引用本文: 程利萍, 廖子蔚, 霍瑞民, 張苗苗, 李曉雪. 頸動脈支架置入術與頸動脈內膜剝脫術治療頸動脈狹窄的遠期療效比較的meta分析. 華西醫學, 2021, 36(10): 1405-1413. doi: 10.7507/1002-0179.201911029 復制
缺血性腦卒中是一種嚴重影響人們生活質量的疾病,具有高發病率、高致死率與高致殘率的特點。據報道,頸動脈狹窄占所有缺血性腦卒中病例的 20%~25%[1],它是引起缺血性腦卒中的主要病因之一,治療頸動脈狹窄可以有效降低腦卒中的發病率。目前頸動脈狹窄的治療方式包括內科藥物治療和頸動脈血運重建術,后者包括頸動脈內膜剝脫術(carotid endarterectomy,CEA)和頸動脈支架置入術(carotid artery stenting,CAS)[2]。雖然在傳統上 CEA 仍被視為頸動脈狹窄的經典治療方式,且已被確定為預防卒中的有效方法[3-5],但由于患者基礎合并癥、頸部解剖較差及手術并發癥,CEA 在臨床上具有一定的局限性。而 CAS 由于其微創性被考慮作為 CEA 的一種替代療法。大多數針對 CAS 的早期研究取得了不盡如人意的結果,但有研究者認為這些試驗存在一定的缺陷,例如干預者的經驗存在差異、使用了不同的支架系統等[2]。此外,CAS 技術在近幾年取得了進一步的發展,操作人員獲得了更多經驗。因此,關于 CEA 與 CAS 治療頸動脈狹窄的療效與安全性仍值得探討。目前,已有一定數量的 meta 分析通過匯總隨機對照試驗探討 CEA 與 CAS 在治療頸動脈狹窄方面的療效與安全性[6-9],但其多圍繞兩組患者圍手術期及術后短期表現進行討論。因此本研究對大型臨床隨機對照試驗進行了匯總,旨在分析比較 CEA 與 CAS 治療頸動脈狹窄的遠期療效。現報告如下。
1 資料與方法
1.1 納入與排除標準
1.1.1 納入標準
根據 PICOS 原則,采取以下標準:① 參與者(P):患者經臨床醫師根據超聲、CT 血管成像、MRI 血管成像或全腦血管造影術診斷為頸動脈狹窄;② 干預(I)和比較(C):CEA 與 CAS 比較;③ 結果(O):隨訪時間≥2 年且轉歸指標包括任何卒中事件、同側卒中事件、致死或致殘性卒中事件、任何死亡事件、卒中或死亡聯合終點以及頸內動脈再狹窄中的至少 1 項;④ 研究設計(S):國內外公開發表的隨機對照試驗,語種包括中文和英文。
1.1.2 排除標準
① 重復發表; ② 無法獲取全文;③ 動物實驗和基礎科學研究;④ 會議摘要;⑤ 研究對象合并嚴重器官衰竭。
1.2 檢索策略
采用計算機檢索所有目前公開發表的文獻。計算機文獻檢索數據包括 PubMed、Embase、Medline、Cochrane Library、中國知網中國全文期刊數據庫、萬方數據庫、維普中文科技期刊全文數據庫及中國生物醫學文獻服務系統(SinoMed),檢索自建庫至 2021 年 9 月 2 日收錄的文獻。同時手工檢索相關文獻以作補充(主要源于其他相關 meta 分析或綜述中的參考文獻)。英文檢索詞包括“arteries carotid*”“stents*”“carotid endarterectomy”“endarterectomy, carotid*”“randomized controlled trial*”和“randomized”。中文檢索詞包括“頸動脈支架置入”“頸動脈支架植入”“內膜剝脫”和“隨機對照”等。以 PubMed 為例,具體檢索策略見框1。

