引用本文: 劉毅, 張承昊, 范青洪, 孫鵬鵬, 吳術紅. TGF-β1和bFGF-1對單層共培養BMSCs和韌帶成纖維細胞韌帶特異性的影響. 中國修復重建外科雜志, 2014, 28(11): 1406-1412. doi: 10.7507/1002-1892.20140304 復制
研究表明,韌帶成纖維細胞(ligament fibroblasts,LFs)和BMSCs均具有成為韌帶組織工程種子細胞的特性,通過誘導可以加強韌帶特異性分化[1-4]。將LFs與BMSCs間接共培養后,通過LFs分泌的多種韌帶相關蛋白和因子,可誘導BMSCs向韌帶特異性分化[5-8]。但間接共培養系統在活體內難以建立,并且未充分發揮LFs的誘導作用。既往研究表明,通過單層共培養也可發揮成熟體細胞對其他細胞的誘導作用[9-11]。因此,本實驗通過將LFs和BMSCs單層共培養,比較經生長因子TGF-β1和bFGF-1誘導后細胞活性及韌帶特異性的變化,以期獲得更符合韌帶組織工程要求的細胞來源。
1 材料與方法
1.1 實驗動物及主要試劑、儀器
清潔級3月齡SD大鼠12只,雌雄不限,體重200~250 g,由第三軍醫大學實驗動物中心提供。實驗每次取4只大鼠,共重復3次。
L-DMEM培養液、H-DMEM培養液(GIBCO公司,美國);大鼠TGF-β1、大鼠bFGF-1(上海基因生物技術有限公司);大鼠Ⅰ、Ⅲ型膠原蛋白ELISA試劑盒(上海銘睿生物科技有限公司);RNAisoPlus、實時熒光定量PCR試劑盒、SYBR?Premix Ex TaqtTM(大連TaKaRa公司)。FACS Calibur流式細胞儀(Becton Dickinson公司,美國);倒置相差顯微鏡(Nikon公司,日本);ND-1000核酸蛋白定量儀(NanoDrop公司,美國);ICyeleriQS熒光定量PCR儀(Bio-Rad公司,美國)。
1.2 大鼠BMSCs分離、培養及鑒定
采用密度梯度離心法結合貼壁法分離培養BMSCs。取2只SD大鼠,無菌條件下分離股骨及脛骨,咬骨鉗咬除股骨或脛骨兩端,L-DMEM培養液沖洗骨髓腔,收集骨髓細胞懸液,以離心半徑20 cm、1?000?r/?min離心10 min后棄上清;加在Percoll分離液上層,以離心半徑20 cm、2 000 r/min離心15 min后收集界面層細胞,PBS離心(以離心半徑20 cm、1?000?r/?min離心5 min)洗滌2次后,以4×104個/?cm2密度接種至12.5 cm2培養瓶中。置于37℃、5%CO2培養箱中培養,3 d后首次換液,2、3?d換液1次。待細胞融合達90%以上開始消化傳代。流式細胞術檢測第3代BMSCs表面抗原CD29、CD73、CD90、CD105、CD14、CD19、CD34、CD45的表達。
1.3 大鼠LFs分離、培養及鑒定
采用膠原酶消化法提取大鼠LFs。取2只SD大鼠,無菌條件下取膝關節雙側副韌帶和前、后交叉韌帶,用眼科剪將韌帶剪成1 mm×1 mm×1?mm左右的碎塊。用膠原酶于37℃震蕩消化2 h后,終止消化,PBS洗2?次,以4?×104個/cm2密度接種至預涂有鼠尾膠原的培養瓶中,置于37℃、5%CO2培養箱中培養,培養48~72 h后首次換液,以后每3天換液1次。待細胞融合達90%以上開始消化傳代。倒置相差顯微鏡觀察第3代LFs細胞形態;培養12?d時取第3代細胞,采用PCR法測定細胞Ⅲ型膠原和Ⅰ型膠原基因比例。
