引用本文: 王文雅, 林江濤, 劉春濤, 唐華平, 霍建民, 顧玉海, 劉榮玉, 陳萍, 袁雅冬, 楊曉紅, 許建英, 孫德俊, 李娜嘉, 姜淑娟, 陳一強, 王長征, 楊嵐, 劉曉菊, 楊冬, 張偉, 陳卓昌, 林其昌, 周建英, 周新, 胡成平, 蔣萍, 周瑋, 張捷, 蔡紹曦, 邱晨, 黃茂, 黃奕江, 劉輝國, 中國哮喘研究協作組. 哮喘治療依從性與肺功能和控制水平的相關性分析. 中國呼吸與危重監護雜志, 2022, 21(11): 761-767. doi: 10.7507/1671-6205.202201015 復制
支氣管哮喘(簡稱哮喘)是由多種細胞和組分導致的慢性氣道炎癥性疾病,具有反復發作的特征。隨著人們生活環境和方式的改變,哮喘的發病率和病死率呈逐年增加趨勢。我國哮喘患病率及相關危險因素流行病學調查(CARE研究)顯示14歲以上人群哮喘患病率為1.24%[1],哮喘患者總人數達4000萬。目前全球約有3億哮喘患者,預測2025年將達到4億[2]。全球哮喘防控工作仍面臨巨大挑戰。哮喘雖尚不能根治,但通過規范化診治和患者管理,可達到良好控制[3-4],關鍵取決于患者對健康行為的依從性。我國僅28.7%的患者可達到哮喘控制[5],遠遠低于GINA提出的哮喘長期管理目標。哮喘控制不佳可導致患者住院和急診就醫增加,給個人和社會均造成巨大經濟負擔。而依從性差和吸入糖皮質激素不足可能是導致我國哮喘患者控制率和生活質量較低的主要原因[6],但目前我國哮喘患者依從性的數據相對缺乏,依從性與疾病控制的相關性也有待研究進一步證實。本研究以依從性差且哮喘控制不佳的成人哮喘患者作為研究對象,探討我國哮喘治療依從性與肺功能及氣道炎癥水平、哮喘控制水平和患者生活質量的相關性,為哮喘患者的防控和治療提供參考依據。
1 資料與方法
1.1 臨床資料
《全國移動哮喘評估與管理項目》(CARN 2016-01 注冊號:NCT02917174)是一項由中國哮喘研究協作組開展的全國多中心、前瞻性、隨機對照研究,經中日友好醫院倫理委員會批準。2017年4月—2018年4月,研究對象來自中日友好醫院、四川大學華西醫院、青島市立醫院、哈爾濱醫科大學第一附屬醫院、青海省人民醫院、安徽醫科大學第一附屬醫院、北部戰區總醫院、河北醫科大學第二附屬醫院、新疆維吾爾自治區人民醫院、山西白求恩醫院、內蒙古人民醫院、大慶油田總醫院、山東省人民醫院、廣西醫科大學第一附屬醫院、陸軍軍醫大學新橋醫院、西安交通大學附屬第一醫院、蘭州大學第一醫院、復旦大學附屬中山醫院、南昌大學第一附屬醫院、河南省人民醫院、福建醫科大學第一附屬醫院、浙江大學醫學院第一附屬醫院、上海交通大學附屬上海市第一人民醫院、中南大學湘雅醫院、天津市第一中心醫院、寧夏醫科大學總醫院、吉林大學第二醫院、南方科技大學南方醫院、暨南大學第二臨床醫學院深圳市人民醫院、南京醫科大學附屬第一醫院、海南省人民醫院、華中科技大學同濟醫學院附屬同濟醫院呼吸與危重癥醫學科或呼吸科,共28個省市32家三甲醫院。以治療依從性不佳且未達到哮喘控制的入組《全國移動哮喘評估與管理項目》的哮喘患者作為研究對象。所有符合入組標準的患者將納入研究并簽署知情同意書。研究入排標準如下:
(1)入組標準:① 年齡≥18周歲;② 符合GINA 2016指南定義的診斷標準[7],診斷哮喘≥3 個月;③ 半年內曾經使用吸入性糖皮質激素;④ 用藥依從性差[哮喘用藥依從性量表(Medication Adherence Report Scale for Asthma,MARS-A)平均分<4.5];⑤ 目前哮喘未達良好控制[哮喘控制測試(Asthma Control Test,ACT)評分<20];⑥ 自愿加入本研究,并簽署書面知情同意書。
