引用本文: 林瑜, 張小芬, 何潔, 趙本華, 賴圳賓, 趙澤宇, 于曉姍, 陳江慧, 林修羽, 蘇艷華, 劉剛. 產前滴滴涕或多氯聯苯暴露與出生缺陷風險相關性的 Meta 分析. 中國循證醫學雜志, 2018, 18(4): 365-372. doi: 10.7507/1672-2531.201707129 復制
滴滴涕(dichlorodiphenyltrichloroethane,DDT)和多氯聯苯(polychlorinated biphenyls,PCBs)是典型的持續性有機污染物(persistent organic pollutants,POPs)。這類物質的共同特點是可通過食物鏈(網)累積,能持久存在于環境中,具有較長半衰期、生物蓄積性及生物放大效應,且可對人類健康造成各種有害影響[1]。二戰前后,DDT 憑借其低廉的成本和良好的殺蟲效果,在全世界大規模使用,但人們逐漸發現 DDT 可對環境生態及物種多樣性造成嚴重破壞,并具有長達 8 年的生物半衰期[2]。雖然大部分國家已全面禁止使用 DDT 多年,但直至今天,絕大部分人群的母乳和血液中依然可檢測到 DDT[3, 4],即使遠在南極的企鵝體內也可檢測到 DDT 的存在[5]。此外,近年來瘧疾的卷土重來,導致非洲一些國家又恢復了 DDT 的使用[6]。和 DDT 類似,PCBs 也是難以降解的環境污染物,20 世紀 70 年代前在發達國家應用廣泛。1968 年和 1979 年,PCBs 在日本和臺灣造成了兩起災難性的米糠油事件。此后大部分國家也禁止了 PCBs 的生產和使用。但 PCBs 至今仍可在大多數人體中檢測到[7]。
像 DDT 和 PCBs 這類 POPs 具有較強的生物蓄積性,可干擾人體內源激素的產生和代謝過程,對人體神經系統、免疫系統和生殖系統產生影響,進而導致各種疾病發生。有研究表明 POPs 可能與新生兒各種出生缺陷有關。Gaspari 等[8]發現曾經從事過抗瘧、殺蟲工作的父母,生出的男孩發生生殖器畸形的比例更高。Longnecker 等[9]研究顯示妊娠期流產與母體內高水平 DDT 有關。Bornman 等[10]發現在曾噴灑過 DDT 地方居住的母親,后代泌尿生殖道畸形發病率更高。Govarts 等[11]研究表明,母體血清內 PCBs 含量較高會導致新生兒的出生體重偏低。但是,一項丹麥和芬蘭的隊列研究結果卻顯示 PCBs 對于降低新生兒隱睪的發病風險具有一定的保護作用[12]。目前有關 DDT 和 PCBs 的原始研究數量雖多,但結論尚不統一。因此,本文系統評價產前 DDT 和 PCBs 暴露與出生缺陷的關系,以期為臨床實踐提供依據。
1 資料與方法
1.1 納入與排除標準
1.1.1 研究類型
國內外公開發表的病例-對照研究。
1.1.2 研究對象
病例組:有出生缺陷的患兒;對照組:出生于同一家醫院或是與病例組處于同一個出生隊列、沒有出生缺陷的嬰幼兒。病例組與對照組在母親年齡,孕前體重指數(BMI)、血壓、糖尿病、吸煙情況、母親職業、教育水平等方面相匹配。
1.1.3 暴露因素
通過檢測母親或嬰幼兒生物樣本中的 DDT 或 PCBs 水平,來判斷母親產前是否暴露于高水平的 DDT 或 PCBs。
1.1.4 結局指標
隱睪、尿道下裂、神經管畸形等出生缺陷發生率。
1.1.5 排除標準
① 非流行病學研究,如體外細胞研究或動物實驗;② 暴露因素是職業暴露,或者暴露的因素不是 DDT 或 PCBs;③ 結局指標不是出生缺陷;④ 原始研究未提供 OR 值,且沒有提供可以計算它們的原始數據。
1.2 文獻檢索策略
參考 MOOSE(meta-analysis of observational studies in epidemiology)報告規范[13]進行 Meta 分析。計算機檢索 PubMed、EMbase、WanFang Data、VIP 和 CNKI 數據庫,搜集有關產前 DDT 或 PCBs 暴露與出生缺陷關系的病例-對照研究,檢索時限均從建庫至 2017 年 2 月。中文檢索詞包括:DDT、滴滴涕、雙對氯苯基三氯乙烷、有機氯農藥、PCBs、多氯聯苯、持久性有機污染物、先天畸形、出生缺陷、產前異常、先天性心臟病、唇裂、神經管畸形、隱睪、尿道下裂等;英文檢索詞包括:dichlorodiphenyltrichloroethane、DDT、organochlorine pesticide、polychlorinated biphenyls、PCBs、persistent organic pollutants、congenital abnormalities、birth defects、congenital anomalies、cardiac anomalies、congenital heart disease、oral clefts、neural tube defects、cryptorchidism、hypospadias 等。以 PubMed 為例,具體檢索策略見框 1。