1.4 實驗分組及方法
實驗分為6組,分別為未誘導單純BMSCs組(A組)、未誘導單純LFs組(B組)、未誘導單層共培養組(C組)和誘導后單純BMSCs組(D組)、誘導后單純LFs組(E組)、誘導后單層共培養組(F組)。取第3代BMSCs和LFs,經消化后,A、B、D、E組細胞均以2×106個/孔密度接種于6孔板,C、F組每種細胞以1?×106個/孔接種于6孔板同一孔中。A、B、C組使用完全培養基培養,D、E、F組使用含10 ng/mL TGF-β1、10?ng/mL bFGF-1、10%FBS的H-DMEM培養基培養。置于37℃、5%CO2培養箱中培養,3 d全量換液。
1.5 觀測指標
1.5.1 細胞形態學觀察
培養12 d內每天倒置相差顯微鏡下觀察各組細胞生長、融合程度,判斷細胞活性和增殖情況,觀察單層共培養細胞變化。
1.5.2 MTT法檢測細胞增殖活性
培養1、3、5、7、9?d時各組6孔細胞,每孔加入5 mg/mL MTT溶液20μL,避光孵育4 h;吸出培養液,每孔加入150μL DMSO溶液,震蕩溶解5 min,酶標儀檢測520?nm波長處吸光度(A)值,繪制生長曲線。比較9?d時各組A值。
1.5.3 ELISA法檢測細胞內液膠原蛋白合成情況
培養12 d時收集各組細胞,0.25%胰蛋白酶消化后分別移入EP管,PBS洗2次,制成1 mL細胞混懸液。快速凍融6次,然后以離心半徑20 cm、2 000 r/min離心20?min,取上清。根據大鼠Ⅰ、Ⅲ型膠原蛋白ELISA試劑盒說明書,檢測各組Ⅰ、Ⅲ型膠原蛋白濃度,并計算Ⅰ、Ⅲ型膠原蛋白濃度比值。
1.5.4 實時熒光定量PCR檢測韌帶特異性基因表達情況
培養12 d時應用RNAisoPlus提取各組細胞總RNA,按實時熒光定量PCR試劑盒說明操作,逆轉錄獲得cDNA。引物序列見表 1,以β-actin作為內參;測定最佳退火溫度,檢測標準曲線后,測定各基因Ct值,采用2-ΔΔCt法計算各基因表達量。比較相同條件下單層共培養細胞與單純細胞各基因表達情況,以及誘導后各組細胞基因表達量與未誘導時的差異。計算F組/C組、E組/B組、D組/A組各基因表達量比值,比較誘導效果。

1.6 統計學方法
采用SPSS19.0統計軟件進行分析。數據以均數±標準差表示,組間比較采用方差分析,兩兩比較采用SNK檢驗;檢驗水準α=0.05。
2 結果
2.1 BMSCs及LFs鑒定
流式細胞術檢測示,BMSCs表面抗體CD29、CD73、CD90、CD105均為陽性,CD14、CD19、CD34、CD45為陰性。見圖 1。倒置相差顯微鏡觀察示,第3代LFs呈長梭形;12 d時細胞Ⅲ型膠原和Ⅰ型膠原基因比例為1.19,符合LFs分泌比例[12]。

2.2 細胞形態學觀察
倒置相差顯微鏡觀察,各組細胞均呈長梭形貼壁生長;C、F組不能區別BMSCs和LFs,兩種細胞形成一層細胞層。各誘導組細胞生長明顯快于未誘導組,誘導組中以F組細胞增殖速度最快,約2 d即融合達90%以上,4 d即呈緊密螺旋樣生長;而D、E組分別于5、6 d時呈緊密螺旋樣生長。各未誘導組中A、C組增殖速度相當,需3 d才能融合達90%,5 d呈密集生長;B組則需8 d才能達到緊密螺旋樣生長。見圖 2。
