.1 qRT-PCR 檢測
A1、B1、C1 組 miR-135a 基因相對表達量分別為 1.03±0.46、4.05±0.61、16.15±0.36,B1、C1 組顯著高于 A1 組,C1 組顯著高于 B1 組,差異均有統計學意義(P<0.05)。
2.2.2 hAMSC-Exos 中 miR-135a 促成纖維細胞遷移檢測
細胞遷移 24 h 時,A2、B2、C2、D2 組細胞遷移率分別為 36.35%±3.02%、64.84%±1.09%、90.50%±6.13%、52.56%±1.92%,B2、C2、D2 組顯著高于 A2 組,B2、C2 組顯著高于 D2 組,C2 組顯著高于 B2 組,差異均有統計學意義(P<0.05)。見圖 3。

上排為 0 h,下排為 24 h a. A2 組;b. B2 組;c. C2 組;d. D2 組
Figure3. Scratch test to detect the effect of miR-135a in hAMSC-Exo on the migration of BJ fibroblastsThe upper row for 0 hour and the lower row for 24 hours a. Group A2; b. Group B2; c. Group C2; d. Group D2
2.2.3 Western blot 檢測
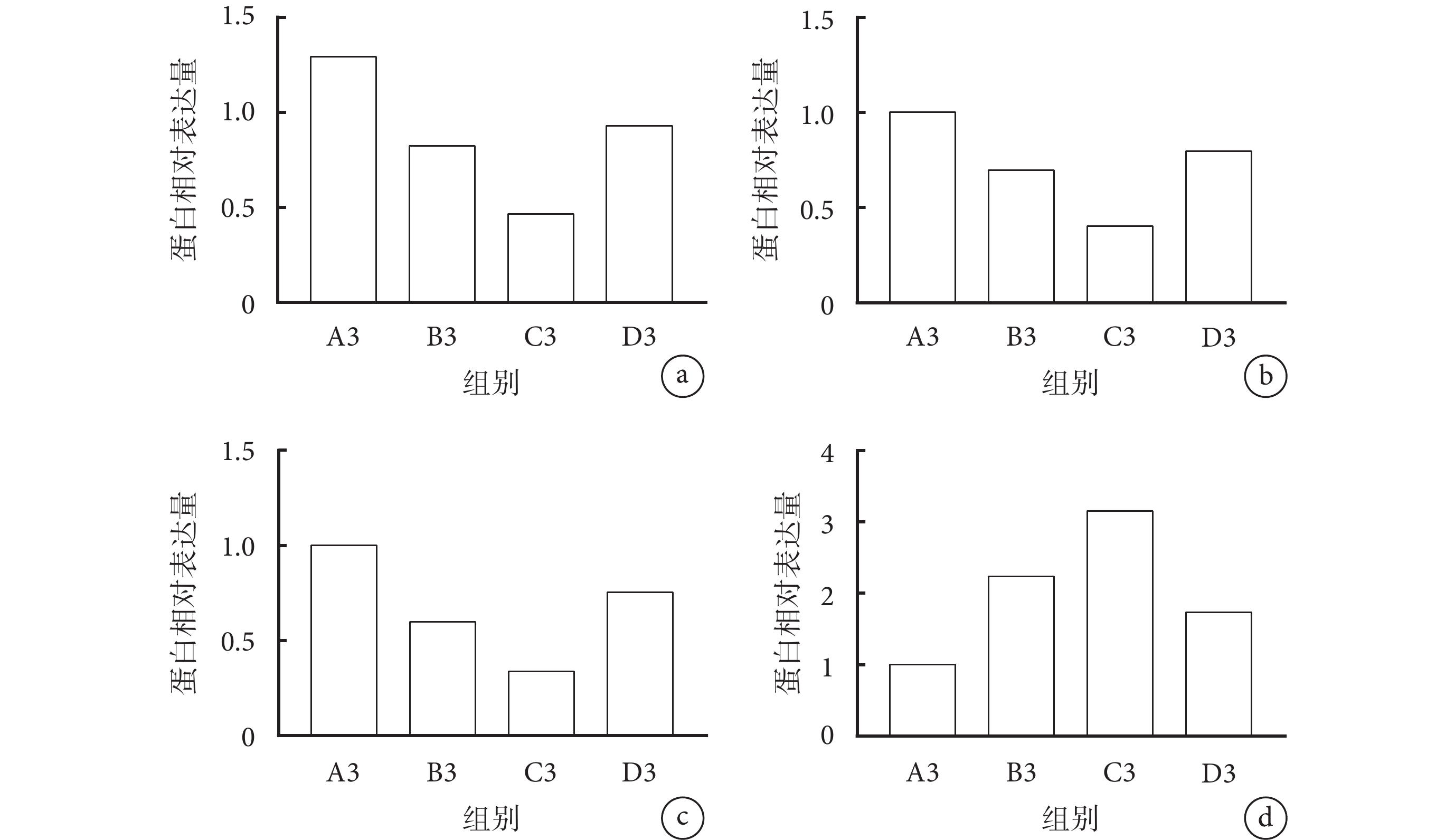
各組外泌體作用于 BJ 人皮膚成纖維細胞 24 h 后,與 A3 組相比,B3、C3、D3 組顯著下調成纖維細胞遷移相關蛋白 E-cadherin、N-cadherin 和 LATS2 的表達水平,上調 α-SMA 的表達水平,其中 C3 組的下調或上調作用最為明顯;D3 組敲減 miR-135a 后,下調或上調上述蛋白的能力減弱。各組間各蛋白相對表達量比較差異均有統計學意義(P<0.05)。見圖 4、5。

1:A3 組 2:B3 組 3:C3 組 4:D3 組
Figure4. The effect of miR-135a on the expressions of migration related proteins in fibroblasts detected by Western blot1: Group A3 2: Group B3 3: Group C3 4: Group D3

a. LATS2;b. E-cadherin;c. N-cadherin;d. α-SMA
Figure5. The relative expressions of migration related proteins in various fibroblasts detected by Western blota. LATS2; b. E-cadherin; c. N-cadherin; d. α-SMA
3 討論
hAMSC 從人羊膜組織中獲得,是目前常用的干細胞治療種子細胞。干細胞通過旁分泌發揮創面修復作用,通過釋放生物活性因子調節細胞增殖和遷移功能。外泌體是由細胞分泌的一類重要旁分泌因子,目前研究發現它們在組織修復和再生中起著主導作用[10]。外泌體也被認為是細胞間通訊介質,細胞通過外泌體發揮分泌和轉移功能蛋白及 miRNA[11]的作用。研究發現 MSCs 的外泌體可以促進創面修復[5-6]。然而hAMSC-Exo 介導創面修復和愈合的分子機制仍不清楚。