1.3 文獻質量評價
1.3.1 偏倚風險評估
由 2 名作者對納入文獻采用 Cochrane 偏倚風險評價工具來評估偏倚風險,評價指標包括:① 隨機分配方法;② 分配方案隱藏;③ 采用盲法(針對研究者和受試者);④ 采用盲法(針對結果的評價者);⑤ 結局數據的完整性;⑥ 選擇性報道研究結果;⑦ 其他偏倚。對以上 7 項指標作出“高風險”“低風險”和“不清楚”的判斷。如有分歧,通過與第三人共同討論判定。
1.3.2 證據質量及推薦等級
基于系統評價的結果,應用GRADE系統推薦分級方法評價證據質量及推薦等級[10]。證據質量分級如下:① 高質量(或 A):非常確信真實的效應值接近效應估計值;② 中等質量(或 B):對效應估計值有中等程度的信心,即真實值有可能接近估計值,但仍存在二者大不相同的可能性;③ 低質量(或 C):對效應估計值的確信程度有限,即真實值可能與估計值大不相同;④ 極低質量(或D):對效應估計值幾乎沒有信心,即真實值很可能與估計值大不相同。雖然基于隨機對照試驗得出的證據一開始被定為高質量,但我們對該類證據的信心可能會因為下面 5 個因素而降低:① 研究的局限性;② 研究結果的不一致;③ 間接證據;④ 結果不精確;⑤ 發表偏倚。同樣基于以下 3 個因素,證據可以升級:① 效應值很大;② 劑量-效應關系存在;③ 可能的混雜因素會降低療效。推薦等級分為“強推薦”和“弱推薦”:強推薦(或 1)表明評價者確信干預措施利大于弊或弊大于利,弱推薦(或 2)表明利弊不確定或無論高低質量的證據均顯示利弊相當。
1.4 統計學方法
采用 Stata 15.1 軟件生成森林圖進行統計分析。采用 CAS 相對于 CEA 的風險比(hazard ratio,HR)及其 95% 置信區間(confidence interval,CI)對結果進行描述。不能獲得HR的研究由 2 名作者運用 Engauge Digitizer 軟件提取生存曲線中的數據,計算 HR 及其 95%CI(各自計算至少 3 次,選取最接近的平均值進行分析),計算方法參考 Tierney 等[11]的方法。用 I2 檢測評價異質性,I2>50% 或 P<0.10 表示具有統計學異質性,此時采用隨機效應模型對數據進行合并(D+L overall),反之則采用固定效應模型(I-V overall)。
2 結果
2.1 檢索結果
本研究共檢索出相關文獻 2036 篇,剔除重復文獻后獲得 810 篇,閱讀題目和摘要排除 668 篇,對余下 142 篇進行全文閱讀。閱讀后剔除非隨機對照研究 7 篇、短期隨訪研究 74 篇、結局指標不一致研究 21 篇及樣本數量較少研究 20 篇,最后納入 20 篇文獻[12-31],共計9項研究(圖1)。

*具體包括:PubMed(
2.2 納入研究基本情況
納入的 20 篇文獻來自 9 項研究(部分文獻雖未作為 meta 分析 HR 數據的來源,但提供了研究的基本特征和質量評價的相關信息,因此被納入),語種均為英文,均為前瞻性隨機對照試驗,共納入 8551 例患者,其中 CAS 患者 4658 例,CEA 患者 3893 例;中位隨訪時間為 2~10 年(表 1)。Mannheim 等[12]、Brooks 等[13-15]和 CAVATAS [17-18] 研究的 CAS 組患者均未使用腦保護裝置,ACT-Ⅰ 研究[16]的 CAS 組全部使用了腦保護裝置,其余研究[19-31]均為部分使用腦保護裝置。

2.3 納入研究質量評價
7 項研究[16-31]使用計算機生成隨機樣本集,2 項研究[12-15]未描述隨機分配方法;6 項研究[16-22, 26-31]描述了分配隱藏方法;所有研究均報告了撤出患者的數量及原因。總的來說,納入研究質量均較高。見圖 2。

a. 文獻方法學質量評估各項占比;b. 各研究文獻方法學質量評估。①:隨機序列生成(選擇偏倚);②:分配隱藏(選擇偏倚);③:針對研究者和受試者采用盲法(實施偏倚);④:針對結果的評價者(檢出偏倚);⑤:結果數據不完整(退出偏倚);⑥:選擇性報道(報道偏倚);⑦:其他偏倚;綠色表示低偏倚風險,紅色表示高偏倚風險,黃色表示偏倚風險不清楚
2.4 轉歸指標 meta 分析
9 項研究結局轉歸指標情況詳見表2。