2.3 MTT法檢測
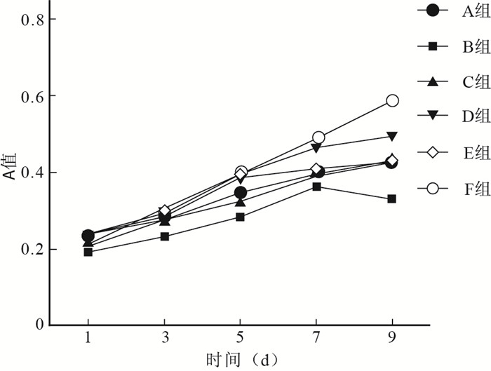
除B組細胞增殖于7 d達峰值后A值逐漸下降外,其余各組細胞仍保持增殖趨勢。培養9 d時,F組A值顯著高于其余5組,差異有統計學意義(P < 0.05);其次為D組,B組最低,與其余組比較差異均有統計學意義(P < 0.05);A、C、E組間比較差異無統計學意義(P > 0.05)。見圖 3。

2.4 ELISA法檢測細胞內液膠原蛋白合成情況
ELISA檢測示,F組Ⅰ、Ⅲ型膠原蛋白濃度顯著高于其余5組,A組顯著低于其余5組,差異均有統計學意義(P < 0.05);比較Ⅰ型膠原蛋白濃度,B、C組間及D、E組間比較差異無統計學意義(P > 0.05)。比較Ⅲ型膠原蛋白濃度,C組顯著高于B組,E組高于D組,差異均有統計學意義(P < 0.05)。見表 2。A~F組的Ⅰ、Ⅲ型膠原蛋白濃度比值分別為1.17、1.19、1.10、1.25、1.17、1.18,D組明顯高于其余各組。

2.5 實時熒光定量PCR檢測韌帶特異性基因表達情況
同一種細胞各誘導組Ⅰ、Ⅲ型膠原及纖維連接蛋白基因表達均高于非誘導組(P < 0.05);誘導組中F組高于D、E組,非誘導組中A組低于B、C組,比較差異均有統計學意義(P < 0.05)。E組Ⅰ、Ⅲ型膠原基因表達高于D組,差異有統計學意義(P < 0.05);B組Ⅰ型膠原基因表達高于D組,而D組Ⅲ型膠原基因表達高于B組,差異均有統計學意義(P < 0.05);E組纖維連接蛋白基因表達高于D組,差異有統計學意義(P < 0.05)。
基質金屬蛋白酶2基因表達E組最高,A組最低,與其余各組比較差異均有統計學意義(P < 0.05);F組高于D組,差異有統計學意義(P < 0.05)。
細胞黏合素C基因表達D組高于其余5組,差異有統計學意義(P < 0.05);A組高于B、C組,但低于D組,差異有統計學意義(P < 0.05);E組高于B組,差異有統計學意義(P < 0.05)。見表 3。

F組/C組Ⅰ型膠原、Ⅲ型膠原、基質金屬蛋白酶2基因比值分別為1.89、3.00、2.01,均高于E組/B組比值(1.48、1.56、1.56),低于D組/A組比值(3.58、2.39、3.05)。
3 討論
韌帶組織工程學中應用的細胞要求具有很高的活性和增殖能力才能在支架中生長,同時還要求這些細胞能夠分泌合成韌帶相關蛋白以重構韌帶和維持韌帶代謝。目前研究的細胞,如干細胞、LFs、皮膚成纖維細胞等,均未能完全達到要求。由于缺乏細胞的代謝和活性,組織工程韌帶的長期效果仍未確定,限制了其發展和臨床應用。
本實驗旨在通過生長因子誘導和共培養LFs及BMSCs,尋找一種更好的細胞來源。LFs是韌帶中的成熟體細胞,Ge等[9]研究認為LFs能夠分泌Ⅰ、Ⅲ型膠原蛋白和α球蛋白;近來研究發現LFs能夠分泌如基質金屬蛋白酶、抑制脂肪氧化酶、組織金屬蛋白酶抑制劑等韌帶分化的相關因子[13-14];Cooper等[10]研究發現LFs這類韌帶基質分泌細胞是韌帶組織工程種子細胞的最佳選擇之一。本實驗中也發現,B組未經誘導的LFs韌帶特異性基因表達及Ⅰ、Ⅲ型膠原濃度均高于A組未經誘導的BMSCs。但倒置相差顯微鏡觀察和MTT檢測結果顯示,B組細胞活性和增殖能力均低于A組。因此,研究者希望通過誘導BMSCs向韌帶特異性分化,得到活性和增殖能力比LFs高并具有韌帶特異性的細胞。