疏松結締組織中含有大量成纖維細胞,會產生彈性纖維、膠原纖維和網狀纖維,在創面愈合中扮演重要角色。研究發現,成纖維細胞可以通過分泌細胞外基質促進肉芽組織形成,成纖維細胞內的微絲和微管可以形成骨架,作為創面修復的纖維支架結構[12]。因此,成纖維細胞的增殖和遷移是創面愈合的關鍵。GW4869 是一種中性鞘磷脂酶 2 抑制劑,可以抑制鞘磷脂分解成神經酰胺,而神經酰胺能夠促進多囊小體的腔內小囊泡形成,驅動外泌體的產生。因此,GW4869 可以抑制中性鞘磷脂酶 2 的活性,損害外泌體囊泡出芽,從而抑制外泌體形成。本研究從細胞劃痕實驗可以看出,hAMSC 可以促進成纖維細胞遷移,加入外泌體抑制劑 GW4869 后,其促進成纖維細胞遷移的能力明顯降低,表明 hAMSC-Exo 在成纖維細胞遷移中扮演重要角色。因此,我們需要進一步探索 hAMSC-Exo 在成纖維細胞遷移中的作用機制。
miRNA 是一類短鏈非編碼 RNA,1 個 miRNA 分子可以調控多個靶基因表達,1 個靶基因也可以被多個 miRNA 分子調控。其中一些 miRNA 在創面愈合和纖維化疾病進展中起重要作用[13]。研究發現,miR-203 和 miR-210 分別通過促進角質形成細胞遷移和增殖來促進創面愈合,而 miR-200 家族則通過抑制角質形成細胞遷移來延遲創面愈合[14-16]。而 miR-135a 可以促進肝癌細胞的遷移[17],但其在成纖維細胞遷移中的作用尚不清楚。
本研究采用劃痕實驗檢測過表達和敲減 miR-135a 后 hAMSC-Exo 對成纖維細胞遷移的影響,結果發現與未修飾的 hAMSC-Exo 相比,過表達 miR-135a 后 hAMSC-Exo 促進成纖維細胞遷移的能力最強,敲減 miR-135a 后,hAMSC-Exo 促進成纖維細胞遷移的能力減弱。說明 hAMSC-Exo 中的 miR-135a 可以促進成纖維細胞增殖和遷移。
E-cadherin、N-cadherin、α-SMA 和 LATS2 是常見的成纖維細胞遷移相關蛋白。Cadherin 家族是 Ca2+依賴的細胞黏附素家族,介導細胞之間相互聚集的黏附分子在 Ca2+輔助下抵抗蛋白酶的水解作用。本實驗選擇的 E-cadherin 和 N-cadherin,對細胞在生長發育過程中的選擇性聚集有重要作用[18]。LATS2 過表達可以抑制細胞增殖、遷移和侵襲。α-SMA 是創面愈合纖維化過程中的重要因子。本實驗中 Western blot 檢測結果示,與未修飾的 hAMSC-Exo 相比,過表達 miR-135a 后 hAMSC-Exo 可以明顯抑制成纖維細胞 E-cadherin、N-cadherin 和 LATS2 表達,促進 α-SMA 表達;敲減 miR-135a 后,hAMSC-Exo 抑制成纖維細胞 E-cadherin、N-cadherin 和 LATS2 表達以及促進 α-SMA 表達能力均減弱。說明 hAMSC-Exo 中的 miR-135a 可以抑制 E-cadherin、 N-cadherin 和 LATS2 表達,促進 a-SMA 表達。
綜上述,hAMSC-Exo 可以促進成纖維細胞遷移;miR-135a 在 hAMSC-Exo 促進成纖維細胞遷移過程中發揮關鍵作用,可以下調 E-cadherin、N-cadherin 和 LATS2 表達和上調 α-SMA 表達。hAMSC-Exo 中 miR-135a 的作用靶點及其在創面愈合中的作用機制有待進一步研究。