1.3 文獻篩選與資料提取
由 2 名研究者獨立篩選文獻、提取資料并交叉核對。若有分歧,則通過討論或與第三方協商解決。如有需要,通過郵件、電話聯系原始研究作者獲取未確定但對本研究非常重要的信息。資料提取內容包括:① 納入研究的基本信息:研究題目、第一作者、研究所在地等;② 研究對象的基線特征;③ 偏倚風險評價的關鍵要素;④ 所關注的結局指標和結果測量數據。
1.4 納入研究的偏倚風險評價
由 2 位研究者獨立評價納入研究的偏倚風險,并交叉核對結果。對病例-對照研究的偏倚風險評價采用渥太華-紐卡斯爾(NOS)量表[14]進行。
1.5 統計分析
采用 Stata 13.0 軟件進行統計分析。二分類變量采用比值比(OR)為效應分析統計量,各效應量均提供其 95%CI。納入研究結果間的異質性采用 χ2檢驗進行分析(檢驗水準為 α=0.1),同時結合 I2定量判斷異質性大小。若各研究結果間無統計學異質性,則采用固定效應模型進行 Meta 分析;若各研究結果間存在統計學異質性,則進一步分析異質性來源,在排除明顯臨床異質性的影響后,采用隨機效應模型進行 Meta 分析。Meta 分析的水準設為 α=0.05。明顯的臨床異質性采用亞組分析或敏感性分析等方法進行處理,或只行描述性分析。
2 結果
2.1 文獻篩選流程及結果
初檢共獲得相關文獻 1 334 篇,經逐層篩選后,最終納入 14 個病例-對照研究[15-28]。文獻篩選流程及結果見圖 1。

2.2 納入研究基本特征與偏倚風險評價結果


2.3 Meta 分析結果
2.3.1 DDT 暴露與隱睪發生風險的相關性
共納入 5 個研究[17, 18, 21, 22, 25],包括病例組 485 例,對照組 1 112 例。固定效應模型 Meta 分析結果顯示:母親孕期暴露于高水平的 DDT,其產下的男嬰隱睪發生風險更高[OR=1.12,95%CI(1.09,1.15),P<0.001](圖 2)。

2.3.2 PCBs 暴露與隱睪發生風險的相關性
共納入 3 個研究[20, 21, 23],包括病例組 368 例,對照組 721 例。隨機效應模型 Meta 分析結果顯示:產前 PCBs 暴露與隱睪畸形發生風險的相關性無統計學意義[OR=1.49,95%CI(0.79,2.81),P=0.213](圖 3)。