2.4.1 任何卒中事件
8 項研究[15-16, 18-19, 24-25, 27, 29, 31]報道了任何卒中事件數據,累計發生 807 例(CAS 489 例,CEA 318 例)。其中 5 項研究[18-19, 24-25, 27, 31]直接給出 HR 值,其余 3 項[15-16, 29]研究通過計算獲得 HR 值。各研究間無統計學異質性(P=0.260,I2=21.3%),采用固定效應模型進行合并,結果顯示 CAS 的任何卒中事件發生率高于 CEA,差異有統計學意義[HR=1.33,95%CI(1.16,1.52),P<0.0001]。見圖 3。

2.4.2 同側卒中事件
5 項研究[18, 20, 24-25, 27, 31]報道了同側卒中終點事件數據,累計發生 405 例(CAS 237 例,CEA 168 例)。均直接獲得 HR 值,各研究間無統計學異質性(P=0.766,I2=0%),采用固定效應模型進行合并,結果顯示 CAS 的同側卒中事件發生率高于 CEA,差異有統計學意義[HR=1.26,95%CI(1.02,1.55),P=0.034]。見圖 4。

2.4.3 致死或致殘性卒中事件
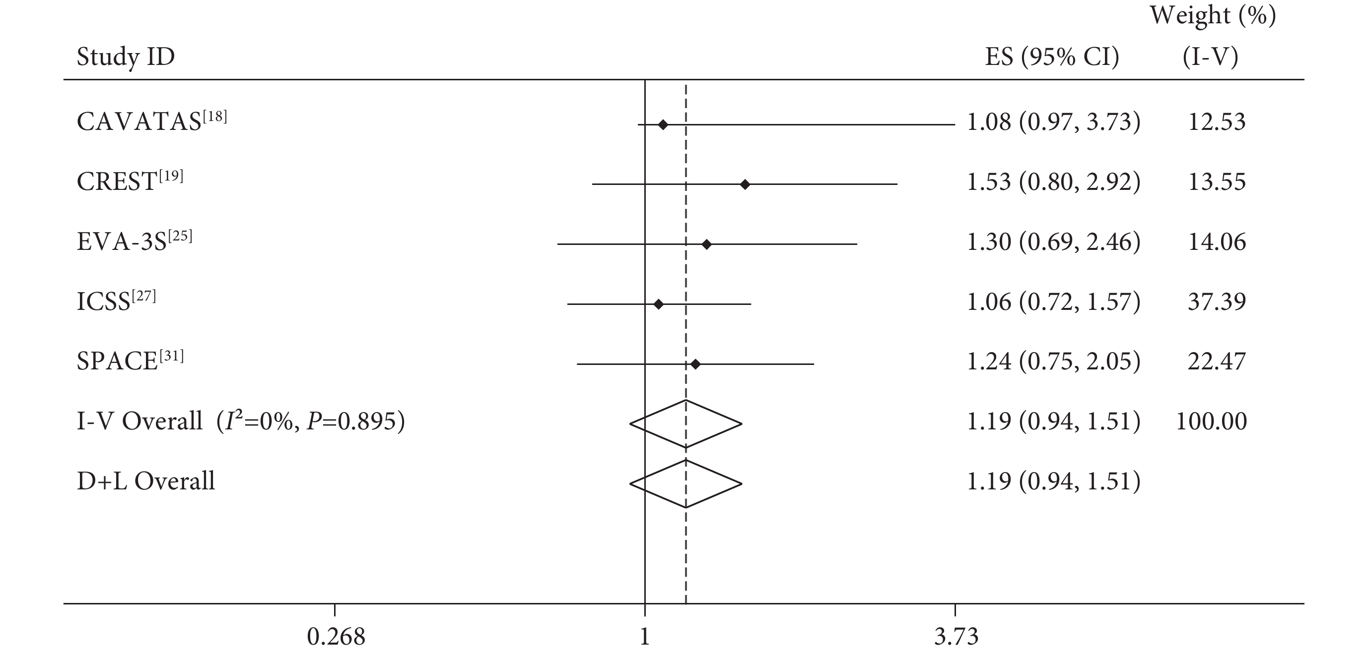
5 項研究[18-19, 25, 27, 31]可獲得致死或致殘性卒中事件數據,累計發生 300 例(CAS 165 例,CEA 135 例),均可直接獲得 HR 值。各研究間無統計學異質性(P=0.895,I2=0%),采用固定效應模型進行合并,結果顯示 CAS 與 CEA 的致死或致殘性卒中事件發生率差異無統計學意義[HR=1.19,95%CI(0.94,1.51),P=0.152]。見圖 5。