作者貢獻:陳濤負責文章撰寫;陳濤、高紹瑩負責實驗設計及實施、數據收集整理及統計分析;郝藝、張菲菲、唐修俊負責實驗實施;魏在榮、王達利、祁建平對文章的知識性內容作批評性審閱。
利益沖突:所有作者聲明,在課題研究和文章撰寫過程中不存在利益沖突。課題經費支持沒有影響文章觀點和對研究數據客觀結果的統計分析及其報道。
創面愈合是一個復雜過程,需要多個步驟協調,主要分為炎性反應、上皮化和創面收縮、膠原沉積和重塑[1]。雖然創面愈合研究已取得一定進展,但在臨床應用中仍存在諸多問題。已有研究證明,MSCs 可通過分泌細胞因子等促進血管內皮細胞生成,還可通過抗氧化凋亡等多種機制加快創面血管生成,促進難愈性創面愈合[2-4]。多種干細胞培養上清中含有豐富的相關外泌體[5-7]。外泌體通過與細胞融合,把干細胞內的 RNA、蛋白質等生物活性成分傳遞到周圍細胞內發揮作用。微小 RNA(micro RNA,miRNA)是外泌體 RNA 中的主要成分,在研究外泌體功能和機制時受到廣泛關注[8]。人羊膜間充質干細胞外泌體(human amnion mesenchymal stem cell exosome,hAMSC-Exo)可以促進創面愈合。有研究表明,miR-135a 可以促進乳腺癌細胞的遷移能力[9],但目前還沒有關于其對成纖維細胞作用的報道。因此,本文通過研究 hAMSC-Exo miR-135a 對成纖維細胞的作用,初步探討 hAMSC 在創面修復中的作用機制。
1 材料與方法
1.1 主要細胞、試劑及儀器
BJ 人皮膚成纖維細胞(上海生物化學與細胞生物學研究所);hAMSC 由遵義醫學院細胞工程實驗室提供。miR-135a mimic、miR-135a inhibitor(上海吉碼基因技術有限公司);DMEM 培養基、FBS(GIBCO 公司,美國);Lipofectamine 2000、Trizol、外泌體分離試劑盒(Invitrogen 公司,美國);逆轉錄試劑盒、熒光定量 PCR 試劑盒[寶生物工程(大連)有限公司];BCA 蛋白濃度測定試劑盒,Western blot 試劑盒(上海碧云天生物技術有限公司);抗大分子腫瘤抑制因子 2(large tumor suppressor 2,LATS2)抗體、抗 E-鈣黏著蛋白(E-cadherin)抗體、抗 N-cadherin 抗體、抗 α 平滑肌肌動蛋白(α smooth muscle actin,α-SMA)抗體、抗 CD9 抗體、抗 CD63 抗體和抗 CD81 抗體(Abcam 公司,英國);中性鞘磷脂酶抑制劑(GW4869;上海源葉生物科技有限公司)。納米顆粒跟蹤分析儀(Fritsch 公司,德國);透射電鏡(Zeiss 公司,德國)。
1.2 hAMSC-Exos 相關觀測
1.2.1 hAMSC-Exos 提取
取 FBS 以 100 000×g 離心 8 h,去除 FBS 中外泌體,取 hAMSC 和 293T 細胞,用含 10%FBS 的 DMEM 培養基于 37℃、5%CO2 培養箱培養。將 hAMSC 以 1×106 個/瓶接種至培養瓶培養,至長滿 80% 培養瓶時收集 hAMSC 培養上清,300×g 離心 10 min;收集上清液,以 0.22 μm 過濾器過濾去除細胞碎片。取 hAMSC 培養上清,加入總體積 0.5 倍的外泌體提取試劑,用吸管吹打混勻;4℃ 孵育過夜,10 000×g 離心 1 h;棄上清,管底沉淀即為 hAMSC-Exos,用 30 μL 1×PBS 溶液稀釋。BCA 測定外泌體濃度,保存于?80℃ 冰箱,備用。同法提取 293T 細胞外泌體。