2.3.3 DDT 暴露與尿道下裂發生風險的相關性
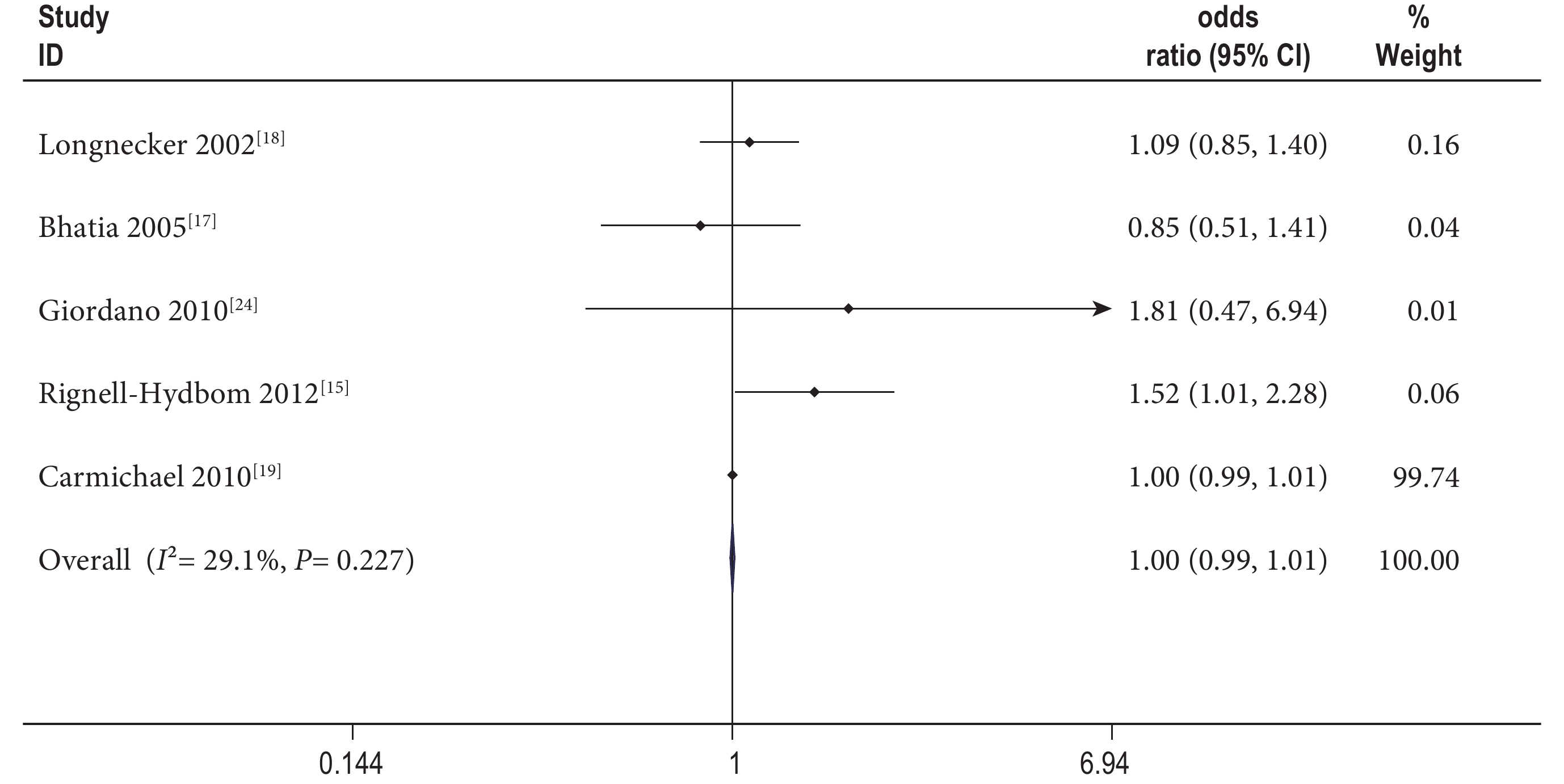
共納入 5 個研究[15, 17-19, 24],包括病例組 588 例,對照組 1 254 例。固定效應模型 Meta 分析結果顯示:孕期 DDT 暴露與尿道下裂發生風險的相關性無統計學意義[OR=1.00,95%CI(0.99,1.01),P=0.944]。

2.3.4 PCBs 暴露與尿道下裂發生風險的相關性
共納入 4 個研究[15, 19, 23, 24],包括病例組 513 例,對照組 885 例。固定效應模型 Meta 分析結果顯示:產前 PCBs 暴露與尿道下裂發生風險的相關性無統計學意義[OR=1.00,95%CI(0.98,1.03),P=0.761](圖 5)。