2.4.4 任何死亡事件
8 項研究[12, 16, 18, 21, 25, 27, 29, 31]報道了任何死亡事件數據,累計死亡 1181 例(CAS 658 例,CEA 523 例)。其中 6 項研究[12, 18, 21, 25, 27, 31]直接給出 HR 值,其余 2 項研究[16, 29]通過計算獲得 HR 值。各研究間無統計學異質性(P=0.620,I2=0%),采用固定效應模型進行合并,結果顯示 CAS 與 CEA 的任何死亡事件發生率差異無統計學意義[HR=1.06,95%CI(0.95,1.18),P=0.302]。見圖 6。

2.4.5 卒中或死亡聯合終點事件
7 項研究[15, 18-19, 24-25, 27, 29, 31]報道了卒中或死亡聯合終點事件數據,累計發生 1054 例(CAS 555 例,CEA 499 例)。其中 1 項研究[29]通過計算獲得 HR 值,其余 6 項研究[15, 18-19, 24-25, 27, 31]直接給出HR值。各研究間無統計學異質性(P=0.147,I2=36.9%),采用固定效應模型進行合并,結果顯示 CAS 的卒中或死亡聯合終點事件發生率高于 CEA,差異有統計學意義[HR=1.17,95%CI(1.02,1.33),P=0.021]。見圖 7。

2.4.6 頸內動脈再狹窄
4 項研究[12, 21, 25, 27]報道了頸內動脈再狹窄事件數據,累計發生 431 例(CAS 234 例,CEA 197 例),均可直接獲得HR值。各研究間無統計學異質性(P=0.473,I2=0%),采用固定效應模型進行合并,結果顯示 CAS 與 CEA 的頸內動脈再狹窄事件發生率差異無統計學意義[HR=1.20,95%CI(0.96,1.49),P=0.111]。見圖 8。