1.2.2 hAMSC-Exos 鑒定
透射電鏡觀察 hAMSC-Exos 形態;Western blot 檢測其外泌體表面標志 CD9、CD63 和 CD81 表達,以微管蛋白(α-tubulin)作為參考蛋白,以 hAMSC 作為對照;納米顆粒跟蹤分析儀檢測其粒徑分布。
1.2.3 hAMSC-Exos 促成纖維細胞遷移檢測
用記號筆在 6 孔板背后劃橫線,將 BJ 人皮膚成纖維細胞以 1×106個/皿接種于 35 mm 培養皿中,在無血清 DMEM 培養基中饑餓 12 h。用槍頭比著直尺,盡量垂直于背后的橫線劃痕。PBS 洗細胞 3 次,實驗分為 3 組:A 組用 293T 細胞外泌體 25 μg/mL 刺激 BJ 人皮膚成纖維細胞;B 組用 hAMSC-Exo 25 μg/mL 刺激 BJ 人皮膚成纖維細胞;C 組取 1×106 個/mL hAMSC 接種于細胞培養瓶,加入 10 μmol/L GW4869 后 48 h 提取 hAMSC-Exo,以 25 μg/mL 作用于 BJ 人皮膚成纖維細胞。然后于 37℃、5%CO2 培養箱中培養細胞,分別于 0、24 h 時測量并記錄空白區,采用 Image Pro Plus 6.0 軟件按以下公式計算細胞遷移率:(0 h 空白區-24 h 空白區)/0 h 空白區×100%。
1.3 miR-135a 對成纖維細胞遷移影響的觀測
1.3.1 miR-135a 的過表達和敲減
取 hAMSC 按 1×106 個/孔密度接種于 6 孔板,用含 10%FBS 的 DMEM 培養基培養。次日待細胞密度約為 80% 時,按照試劑盒說明書方法,用 Lipofectamin2000 轉染試劑將 miR-135a mimic 或 miR-135a inhibitor 轉染 hAMSC。采用超速離心法提取相應細胞上清的外泌體,即可獲得過表達以及敲減 miR-135a 的 hAMSC-Exo。
1.3.2 實時熒光定量 PCR(real-time fluorescence quantitative PCR,qRT-PCR)檢測
取 293T 細胞外泌體、hAMSC-Exo 和過表達 miR-135a 的 hAMSC-Exo,分別設為 A1、B1、C1 組,使用逆轉錄試劑盒合成 cDNA,采用 SYBR 綠色 qPCR 法檢測各組 miR-135a 基因表達。反應條件:初始變性 95℃、5 min;95℃、10 s,60℃、30 s,45 個循環。用 2?ΔΔCT 法定量分析 miRNA 和 mRNA 的表達水平,分別以 miR-16-5p 和 GAPDH 作為 miRNA 和 mRNA 的內部參照,檢測 miR-135a 基因相對表達量。所有反應均設 3 個復孔。
1.3.3 hAMSC-Exos 中 miR-135a 促成纖維細胞遷移檢測
同 1.2.3 方法采用細胞劃痕實驗檢測 hAMSC-Exos 中 miR-135a 促成纖維細胞遷移的能力。實驗分為 4 組:A2 組將 25 μg/mL 293T 細胞外泌體作用于 BJ 人皮膚成纖維細胞;B2 組將 25 μg/mL hAMSC-Exo 作用于 BJ 人皮膚成纖維細胞;C2 組用過表達 miR-135a 的 hAMSC 提取 hAMSC-Exo,以 25 μg/mL 作用于 BJ 人皮膚成纖維細胞;D2 組用敲減 miR-135a 的 hAMSC 提取 hAMSC-Exo,以 25 μg/mL 作用于 BJ 人皮膚成纖維細胞。分別于 0、24 h 時測量并記錄空白區,計算并比較各組細胞遷移率。