2.3.5 DDT、PCBs 暴露與神經管畸形發生風險的相關性
神經管畸形有不同的類型,包括無腦兒、腦膨出、腦脊髓膜膨出、脊柱裂等,但本 Meta 分析僅納入 2 個研究[26, 28],針對的神經管畸形類型也不同。隨機效應模型 Meta 分析結果提示 DDT 暴露與神經管畸形的相關性無統計學意義(圖 6)。另有 2 個研究[16, 27]報道了 PCBs 暴露與神經管畸形發生風險的相關性,固定效應模型 Meta 分析結果顯示兩者的相關性無統計學意義[OR=0.86,95%CI(0.61,1.22)]。


3 討論
DDT 和 PCBs 是典型的 POPs,能持久存在于人體內。本 Meta 分析納入研究檢測了 DDT 與 PCBs 暴露水平的生物樣本包括妊娠晚期的母體血樣、出生時的胎盤、出生后進行手術兒童的脂肪組織和哺乳期母乳等。有研究表明 POPs 可在母體和胎兒之間轉移,母體和胎兒接觸到的 POPs 存在比例關系[29]。一項研究顯示 DDT 代謝產物的濃度在脂肪組織和血清之間有正相關關系[30];一項來自中國的研究發現脂肪組織和相對應的血清樣品的化合物水平高度相關[31]。因此,盡管納入研究使用的生物樣本不同,但均可用來評估胎兒在宮內接觸到的 DDT 或 PCBs 的水平。因 POPs 的生物半衰期較長,在幾個月的時間內其在體內的水平幾乎沒有明顯波動,故在嬰兒出生前后一定時間內,其檢測水平可以代表孕早期母體內的暴露水平。
本研究顯示出生缺陷主要包括隱睪、尿道下裂和神經管畸形。有研究提出,隱睪和尿道下裂的發生受不同基因遺傳的影響,但同時也受環境因素影響[32]。DDT 和 PCBs 屬于內分泌干擾物,也被稱為環境雌激素,可通過干擾體內正常激素的作用,導致睪丸間質細胞和支持細胞難以成熟,進而導致隱睪等出生缺陷的發生。9~12 周是胎兒在母體內性別分化時期,對外源性雌激素極為敏感,因此 DDT 和 PCBs 等環境內分泌干擾物極可能在胚胎時期對胎兒的正常發育過程產生影響。Kelce 等[33]發現 63.6ng/mL 的 DDE(DDT 代謝產物之一)已足以抑制體外雄激素受體的轉錄活性。Bowerman 等[34]的研究發現,禿鷲生殖力的變化趨勢與同齡群體血漿中測定的 DDE 水平成反比。由于神經管畸形的病因非常復雜,雖然目前已知補充葉酸可降低胎兒神經管畸形風險。但另有 30%~50% 的神經管畸形發生補充葉酸無法預防,其潛在的危險因素仍在探討之中。有流行病學研究已提示了職業農藥暴露與神經管畸形風險之間可能存在關聯性[35, 36]。因本 Meta 分析納入標準較嚴格,僅納入必須檢測生物樣本中 POPs 含量的文獻,故符合要求的文獻數量較少。雖然本 Meta 分析結果說明孕期暴露于 DDT 不是神經管畸形發病的危險因素,但這一結果可能存在較大偏倚,應當謹慎對待。
本系統評價還存在一定的局限性:① 納入的文獻均為英文文獻,可能存在發表偏倚;② 各納入研究測定生物樣本中 DDT 或 PCBs 水平的方法和儀器存在差異,可能導致測量偏倚;③ 盡管納入研究數量有 14 個,但是針對不同因素與不同疾病相關性研究的數量較少,而且方法學質量不高,影響結果的準確性。
綜上所述,當前證據表明,產前暴露于高水平的 DDT 可能是隱睪發生的危險因素,建議繼續禁用 DDT 類有機氯農藥。DDT 暴露與尿道下裂和神經管畸形沒有明顯相關關系;PCBs 暴露與隱睪、尿道下裂和神經管畸形也沒有明顯相關關系。受納入研究數量和質量的限制,上述結論尚待更多高質量研究予以驗證。