2.5 GRADE 系統證據質量
按照 GRADE 系統評價指標,以上 6 項結局指標中,遠期同側卒中、致死或致殘性卒中及再狹窄指標為中級證據,而任何卒中、遠期死亡、遠期死亡或卒中聯合重點為低級證據。見表 3。

3 討論
本研究旨在評估 CEA 與 CAS 治療頸動脈狹窄患者的遠期預后。結果顯示,兩組患者在遠期致死或致殘性卒中、死亡及頸內動脈再狹窄方面差異均無統計學意義(P>0.05);在任何卒中、同側卒中和死亡或卒中聯合終點方面,CEA 療效與安全性高于 CAS。這提示 CEA 對頸動脈狹窄患者的長期預后有更有利的影響,應繼續作為頸動脈狹窄患者的首選治療方法。
我們的研究結果與 Vincent 等[32]和張鵬飛等[33]的研究結果相似,但在其基礎上納入了更多的研究以獲得更準確的結果,且本研究的所有結果均提示異質性較小,增強了數據的可信性。
在所有研究中,EVA-3S 研究[23-25]在任何卒中、同側卒中及再狹窄方面似乎更傾向于 CAS,雖然差異無統計學意義。EVA-3S 研究[23-25]和 CAVATAS 研究[17-18]中患者的死亡及卒中或死亡聯合終點事件發生率較其他研究明顯增高,這可能與腦保護裝置的不充分使用有關。
CEA 的限制性主要在于患者的一般情況及頸部解剖。對于患有嚴重合并癥尤其是心臟病的患者,CEA 具有很高的危險性。不利的外科解剖位置導致手術困難也限制了 CEA 的應用。而頸動脈的斑塊形態及血管解剖可影響 CAS 預后[2]。使用 MRI 血管成像的美國心臟協會分級系統[34]指出,Ⅵ 型斑塊(斑塊內出血或纖維帽破裂)與高危卒中風險相關。CAS 通路的血管解剖異常(如髂動脈、腹主動脈或頸內動脈遠端迂曲)可能使手術復雜化,影響預后。
本研究存在一定局限性:① 支架類型的不同及腦保護裝置的使用率差異可能會對結果產生一定的影響;② 各研究中手術操作人員的技術水平及熟練程度的差異可能會導致偏倚的產生;③ 納入研究隨訪時間差異較大,可能造成結果的差異。
我們采用了 GRADE 系統對結局指標進行了證據分級及強度推薦。按照 GRADE 系統評價指標,以上 6 項結果中的遠期同側卒中、致死或致殘性卒中及再狹窄指標為中級證據,其余 3 項為低級證據,原因包括:① 所有研究均采取了分配隱藏和雙盲,其中 2 項研究[12-15]未具體描述隨機序列生成方法,3 項研究[12-15, 23-25]未詳細描述分配隱藏情況;② 3 項低質量結局指標中有小部分研究未直接給出 HR 值,而是通過計算獲得,已在上文描述。本研究的主要結局均為“重要”及“關鍵性”結局指標。
總的來說,CEA和CAS在遠期致死或致殘性卒中、死亡及頸內動脈再狹窄方面的風險相似,而CAS的遠期任何卒中、同側卒中和死亡或卒中聯合終點發生風險高于CEA。CEA仍是頸動脈狹窄患者治療的首選方法。
缺血性腦卒中是一種嚴重影響人們生活質量的疾病,具有高發病率、高致死率與高致殘率的特點。據報道,頸動脈狹窄占所有缺血性腦卒中病例的 20%~25%[1],它是引起缺血性腦卒中的主要病因之一,治療頸動脈狹窄可以有效降低腦卒中的發病率。目前頸動脈狹窄的治療方式包括內科藥物治療和頸動脈血運重建術,后者包括頸動脈內膜剝脫術(carotid endarterectomy,CEA)和頸動脈支架置入術(carotid artery stenting,CAS)[2]。雖然在傳統上 CEA 仍被視為頸動脈狹窄的經典治療方式,且已被確定為預防卒中的有效方法[3-5],但由于患者基礎合并癥、頸部解剖較差及手術并發癥,CEA 在臨床上具有一定的局限性。而 CAS 由于其微創性被考慮作為 CEA 的一種替代療法。大多數針對 CAS 的早期研究取得了不盡如人意的結果,但有研究者認為這些試驗存在一定的缺陷,例如干預者的經驗存在差異、使用了不同的支架系統等[2]。此外,CAS 技術在近幾年取得了進一步的發展,操作人員獲得了更多經驗。因此,關于 CEA 與 CAS 治療頸動脈狹窄的療效與安全性仍值得探討。目前,已有一定數量的 meta 分析通過匯總隨機對照試驗探討 CEA 與 CAS 在治療頸動脈狹窄方面的療效與安全性[6-9],但其多圍繞兩組患者圍手術期及術后短期表現進行討論。因此本研究對大型臨床隨機對照試驗進行了匯總,旨在分析比較 CEA 與 CAS 治療頸動脈狹窄的遠期療效。現報告如下。
1 資料與方法
1.1 納入與排除標準
1.1.1 納入標準
根據 PICOS 原則,采取以下標準:① 參與者(P):患者經臨床醫師根據超聲、CT 血管成像、MRI 血管成像或全腦血管造影術診斷為頸動脈狹窄;② 干預(I)和比較(C):CEA 與 CAS 比較;③ 結果(O):隨訪時間≥2 年且轉歸指標包括任何卒中事件、同側卒中事件、致死或致殘性卒中事件、任何死亡事件、卒中或死亡聯合終點以及頸內動脈再狹窄中的至少 1 項;④ 研究設計(S):國內外公開發表的隨機對照試驗,語種包括中文和英文。
1.1.2 排除標準
① 重復發表; ② 無法獲取全文;③ 動物實驗和基礎科學研究;④ 會議摘要;⑤ 研究對象合并嚴重器官衰竭。
1.2 檢索策略
采用計算機檢索所有目前公開發表的文獻。計算機文獻檢索數據包括 PubMed、Embase、Medline、Cochrane Library、中國知網中國全文期刊數據庫、萬方數據庫、維普中文科技期刊全文數據庫及中國生物醫學文獻服務系統(SinoMed),檢索自建庫至 2021 年 9 月 2 日收錄的文獻。同時手工檢索相關文獻以作補充(主要源于其他相關 meta 分析或綜述中的參考文獻)。英文檢索詞包括“arteries carotid*”“stents*”“carotid endarterectomy”“endarterectomy, carotid*”“randomized controlled trial*”和“randomized”。中文檢索詞包括“頸動脈支架置入”“頸動脈支架植入”“內膜剝脫”和“隨機對照”等。以 PubMed 為例,具體檢索策略見框1。