1.3.4 Western blot 檢測
同 1.3.3 方法分組,分別設為 A3、B3、C3、D3 組,24 h 后提取各組 BJ 人皮膚成纖維細胞總蛋白,采用常規 Western blot 法檢測各組 LATS2、E-cadherin、N-cadherin、α-SMA 表達情況,并用 Image lab 軟件分析各蛋白相對表達量。
1.4 統計學方法
采用 Graphpad Prism 7 統計軟件進行分析。數據以均數±標準差表示,組間比較采用單因素方差分析,兩兩比較采用 LSD 檢驗;檢驗水準 α=0.05。
2 結果
2.1 hAMSC-Exo 相關觀測
2.1.1 形態觀察及鑒定
透射電鏡觀察示,hAMSC-Exo 呈圓形、橢圓形或茶托狀,粒徑為 30~150 nm。Western blot 檢測示,hAMSC-Exo 可見外泌體表面標志 CD9、CD63 和 CD81 呈陽性表達。納米顆粒跟蹤分析儀檢測示,90% hAMSC-Exo 粒徑分布于 30~150 nm 之間,平均粒徑為 103 nm。見圖 1。

a. 透射電鏡觀察(×50 k);b. Western blot 檢測 1:hAMSC-Exo 2:hAMSC;c. 納米顆粒跟蹤分析儀檢測粒徑分布
Figure1. Morphological observation and identification of hAMSC-Exoa. Transmission electron microscope observation (×50 k); b. Western blot analysis 1: hAMSC-Exo 2: hAMSC; c. Particle size distribution detected by Nanoparticle tracking analyzer
2.1.2 hAMSC-Exos 促成纖維細胞遷移檢測
細胞遷移 24 h 時,A、B、C 組細胞遷移率分別為 48.87%±3.29%、84.59%±3.18%、62.55%±4.46%,B、C 組顯著高于 A 組,B 組高于 C 組,差異均有統計學意義(P<0.05)。見圖 2。

上排為 0 h,下排為 24 h a. A 組;b. B 組;c. C 組
Figure2. Scratch test to detect the effect of hAMSC-Exo on the migration of BJ fibroblastsThe upper row for 0 hour and the lower row for 24 hours a. Group A; b. Group B; c. Group C
2.2 miR-135a 對成纖維細胞遷移影響的觀測
2.2.1 qRT-PCR 檢測
A1、B1、C1 組 miR-135a 基因相對表達量分別為 1.03±0.46、4.05±0.61、16.15±0.36,B1、C1 組顯著高于 A1 組,C1 組顯著高于 B1 組,差異均有統計學意義(P<0.05)。
2.2.2 hAMSC-Exos 中 miR-135a 促成纖維細胞遷移檢測