滴滴涕(dichlorodiphenyltrichloroethane,DDT)和多氯聯苯(polychlorinated biphenyls,PCBs)是典型的持續性有機污染物(persistent organic pollutants,POPs)。這類物質的共同特點是可通過食物鏈(網)累積,能持久存在于環境中,具有較長半衰期、生物蓄積性及生物放大效應,且可對人類健康造成各種有害影響[1]。二戰前后,DDT 憑借其低廉的成本和良好的殺蟲效果,在全世界大規模使用,但人們逐漸發現 DDT 可對環境生態及物種多樣性造成嚴重破壞,并具有長達 8 年的生物半衰期[2]。雖然大部分國家已全面禁止使用 DDT 多年,但直至今天,絕大部分人群的母乳和血液中依然可檢測到 DDT[3, 4],即使遠在南極的企鵝體內也可檢測到 DDT 的存在[5]。此外,近年來瘧疾的卷土重來,導致非洲一些國家又恢復了 DDT 的使用[6]。和 DDT 類似,PCBs 也是難以降解的環境污染物,20 世紀 70 年代前在發達國家應用廣泛。1968 年和 1979 年,PCBs 在日本和臺灣造成了兩起災難性的米糠油事件。此后大部分國家也禁止了 PCBs 的生產和使用。但 PCBs 至今仍可在大多數人體中檢測到[7]。
像 DDT 和 PCBs 這類 POPs 具有較強的生物蓄積性,可干擾人體內源激素的產生和代謝過程,對人體神經系統、免疫系統和生殖系統產生影響,進而導致各種疾病發生。有研究表明 POPs 可能與新生兒各種出生缺陷有關。Gaspari 等[8]發現曾經從事過抗瘧、殺蟲工作的父母,生出的男孩發生生殖器畸形的比例更高。Longnecker 等[9]研究顯示妊娠期流產與母體內高水平 DDT 有關。Bornman 等[10]發現在曾噴灑過 DDT 地方居住的母親,后代泌尿生殖道畸形發病率更高。Govarts 等[11]研究表明,母體血清內 PCBs 含量較高會導致新生兒的出生體重偏低。但是,一項丹麥和芬蘭的隊列研究結果卻顯示 PCBs 對于降低新生兒隱睪的發病風險具有一定的保護作用[12]。目前有關 DDT 和 PCBs 的原始研究數量雖多,但結論尚不統一。因此,本文系統評價產前 DDT 和 PCBs 暴露與出生缺陷的關系,以期為臨床實踐提供依據。
1 資料與方法
1.1 納入與排除標準
1.1.1 研究類型
國內外公開發表的病例-對照研究。
1.1.2 研究對象
病例組:有出生缺陷的患兒;對照組:出生于同一家醫院或是與病例組處于同一個出生隊列、沒有出生缺陷的嬰幼兒。病例組與對照組在母親年齡,孕前體重指數(BMI)、血壓、糖尿病、吸煙情況、母親職業、教育水平等方面相匹配。
1.1.3 暴露因素
通過檢測母親或嬰幼兒生物樣本中的 DDT 或 PCBs 水平,來判斷母親產前是否暴露于高水平的 DDT 或 PCBs。
1.1.4 結局指標
隱睪、尿道下裂、神經管畸形等出生缺陷發生率。
1.1.5 排除標準
① 非流行病學研究,如體外細胞研究或動物實驗;② 暴露因素是職業暴露,或者暴露的因素不是 DDT 或 PCBs;③ 結局指標不是出生缺陷;④ 原始研究未提供 OR 值,且沒有提供可以計算它們的原始數據。
1.2 文獻檢索策略
參考 MOOSE(meta-analysis of observational studies in epidemiology)報告規范[13]進行 Meta 分析。計算機檢索 PubMed、EMbase、WanFang Data、VIP 和 CNKI 數據庫,搜集有關產前 DDT 或 PCBs 暴露與出生缺陷關系的病例-對照研究,檢索時限均從建庫至 2017 年 2 月。中文檢索詞包括:DDT、滴滴涕、雙對氯苯基三氯乙烷、有機氯農藥、PCBs、多氯聯苯、持久性有機污染物、先天畸形、出生缺陷、產前異常、先天性心臟病、唇裂、神經管畸形、隱睪、尿道下裂等;英文檢索詞包括:dichlorodiphenyltrichloroethane、DDT、organochlorine pesticide、polychlorinated biphenyls、PCBs、persistent organic pollutants、congenital abnormalities、birth defects、congenital anomalies、cardiac anomalies、congenital heart disease、oral clefts、neural tube defects、cryptorchidism、hypospadias 等。以 PubMed 為例,具體檢索策略見框 1。