由于LFs能夠分泌多種韌帶相關因子,模擬韌帶周圍微環境,有研究采用間接共培養LFs和BMSCs,希望LFs能誘導BMSCs;實驗結果表明,LFs可誘導BMSCs向韌帶細胞分化,提高BMSCs的Ⅰ、Ⅲ型膠原和細胞黏合素C的表達[5]。間接共培養具有誘導方式簡單、誘導效果明顯等特點,但也有其局限性,雖然將細胞分開可明確各細胞的變化,但一旦離開特定培養環境則無法實現誘導,體內很難獲得持續誘導作用;而且,間接共培養時細胞無法接觸,阻止了細胞間接觸反應和縫隙連接,而這兩種反應可發揮誘導作用,提高誘導效果。
而單層共培養則解決了以上問題,可有效利用這兩種反應來充分發揮細胞間的誘導作用。Nahai等[11]的實驗發現肝細胞和星形細胞單層共培養可明顯提高白蛋白表達量,同時活化的細胞增多;Schumm等[15]也發現將神經祖細胞和嗜絡細胞單層共培養,可更好地誘導神經祖細胞分化。且有研究表明,將兩種細胞單層共培養同樣可發揮成熟體細胞對其他細胞的誘導作用[16]。
本實驗將LFs和BMSCs單層共培養獲得了一混合細胞層,C組未誘導的共培養細胞增殖能力與A組未誘導的單純BMSCs相當,而韌帶特異性基因的表達和蛋白合成高于A組,說明接觸共培養可提高BMSCs的分化。由于LFs增殖低于BMSCs,因此要使共培養細胞達到BMSCs的增殖水平,需要提高兩種細胞中一種或兩者的增殖能力。而LFs對BMSCs具有誘導作用,使BMSCs增殖活性提高,彌補了共培養細胞中LFs增殖活性較低的缺陷。
本實驗發現C組未經誘導的共培養細胞在細胞活性和韌帶相關蛋白表達中并未同時突出BMSCs和LFs的特點。A組未經誘導的單純BMSCs與C組未經誘導的共培養細胞在細胞增殖方面無差異,而B組未經誘導的LFs與C組細胞內Ⅰ型膠原蛋白的分泌也無差異。為了進一步提高細胞活性和韌帶特異性,我們加入了生長因子,以促進LFs對韌帶相關因子的分泌,提高細胞活性,優化共培養后細胞相互作用效果。FGF家族生長因子可促進細胞增殖[17-18],TGF-β能夠誘導干細胞和其他細胞分泌更多膠原蛋白及韌帶特異性蛋白[19-20]。同時兩種生長因子之間也具有相互提升誘導效果的作用,Bakhshayesh等[21]發現兩者同時使用可促進干細胞向損傷部位的遷移及增殖;Hasegawa等[22]發現同時應用兩種生長因子還會提高LFs對基質細胞衍生因子1α的表達,間接促進細胞對損傷部位的歸巢;Xiao等[23]報道TGF-β1可通過FGF-2通路來促進LFs的增殖。
經生長因子誘導后,單獨培養細胞和共培養細胞(D、E、F組)活性和增殖能力均提高。而F組誘導后的共培養細胞增殖活性和韌帶特異性基因表達提高最明顯,且韌帶特異性基因中,除基質金屬蛋白酶2外,表達均高于另兩種誘導后的單獨培養細胞。我們認為,共培養細胞對于生長因子誘導更敏感,LFs誘導后的Ⅰ、Ⅲ型膠原蛋白合成比例提高不像BMSCs那樣失調,即Ⅰ型膠原蛋白提高高于Ⅲ型膠原蛋白,所以共培養細胞誘導后細胞Ⅰ、Ⅲ型膠原蛋白合成比例合適。除了生長因子對細胞的作用,我們考慮還存在LFs對共培養BMSCs的誘導效果增加,生長因子增加了共培養細胞中LFs的活性,從而增加了LFs相關誘導因子的分泌,但該結論有待后續實驗進一步證明。