1.3 文獻質量評價
1.3.1 偏倚風險評估
由 2 名作者對納入文獻采用 Cochrane 偏倚風險評價工具來評估偏倚風險,評價指標包括:① 隨機分配方法;② 分配方案隱藏;③ 采用盲法(針對研究者和受試者);④ 采用盲法(針對結果的評價者);⑤ 結局數據的完整性;⑥ 選擇性報道研究結果;⑦ 其他偏倚。對以上 7 項指標作出“高風險”“低風險”和“不清楚”的判斷。如有分歧,通過與第三人共同討論判定。
1.3.2 證據質量及推薦等級
基于系統評價的結果,應用GRADE系統推薦分級方法評價證據質量及推薦等級[10]。證據質量分級如下:① 高質量(或 A):非常確信真實的效應值接近效應估計值;② 中等質量(或 B):對效應估計值有中等程度的信心,即真實值有可能接近估計值,但仍存在二者大不相同的可能性;③ 低質量(或 C):對效應估計值的確信程度有限,即真實值可能與估計值大不相同;④ 極低質量(或D):對效應估計值幾乎沒有信心,即真實值很可能與估計值大不相同。雖然基于隨機對照試驗得出的證據一開始被定為高質量,但我們對該類證據的信心可能會因為下面 5 個因素而降低:① 研究的局限性;② 研究結果的不一致;③ 間接證據;④ 結果不精確;⑤ 發表偏倚。同樣基于以下 3 個因素,證據可以升級:① 效應值很大;② 劑量-效應關系存在;③ 可能的混雜因素會降低療效。推薦等級分為“強推薦”和“弱推薦”:強推薦(或 1)表明評價者確信干預措施利大于弊或弊大于利,弱推薦(或 2)表明利弊不確定或無論高低質量的證據均顯示利弊相當。
1.4 統計學方法
采用 Stata 15.1 軟件生成森林圖進行統計分析。采用 CAS 相對于 CEA 的風險比(hazard ratio,HR)及其 95% 置信區間(confidence interval,CI)對結果進行描述。不能獲得HR的研究由 2 名作者運用 Engauge Digitizer 軟件提取生存曲線中的數據,計算 HR 及其 95%CI(各自計算至少 3 次,選取最接近的平均值進行分析),計算方法參考 Tierney 等[11]的方法。用 I2 檢測評價異質性,I2>50% 或 P<0.10 表示具有統計學異質性,此時采用隨機效應模型對數據進行合并(D+L overall),反之則采用固定效應模型(I-V overall)。
2 結果
2.1 檢索結果
本研究共檢索出相關文獻 2036 篇,剔除重復文獻后獲得 810 篇,閱讀題目和摘要排除 668 篇,對余下 142 篇進行全文閱讀。閱讀后剔除非隨機對照研究 7 篇、短期隨訪研究 74 篇、結局指標不一致研究 21 篇及樣本數量較少研究 20 篇,最后納入 20 篇文獻[12-31],共計9項研究(圖1)。