1.3 文獻篩選與資料提取
由 2 名研究者獨立篩選文獻、提取資料并交叉核對。若有分歧,則通過討論或與第三方協商解決。如有需要,通過郵件、電話聯系原始研究作者獲取未確定但對本研究非常重要的信息。資料提取內容包括:① 納入研究的基本信息:研究題目、第一作者、研究所在地等;② 研究對象的基線特征;③ 偏倚風險評價的關鍵要素;④ 所關注的結局指標和結果測量數據。
1.4 納入研究的偏倚風險評價
由 2 位研究者獨立評價納入研究的偏倚風險,并交叉核對結果。對病例-對照研究的偏倚風險評價采用渥太華-紐卡斯爾(NOS)量表[14]進行。
1.5 統計分析
采用 Stata 13.0 軟件進行統計分析。二分類變量采用比值比(OR)為效應分析統計量,各效應量均提供其 95%CI。納入研究結果間的異質性采用 χ2檢驗進行分析(檢驗水準為 α=0.1),同時結合 I2定量判斷異質性大小。若各研究結果間無統計學異質性,則采用固定效應模型進行 Meta 分析;若各研究結果間存在統計學異質性,則進一步分析異質性來源,在排除明顯臨床異質性的影響后,采用隨機效應模型進行 Meta 分析。Meta 分析的水準設為 α=0.05。明顯的臨床異質性采用亞組分析或敏感性分析等方法進行處理,或只行描述性分析。
2 結果
2.1 文獻篩選流程及結果
初檢共獲得相關文獻 1 334 篇,經逐層篩選后,最終納入 14 個病例-對照研究[15-28]。文獻篩選流程及結果見圖 1。

2.2 納入研究基本特征與偏倚風險評價結果


2.3 Meta 分析結果
2.3.1 DDT 暴露與隱睪發生風險的相關性
共納入 5 個研究[17, 18, 21, 22, 25],包括病例組 485 例,對照組 1 112 例。固定效應模型 Meta 分析結果顯示:母親孕期暴露于高水平的 DDT,其產下的男嬰隱睪發生風險更高[OR=1.12,95%CI(1.09,1.15),P<0.001](圖 2)。

2.3.2 PCBs 暴露與隱睪發生風險的相關性
共納入 3 個研究[20, 21, 23],包括病例組 368 例,對照組 721 例。隨機效應模型 Meta 分析結果顯示:產前 PCBs 暴露與隱睪畸形發生風險的相關性無統計學意義[OR=1.49,95%CI(0.79,2.81),P=0.213](圖 3)。

2.3.3 DDT 暴露與尿道下裂發生風險的相關性
共納入 5 個研究[15, 17-19, 24],包括病例組 588 例,對照組 1 254 例。固定效應模型 Meta 分析結果顯示:孕期 DDT 暴露與尿道下裂發生風險的相關性無統計學意義[OR=1.00,95%CI(0.99,1.01),P=0.944]。

2.3.4 PCBs 暴露與尿道下裂發生風險的相關性
共納入 4 個研究[15, 19, 23, 24],包括病例組 513 例,對照組 885 例。固定效應模型 Meta 分析結果顯示:產前 PCBs 暴露與尿道下裂發生風險的相關性無統計學意義[OR=1.00,95%CI(0.98,1.03),P=0.761](圖 5)。