綜上述,單層共培養BMSCs及LFs經生長因子誘導后,細胞活性、增殖能力、韌帶特異性顯著提高,可作為韌帶組織工程種子細胞來源之一。但單層共培養細胞無法控制培養后兩種細胞的比例,不能鑒定兩種細胞各自發揮的作用及LFs對BMSCs誘導后細胞的變化,有待進一步實驗研究。
研究表明,韌帶成纖維細胞(ligament fibroblasts,LFs)和BMSCs均具有成為韌帶組織工程種子細胞的特性,通過誘導可以加強韌帶特異性分化[1-4]。將LFs與BMSCs間接共培養后,通過LFs分泌的多種韌帶相關蛋白和因子,可誘導BMSCs向韌帶特異性分化[5-8]。但間接共培養系統在活體內難以建立,并且未充分發揮LFs的誘導作用。既往研究表明,通過單層共培養也可發揮成熟體細胞對其他細胞的誘導作用[9-11]。因此,本實驗通過將LFs和BMSCs單層共培養,比較經生長因子TGF-β1和bFGF-1誘導后細胞活性及韌帶特異性的變化,以期獲得更符合韌帶組織工程要求的細胞來源。
1 材料與方法
1.1 實驗動物及主要試劑、儀器
清潔級3月齡SD大鼠12只,雌雄不限,體重200~250 g,由第三軍醫大學實驗動物中心提供。實驗每次取4只大鼠,共重復3次。
L-DMEM培養液、H-DMEM培養液(GIBCO公司,美國);大鼠TGF-β1、大鼠bFGF-1(上海基因生物技術有限公司);大鼠Ⅰ、Ⅲ型膠原蛋白ELISA試劑盒(上海銘睿生物科技有限公司);RNAisoPlus、實時熒光定量PCR試劑盒、SYBR?Premix Ex TaqtTM(大連TaKaRa公司)。FACS Calibur流式細胞儀(Becton Dickinson公司,美國);倒置相差顯微鏡(Nikon公司,日本);ND-1000核酸蛋白定量儀(NanoDrop公司,美國);ICyeleriQS熒光定量PCR儀(Bio-Rad公司,美國)。
1.2 大鼠BMSCs分離、培養及鑒定
采用密度梯度離心法結合貼壁法分離培養BMSCs。取2只SD大鼠,無菌條件下分離股骨及脛骨,咬骨鉗咬除股骨或脛骨兩端,L-DMEM培養液沖洗骨髓腔,收集骨髓細胞懸液,以離心半徑20 cm、1?000?r/?min離心10 min后棄上清;加在Percoll分離液上層,以離心半徑20 cm、2 000 r/min離心15 min后收集界面層細胞,PBS離心(以離心半徑20 cm、1?000?r/?min離心5 min)洗滌2次后,以4×104個/?cm2密度接種至12.5 cm2培養瓶中。置于37℃、5%CO2培養箱中培養,3 d后首次換液,2、3?d換液1次。待細胞融合達90%以上開始消化傳代。流式細胞術檢測第3代BMSCs表面抗原CD29、CD73、CD90、CD105、CD14、CD19、CD34、CD45的表達。
1.3 大鼠LFs分離、培養及鑒定
采用膠原酶消化法提取大鼠LFs。取2只SD大鼠,無菌條件下取膝關節雙側副韌帶和前、后交叉韌帶,用眼科剪將韌帶剪成1 mm×1 mm×1?mm左右的碎塊。用膠原酶于37℃震蕩消化2 h后,終止消化,PBS洗2?次,以4?×104個/cm2密度接種至預涂有鼠尾膠原的培養瓶中,置于37℃、5%CO2培養箱中培養,培養48~72 h后首次換液,以后每3天換液1次。待細胞融合達90%以上開始消化傳代。倒置相差顯微鏡觀察第3代LFs細胞形態;培養12?d時取第3代細胞,采用PCR法測定細胞Ⅲ型膠原和Ⅰ型膠原基因比例。
1.4 實驗分組及方法