細胞遷移 24 h 時,A2、B2、C2、D2 組細胞遷移率分別為 36.35%±3.02%、64.84%±1.09%、90.50%±6.13%、52.56%±1.92%,B2、C2、D2 組顯著高于 A2 組,B2、C2 組顯著高于 D2 組,C2 組顯著高于 B2 組,差異均有統計學意義(P<0.05)。見圖 3。

上排為 0 h,下排為 24 h a. A2 組;b. B2 組;c. C2 組;d. D2 組
Figure3. Scratch test to detect the effect of miR-135a in hAMSC-Exo on the migration of BJ fibroblastsThe upper row for 0 hour and the lower row for 24 hours a. Group A2; b. Group B2; c. Group C2; d. Group D2
2.2.3 Western blot 檢測
各組外泌體作用于 BJ 人皮膚成纖維細胞 24 h 后,與 A3 組相比,B3、C3、D3 組顯著下調成纖維細胞遷移相關蛋白 E-cadherin、N-cadherin 和 LATS2 的表達水平,上調 α-SMA 的表達水平,其中 C3 組的下調或上調作用最為明顯;D3 組敲減 miR-135a 后,下調或上調上述蛋白的能力減弱。各組間各蛋白相對表達量比較差異均有統計學意義(P<0.05)。見圖 4、5。

1:A3 組 2:B3 組 3:C3 組 4:D3 組
Figure4. The effect of miR-135a on the expressions of migration related proteins in fibroblasts detected by Western blot1: Group A3 2: Group B3 3: Group C3 4: Group D3

a. LATS2;b. E-cadherin;c. N-cadherin;d. α-SMA
Figure5. The relative expressions of migration related proteins in various fibroblasts detected by Western blota. LATS2; b. E-cadherin; c. N-cadherin; d. α-SMA
3 討論
hAMSC 從人羊膜組織中獲得,是目前常用的干細胞治療種子細胞。干細胞通過旁分泌發揮創面修復作用,通過釋放生物活性因子調節細胞增殖和遷移功能。外泌體是由細胞分泌的一類重要旁分泌因子,目前研究發現它們在組織修復和再生中起著主導作用[10]。外泌體也被認為是細胞間通訊介質,細胞通過外泌體發揮分泌和轉移功能蛋白及 miRNA[11]的作用。研究發現 MSCs 的外泌體可以促進創面修復[5-6]。然而hAMSC-Exo 介導創面修復和愈合的分子機制仍不清楚。