2.3.5 DDT、PCBs 暴露與神經管畸形發生風險的相關性
神經管畸形有不同的類型,包括無腦兒、腦膨出、腦脊髓膜膨出、脊柱裂等,但本 Meta 分析僅納入 2 個研究[26, 28],針對的神經管畸形類型也不同。隨機效應模型 Meta 分析結果提示 DDT 暴露與神經管畸形的相關性無統計學意義(圖 6)。另有 2 個研究[16, 27]報道了 PCBs 暴露與神經管畸形發生風險的相關性,固定效應模型 Meta 分析結果顯示兩者的相關性無統計學意義[OR=0.86,95%CI(0.61,1.22)]。


3 討論
DDT 和 PCBs 是典型的 POPs,能持久存在于人體內。本 Meta 分析納入研究檢測了 DDT 與 PCBs 暴露水平的生物樣本包括妊娠晚期的母體血樣、出生時的胎盤、出生后進行手術兒童的脂肪組織和哺乳期母乳等。有研究表明 POPs 可在母體和胎兒之間轉移,母體和胎兒接觸到的 POPs 存在比例關系[29]。一項研究顯示 DDT 代謝產物的濃度在脂肪組織和血清之間有正相關關系[30];一項來自中國的研究發現脂肪組織和相對應的血清樣品的化合物水平高度相關[31]。因此,盡管納入研究使用的生物樣本不同,但均可用來評估胎兒在宮內接觸到的 DDT 或 PCBs 的水平。因 POPs 的生物半衰期較長,在幾個月的時間內其在體內的水平幾乎沒有明顯波動,故在嬰兒出生前后一定時間內,其檢測水平可以代表孕早期母體內的暴露水平。
本研究顯示出生缺陷主要包括隱睪、尿道下裂和神經管畸形。有研究提出,隱睪和尿道下裂的發生受不同基因遺傳的影響,但同時也受環境因素影響[32]。DDT 和 PCBs 屬于內分泌干擾物,也被稱為環境雌激素,可通過干擾體內正常激素的作用,導致睪丸間質細胞和支持細胞難以成熟,進而導致隱睪等出生缺陷的發生。9~12 周是胎兒在母體內性別分化時期,對外源性雌激素極為敏感,因此 DDT 和 PCBs 等環境內分泌干擾物極可能在胚胎時期對胎兒的正常發育過程產生影響。Kelce 等[33]發現 63.6ng/mL 的 DDE(DDT 代謝產物之一)已足以抑制體外雄激素受體的轉錄活性。Bowerman 等[34]的研究發現,禿鷲生殖力的變化趨勢與同齡群體血漿中測定的 DDE 水平成反比。由于神經管畸形的病因非常復雜,雖然目前已知補充葉酸可降低胎兒神經管畸形風險。但另有 30%~50% 的神經管畸形發生補充葉酸無法預防,其潛在的危險因素仍在探討之中。有流行病學研究已提示了職業農藥暴露與神經管畸形風險之間可能存在關聯性[35, 36]。因本 Meta 分析納入標準較嚴格,僅納入必須檢測生物樣本中 POPs 含量的文獻,故符合要求的文獻數量較少。雖然本 Meta 分析結果說明孕期暴露于 DDT 不是神經管畸形發病的危險因素,但這一結果可能存在較大偏倚,應當謹慎對待。
本系統評價還存在一定的局限性:① 納入的文獻均為英文文獻,可能存在發表偏倚;② 各納入研究測定生物樣本中 DDT 或 PCBs 水平的方法和儀器存在差異,可能導致測量偏倚;③ 盡管納入研究數量有 14 個,但是針對不同因素與不同疾病相關性研究的數量較少,而且方法學質量不高,影響結果的準確性。
綜上所述,當前證據表明,產前暴露于高水平的 DDT 可能是隱睪發生的危險因素,建議繼續禁用 DDT 類有機氯農藥。DDT 暴露與尿道下裂和神經管畸形沒有明顯相關關系;PCBs 暴露與隱睪、尿道下裂和神經管畸形也沒有明顯相關關系。受納入研究數量和質量的限制,上述結論尚待更多高質量研究予以驗證。