實驗分為6組,分別為未誘導單純BMSCs組(A組)、未誘導單純LFs組(B組)、未誘導單層共培養組(C組)和誘導后單純BMSCs組(D組)、誘導后單純LFs組(E組)、誘導后單層共培養組(F組)。取第3代BMSCs和LFs,經消化后,A、B、D、E組細胞均以2×106個/孔密度接種于6孔板,C、F組每種細胞以1?×106個/孔接種于6孔板同一孔中。A、B、C組使用完全培養基培養,D、E、F組使用含10 ng/mL TGF-β1、10?ng/mL bFGF-1、10%FBS的H-DMEM培養基培養。置于37℃、5%CO2培養箱中培養,3 d全量換液。
1.5 觀測指標
1.5.1 細胞形態學觀察
培養12 d內每天倒置相差顯微鏡下觀察各組細胞生長、融合程度,判斷細胞活性和增殖情況,觀察單層共培養細胞變化。
1.5.2 MTT法檢測細胞增殖活性
培養1、3、5、7、9?d時各組6孔細胞,每孔加入5 mg/mL MTT溶液20μL,避光孵育4 h;吸出培養液,每孔加入150μL DMSO溶液,震蕩溶解5 min,酶標儀檢測520?nm波長處吸光度(A)值,繪制生長曲線。比較9?d時各組A值。
1.5.3 ELISA法檢測細胞內液膠原蛋白合成情況
培養12 d時收集各組細胞,0.25%胰蛋白酶消化后分別移入EP管,PBS洗2次,制成1 mL細胞混懸液。快速凍融6次,然后以離心半徑20 cm、2 000 r/min離心20?min,取上清。根據大鼠Ⅰ、Ⅲ型膠原蛋白ELISA試劑盒說明書,檢測各組Ⅰ、Ⅲ型膠原蛋白濃度,并計算Ⅰ、Ⅲ型膠原蛋白濃度比值。
1.5.4 實時熒光定量PCR檢測韌帶特異性基因表達情況
培養12 d時應用RNAisoPlus提取各組細胞總RNA,按實時熒光定量PCR試劑盒說明操作,逆轉錄獲得cDNA。引物序列見表 1,以β-actin作為內參;測定最佳退火溫度,檢測標準曲線后,測定各基因Ct值,采用2-ΔΔCt法計算各基因表達量。比較相同條件下單層共培養細胞與單純細胞各基因表達情況,以及誘導后各組細胞基因表達量與未誘導時的差異。計算F組/C組、E組/B組、D組/A組各基因表達量比值,比較誘導效果。

1.6 統計學方法
采用SPSS19.0統計軟件進行分析。數據以均數±標準差表示,組間比較采用方差分析,兩兩比較采用SNK檢驗;檢驗水準α=0.05。
2 結果
2.1 BMSCs及LFs鑒定
流式細胞術檢測示,BMSCs表面抗體CD29、CD73、CD90、CD105均為陽性,CD14、CD19、CD34、CD45為陰性。見圖 1。倒置相差顯微鏡觀察示,第3代LFs呈長梭形;12 d時細胞Ⅲ型膠原和Ⅰ型膠原基因比例為1.19,符合LFs分泌比例[12]。

2.2 細胞形態學觀察
倒置相差顯微鏡觀察,各組細胞均呈長梭形貼壁生長;C、F組不能區別BMSCs和LFs,兩種細胞形成一層細胞層。各誘導組細胞生長明顯快于未誘導組,誘導組中以F組細胞增殖速度最快,約2 d即融合達90%以上,4 d即呈緊密螺旋樣生長;而D、E組分別于5、6 d時呈緊密螺旋樣生長。各未誘導組中A、C組增殖速度相當,需3 d才能融合達90%,5 d呈密集生長;B組則需8 d才能達到緊密螺旋樣生長。見圖 2。
2.3 MTT法檢測