*具體包括:PubMed(
2.2 納入研究基本情況
納入的 20 篇文獻來自 9 項研究(部分文獻雖未作為 meta 分析 HR 數據的來源,但提供了研究的基本特征和質量評價的相關信息,因此被納入),語種均為英文,均為前瞻性隨機對照試驗,共納入 8551 例患者,其中 CAS 患者 4658 例,CEA 患者 3893 例;中位隨訪時間為 2~10 年(表 1)。Mannheim 等[12]、Brooks 等[13-15]和 CAVATAS [17-18] 研究的 CAS 組患者均未使用腦保護裝置,ACT-Ⅰ 研究[16]的 CAS 組全部使用了腦保護裝置,其余研究[19-31]均為部分使用腦保護裝置。

2.3 納入研究質量評價
7 項研究[16-31]使用計算機生成隨機樣本集,2 項研究[12-15]未描述隨機分配方法;6 項研究[16-22, 26-31]描述了分配隱藏方法;所有研究均報告了撤出患者的數量及原因。總的來說,納入研究質量均較高。見圖 2。

a. 文獻方法學質量評估各項占比;b. 各研究文獻方法學質量評估。①:隨機序列生成(選擇偏倚);②:分配隱藏(選擇偏倚);③:針對研究者和受試者采用盲法(實施偏倚);④:針對結果的評價者(檢出偏倚);⑤:結果數據不完整(退出偏倚);⑥:選擇性報道(報道偏倚);⑦:其他偏倚;綠色表示低偏倚風險,紅色表示高偏倚風險,黃色表示偏倚風險不清楚
2.4 轉歸指標 meta 分析
9 項研究結局轉歸指標情況詳見表2。

2.4.1 任何卒中事件
8 項研究[15-16, 18-19, 24-25, 27, 29, 31]報道了任何卒中事件數據,累計發生 807 例(CAS 489 例,CEA 318 例)。其中 5 項研究[18-19, 24-25, 27, 31]直接給出 HR 值,其余 3 項[15-16, 29]研究通過計算獲得 HR 值。各研究間無統計學異質性(P=0.260,I2=21.3%),采用固定效應模型進行合并,結果顯示 CAS 的任何卒中事件發生率高于 CEA,差異有統計學意義[HR=1.33,95%CI(1.16,1.52),P<0.0001]。見圖 3。

2.4.2 同側卒中事件
5 項研究[18, 20, 24-25, 27, 31]報道了同側卒中終點事件數據,累計發生 405 例(CAS 237 例,CEA 168 例)。均直接獲得 HR 值,各研究間無統計學異質性(P=0.766,I2=0%),采用固定效應模型進行合并,結果顯示 CAS 的同側卒中事件發生率高于 CEA,差異有統計學意義[HR=1.26,95%CI(1.02,1.55),P=0.034]。見圖 4。

2.4.3 致死或致殘性卒中事件
5 項研究[18-19, 25, 27, 31]可獲得致死或致殘性卒中事件數據,累計發生 300 例(CAS 165 例,CEA 135 例),均可直接獲得 HR 值。各研究間無統計學異質性(P=0.895,I2=0%),采用固定效應模型進行合并,結果顯示 CAS 與 CEA 的致死或致殘性卒中事件發生率差異無統計學意義[HR=1.19,95%CI(0.94,1.51),P=0.152]。見圖 5。

2.4.4 任何死亡事件
8 項研究[12, 16, 18, 21, 25, 27, 29, 31]報道了任何死亡事件數據,累計死亡 1181 例(CAS 658 例,CEA 523 例)。其中 6 項研究[12, 18, 21, 25, 27, 31]直接給出 HR 值,其余 2 項研究[16, 29]通過計算獲得 HR 值。各研究間無統計學異質性(P=0.620,I2=0%),采用固定效應模型進行合并,結果顯示 CAS 與 CEA 的任何死亡事件發生率差異無統計學意義[HR=1.06,95%CI(0.95,1.18),P=0.302]。見圖 6。

2.4.5 卒中或死亡聯合終點事件
7 項研究[15, 18-19, 24-25, 27, 29, 31]報道了卒中或死亡聯合終點事件數據,累計發生 1054 例(CAS 555 例,CEA 499 例)。其中 1 項研究[29]通過計算獲得 HR 值,其余 6 項研究[15, 18-19, 24-25, 27, 31]直接給出HR值。各研究間無統計學異質性(P=0.147,I2=36.9%),采用固定效應模型進行合并,結果顯示 CAS 的卒中或死亡聯合終點事件發生率高于 CEA,差異有統計學意義[HR=1.17,95%CI(1.02,1.33),P=0.021]。見圖 7。