疏松結締組織中含有大量成纖維細胞,會產生彈性纖維、膠原纖維和網狀纖維,在創面愈合中扮演重要角色。研究發現,成纖維細胞可以通過分泌細胞外基質促進肉芽組織形成,成纖維細胞內的微絲和微管可以形成骨架,作為創面修復的纖維支架結構[12]。因此,成纖維細胞的增殖和遷移是創面愈合的關鍵。GW4869 是一種中性鞘磷脂酶 2 抑制劑,可以抑制鞘磷脂分解成神經酰胺,而神經酰胺能夠促進多囊小體的腔內小囊泡形成,驅動外泌體的產生。因此,GW4869 可以抑制中性鞘磷脂酶 2 的活性,損害外泌體囊泡出芽,從而抑制外泌體形成。本研究從細胞劃痕實驗可以看出,hAMSC 可以促進成纖維細胞遷移,加入外泌體抑制劑 GW4869 后,其促進成纖維細胞遷移的能力明顯降低,表明 hAMSC-Exo 在成纖維細胞遷移中扮演重要角色。因此,我們需要進一步探索 hAMSC-Exo 在成纖維細胞遷移中的作用機制。
miRNA 是一類短鏈非編碼 RNA,1 個 miRNA 分子可以調控多個靶基因表達,1 個靶基因也可以被多個 miRNA 分子調控。其中一些 miRNA 在創面愈合和纖維化疾病進展中起重要作用[13]。研究發現,miR-203 和 miR-210 分別通過促進角質形成細胞遷移和增殖來促進創面愈合,而 miR-200 家族則通過抑制角質形成細胞遷移來延遲創面愈合[14-16]。而 miR-135a 可以促進肝癌細胞的遷移[17],但其在成纖維細胞遷移中的作用尚不清楚。
本研究采用劃痕實驗檢測過表達和敲減 miR-135a 后 hAMSC-Exo 對成纖維細胞遷移的影響,結果發現與未修飾的 hAMSC-Exo 相比,過表達 miR-135a 后 hAMSC-Exo 促進成纖維細胞遷移的能力最強,敲減 miR-135a 后,hAMSC-Exo 促進成纖維細胞遷移的能力減弱。說明 hAMSC-Exo 中的 miR-135a 可以促進成纖維細胞增殖和遷移。
E-cadherin、N-cadherin、α-SMA 和 LATS2 是常見的成纖維細胞遷移相關蛋白。Cadherin 家族是 Ca2+依賴的細胞黏附素家族,介導細胞之間相互聚集的黏附分子在 Ca2+輔助下抵抗蛋白酶的水解作用。本實驗選擇的 E-cadherin 和 N-cadherin,對細胞在生長發育過程中的選擇性聚集有重要作用[18]。LATS2 過表達可以抑制細胞增殖、遷移和侵襲。α-SMA 是創面愈合纖維化過程中的重要因子。本實驗中 Western blot 檢測結果示,與未修飾的 hAMSC-Exo 相比,過表達 miR-135a 后 hAMSC-Exo 可以明顯抑制成纖維細胞 E-cadherin、N-cadherin 和 LATS2 表達,促進 α-SMA 表達;敲減 miR-135a 后,hAMSC-Exo 抑制成纖維細胞 E-cadherin、N-cadherin 和 LATS2 表達以及促進 α-SMA 表達能力均減弱。說明 hAMSC-Exo 中的 miR-135a 可以抑制 E-cadherin、 N-cadherin 和 LATS2 表達,促進 a-SMA 表達。
綜上述,hAMSC-Exo 可以促進成纖維細胞遷移;miR-135a 在 hAMSC-Exo 促進成纖維細胞遷移過程中發揮關鍵作用,可以下調 E-cadherin、N-cadherin 和 LATS2 表達和上調 α-SMA 表達。hAMSC-Exo 中 miR-135a 的作用靶點及其在創面愈合中的作用機制有待進一步研究。
作者貢獻:陳濤負責文章撰寫;陳濤、高紹瑩負責實驗設計及實施、數據收集整理及統計分析;郝藝、張菲菲、唐修俊負責實驗實施;魏在榮、王達利、祁建平對文章的知識性內容作批評性審閱。
利益沖突:所有作者聲明,在課題研究和文章撰寫過程中不存在利益沖突。課題經費支持沒有影響文章觀點和對研究數據客觀結果的統計分析及其報道。