除B組細胞增殖于7 d達峰值后A值逐漸下降外,其余各組細胞仍保持增殖趨勢。培養9 d時,F組A值顯著高于其余5組,差異有統計學意義(P < 0.05);其次為D組,B組最低,與其余組比較差異均有統計學意義(P < 0.05);A、C、E組間比較差異無統計學意義(P > 0.05)。見圖 3。

2.4 ELISA法檢測細胞內液膠原蛋白合成情況
ELISA檢測示,F組Ⅰ、Ⅲ型膠原蛋白濃度顯著高于其余5組,A組顯著低于其余5組,差異均有統計學意義(P < 0.05);比較Ⅰ型膠原蛋白濃度,B、C組間及D、E組間比較差異無統計學意義(P > 0.05)。比較Ⅲ型膠原蛋白濃度,C組顯著高于B組,E組高于D組,差異均有統計學意義(P < 0.05)。見表 2。A~F組的Ⅰ、Ⅲ型膠原蛋白濃度比值分別為1.17、1.19、1.10、1.25、1.17、1.18,D組明顯高于其余各組。

2.5 實時熒光定量PCR檢測韌帶特異性基因表達情況
同一種細胞各誘導組Ⅰ、Ⅲ型膠原及纖維連接蛋白基因表達均高于非誘導組(P < 0.05);誘導組中F組高于D、E組,非誘導組中A組低于B、C組,比較差異均有統計學意義(P < 0.05)。E組Ⅰ、Ⅲ型膠原基因表達高于D組,差異有統計學意義(P < 0.05);B組Ⅰ型膠原基因表達高于D組,而D組Ⅲ型膠原基因表達高于B組,差異均有統計學意義(P < 0.05);E組纖維連接蛋白基因表達高于D組,差異有統計學意義(P < 0.05)。
基質金屬蛋白酶2基因表達E組最高,A組最低,與其余各組比較差異均有統計學意義(P < 0.05);F組高于D組,差異有統計學意義(P < 0.05)。
細胞黏合素C基因表達D組高于其余5組,差異有統計學意義(P < 0.05);A組高于B、C組,但低于D組,差異有統計學意義(P < 0.05);E組高于B組,差異有統計學意義(P < 0.05)。見表 3。

F組/C組Ⅰ型膠原、Ⅲ型膠原、基質金屬蛋白酶2基因比值分別為1.89、3.00、2.01,均高于E組/B組比值(1.48、1.56、1.56),低于D組/A組比值(3.58、2.39、3.05)。
3 討論
韌帶組織工程學中應用的細胞要求具有很高的活性和增殖能力才能在支架中生長,同時還要求這些細胞能夠分泌合成韌帶相關蛋白以重構韌帶和維持韌帶代謝。目前研究的細胞,如干細胞、LFs、皮膚成纖維細胞等,均未能完全達到要求。由于缺乏細胞的代謝和活性,組織工程韌帶的長期效果仍未確定,限制了其發展和臨床應用。
本實驗旨在通過生長因子誘導和共培養LFs及BMSCs,尋找一種更好的細胞來源。LFs是韌帶中的成熟體細胞,Ge等[9]研究認為LFs能夠分泌Ⅰ、Ⅲ型膠原蛋白和α球蛋白;近來研究發現LFs能夠分泌如基質金屬蛋白酶、抑制脂肪氧化酶、組織金屬蛋白酶抑制劑等韌帶分化的相關因子[13-14];Cooper等[10]研究發現LFs這類韌帶基質分泌細胞是韌帶組織工程種子細胞的最佳選擇之一。本實驗中也發現,B組未經誘導的LFs韌帶特異性基因表達及Ⅰ、Ⅲ型膠原濃度均高于A組未經誘導的BMSCs。但倒置相差顯微鏡觀察和MTT檢測結果顯示,B組細胞活性和增殖能力均低于A組。因此,研究者希望通過誘導BMSCs向韌帶特異性分化,得到活性和增殖能力比LFs高并具有韌帶特異性的細胞。