2.4.6 頸內動脈再狹窄
4 項研究[12, 21, 25, 27]報道了頸內動脈再狹窄事件數據,累計發生 431 例(CAS 234 例,CEA 197 例),均可直接獲得HR值。各研究間無統計學異質性(P=0.473,I2=0%),采用固定效應模型進行合并,結果顯示 CAS 與 CEA 的頸內動脈再狹窄事件發生率差異無統計學意義[HR=1.20,95%CI(0.96,1.49),P=0.111]。見圖 8。

2.5 GRADE 系統證據質量
按照 GRADE 系統評價指標,以上 6 項結局指標中,遠期同側卒中、致死或致殘性卒中及再狹窄指標為中級證據,而任何卒中、遠期死亡、遠期死亡或卒中聯合重點為低級證據。見表 3。

3 討論
本研究旨在評估 CEA 與 CAS 治療頸動脈狹窄患者的遠期預后。結果顯示,兩組患者在遠期致死或致殘性卒中、死亡及頸內動脈再狹窄方面差異均無統計學意義(P>0.05);在任何卒中、同側卒中和死亡或卒中聯合終點方面,CEA 療效與安全性高于 CAS。這提示 CEA 對頸動脈狹窄患者的長期預后有更有利的影響,應繼續作為頸動脈狹窄患者的首選治療方法。
我們的研究結果與 Vincent 等[32]和張鵬飛等[33]的研究結果相似,但在其基礎上納入了更多的研究以獲得更準確的結果,且本研究的所有結果均提示異質性較小,增強了數據的可信性。
在所有研究中,EVA-3S 研究[23-25]在任何卒中、同側卒中及再狹窄方面似乎更傾向于 CAS,雖然差異無統計學意義。EVA-3S 研究[23-25]和 CAVATAS 研究[17-18]中患者的死亡及卒中或死亡聯合終點事件發生率較其他研究明顯增高,這可能與腦保護裝置的不充分使用有關。
CEA 的限制性主要在于患者的一般情況及頸部解剖。對于患有嚴重合并癥尤其是心臟病的患者,CEA 具有很高的危險性。不利的外科解剖位置導致手術困難也限制了 CEA 的應用。而頸動脈的斑塊形態及血管解剖可影響 CAS 預后[2]。使用 MRI 血管成像的美國心臟協會分級系統[34]指出,Ⅵ 型斑塊(斑塊內出血或纖維帽破裂)與高危卒中風險相關。CAS 通路的血管解剖異常(如髂動脈、腹主動脈或頸內動脈遠端迂曲)可能使手術復雜化,影響預后。
本研究存在一定局限性:① 支架類型的不同及腦保護裝置的使用率差異可能會對結果產生一定的影響;② 各研究中手術操作人員的技術水平及熟練程度的差異可能會導致偏倚的產生;③ 納入研究隨訪時間差異較大,可能造成結果的差異。
我們采用了 GRADE 系統對結局指標進行了證據分級及強度推薦。按照 GRADE 系統評價指標,以上 6 項結果中的遠期同側卒中、致死或致殘性卒中及再狹窄指標為中級證據,其余 3 項為低級證據,原因包括:① 所有研究均采取了分配隱藏和雙盲,其中 2 項研究[12-15]未具體描述隨機序列生成方法,3 項研究[12-15, 23-25]未詳細描述分配隱藏情況;② 3 項低質量結局指標中有小部分研究未直接給出 HR 值,而是通過計算獲得,已在上文描述。本研究的主要結局均為“重要”及“關鍵性”結局指標。
總的來說,CEA和CAS在遠期致死或致殘性卒中、死亡及頸內動脈再狹窄方面的風險相似,而CAS的遠期任何卒中、同側卒中和死亡或卒中聯合終點發生風險高于CEA。CEA仍是頸動脈狹窄患者治療的首選方法。