由于LFs能夠分泌多種韌帶相關因子,模擬韌帶周圍微環境,有研究采用間接共培養LFs和BMSCs,希望LFs能誘導BMSCs;實驗結果表明,LFs可誘導BMSCs向韌帶細胞分化,提高BMSCs的Ⅰ、Ⅲ型膠原和細胞黏合素C的表達[5]。間接共培養具有誘導方式簡單、誘導效果明顯等特點,但也有其局限性,雖然將細胞分開可明確各細胞的變化,但一旦離開特定培養環境則無法實現誘導,體內很難獲得持續誘導作用;而且,間接共培養時細胞無法接觸,阻止了細胞間接觸反應和縫隙連接,而這兩種反應可發揮誘導作用,提高誘導效果。
而單層共培養則解決了以上問題,可有效利用這兩種反應來充分發揮細胞間的誘導作用。Nahai等[11]的實驗發現肝細胞和星形細胞單層共培養可明顯提高白蛋白表達量,同時活化的細胞增多;Schumm等[15]也發現將神經祖細胞和嗜絡細胞單層共培養,可更好地誘導神經祖細胞分化。且有研究表明,將兩種細胞單層共培養同樣可發揮成熟體細胞對其他細胞的誘導作用[16]。
本實驗將LFs和BMSCs單層共培養獲得了一混合細胞層,C組未誘導的共培養細胞增殖能力與A組未誘導的單純BMSCs相當,而韌帶特異性基因的表達和蛋白合成高于A組,說明接觸共培養可提高BMSCs的分化。由于LFs增殖低于BMSCs,因此要使共培養細胞達到BMSCs的增殖水平,需要提高兩種細胞中一種或兩者的增殖能力。而LFs對BMSCs具有誘導作用,使BMSCs增殖活性提高,彌補了共培養細胞中LFs增殖活性較低的缺陷。
本實驗發現C組未經誘導的共培養細胞在細胞活性和韌帶相關蛋白表達中并未同時突出BMSCs和LFs的特點。A組未經誘導的單純BMSCs與C組未經誘導的共培養細胞在細胞增殖方面無差異,而B組未經誘導的LFs與C組細胞內Ⅰ型膠原蛋白的分泌也無差異。為了進一步提高細胞活性和韌帶特異性,我們加入了生長因子,以促進LFs對韌帶相關因子的分泌,提高細胞活性,優化共培養后細胞相互作用效果。FGF家族生長因子可促進細胞增殖[17-18],TGF-β能夠誘導干細胞和其他細胞分泌更多膠原蛋白及韌帶特異性蛋白[19-20]。同時兩種生長因子之間也具有相互提升誘導效果的作用,Bakhshayesh等[21]發現兩者同時使用可促進干細胞向損傷部位的遷移及增殖;Hasegawa等[22]發現同時應用兩種生長因子還會提高LFs對基質細胞衍生因子1α的表達,間接促進細胞對損傷部位的歸巢;Xiao等[23]報道TGF-β1可通過FGF-2通路來促進LFs的增殖。
經生長因子誘導后,單獨培養細胞和共培養細胞(D、E、F組)活性和增殖能力均提高。而F組誘導后的共培養細胞增殖活性和韌帶特異性基因表達提高最明顯,且韌帶特異性基因中,除基質金屬蛋白酶2外,表達均高于另兩種誘導后的單獨培養細胞。我們認為,共培養細胞對于生長因子誘導更敏感,LFs誘導后的Ⅰ、Ⅲ型膠原蛋白合成比例提高不像BMSCs那樣失調,即Ⅰ型膠原蛋白提高高于Ⅲ型膠原蛋白,所以共培養細胞誘導后細胞Ⅰ、Ⅲ型膠原蛋白合成比例合適。除了生長因子對細胞的作用,我們考慮還存在LFs對共培養BMSCs的誘導效果增加,生長因子增加了共培養細胞中LFs的活性,從而增加了LFs相關誘導因子的分泌,但該結論有待后續實驗進一步證明。
綜上述,單層共培養BMSCs及LFs經生長因子誘導后,細胞活性、增殖能力、韌帶特異性顯著提高,可作為韌帶組織工程種子細胞來源之一。但單層共培養細胞無法控制培養后兩種細胞的比例,不能鑒定兩種細胞各自發揮的作用及LFs對BMSCs誘導后細胞的變化,有待進一步實驗研究。