(2)排除標準:① 存在視力、聽力、語言障礙等造成交流困難,有精神疾病或心理問題;② 曾因哮喘急性發作行氣管插管或機械通氣病史;③ 合并慢性阻塞性肺疾病、支氣管擴張等結構性肺部疾病;④ 4周內因呼吸道感染應用抗菌藥物治療;⑤ 存在未控制的冠心病、腎功能衰竭、高血壓等其他顯著增加病死率的疾病;⑥ 育齡期婦女合并妊娠或計劃1年內妊娠。
1.2 方法
1.2.1 調查問卷
采用統一制定的調查問卷,內容包括患者的一般資料(年齡、性別、身高、體重、病程和文化程度等)、過去1年中因哮喘急性發作而住院或急診就醫情況、肺功能及氣道炎癥水平、哮喘控制水平、用藥依從性、生活質量以及對哮喘疾病的認知情況。
哮喘患者治療依從性通過MARS-A評分進行評估,根據過去4周用藥情況設10個問題,每個問題采用1~5分評分,每題分數相加得總分,以平均分≥4.5分定義為依從性良好,平均分<4.5分為依從性不佳。哮喘認知水平通過4道哮喘相關選擇題的回答情況進行評估:① 你認為哮喘是一種什么樣的疾病?(單選)A. 感染性疾病;B. 遺傳和環境共同作用的氣道炎癥性疾病;C. 遺傳性疾病;D. 先天性疾病。② 如果你每周均有哮喘相關癥狀,你認為應首選哪類藥物作為您的一線治療藥物?(多選)A. 口服茶堿類藥物;B. 吸入或口服短效β2激動劑;C. 長效β2激動劑吸入劑;D. 長效抗膽堿能藥物吸入劑;E. 口服抗組胺藥物;F. 吸入型糖皮質激素或復合制劑;G. 口服激素(如強的松、強的松龍、甲基強的松龍、地塞米松等);H. 白三烯調節劑(如孟魯司特鈉);I. 中成藥;J. “偏方”或“秘方”;K. 其它(請注明:______)。③ 短效β2激動劑氣霧劑你認為在什么情況下使用最合理?(單選)A. 癥狀加重或急性發作時按需使用;B. 長期規律使用以控制癥狀;C. 臨睡前使用控制夜間哮喘癥狀。④ 關于哮喘的治療目標你認為哪項最合理?(單選)A. 可以根治;B. 可以長期良好控制或完全控制;C. 無有效治療方法。哮喘控制水平和哮喘患者生活質量分別通過ACT評分和簡略哮喘生命質量評分表(the Mini Asthma Quality of Life Questionnaire,mini-AQLQ)評分進行評估。
1.2.2 調查方法
充分向患者講解問卷調查的目的和內容,采用面對面相互交流的方式填寫調查問卷。填寫過程中注意避免誘導性提問,要求患者在20 min內完成問卷并當場收回。肺功能測定根據中華醫學會呼吸病學分會肺功能專業組2014年制定的肺功能檢查指南[8],并進行相應質量控制,測定前均進行環境測試及肺計量校準。呼出氣一氧化氮(fractional exhaled nitric oxide,FeNO)測定根據美國胸科學會2011年FENO臨床應用指南[9],并進行相應質量控制。所有調查問卷完成后,由各項目中心負責人和項目組成員通過賬戶名和密碼登錄在線錄入管理平臺錄入數據。所有紙質版調查表及受試者簽署的知情同意書將在研究結束后一周內由各中心負責人統一郵寄至項目總負責人單位處保存。
1.3 統計學方法
采用SAS 9.2統計軟件。計量資料呈正態分布時用均數±標準差描述,非正態分布時用中位數(P25,P75)表示,計數資料采用率、構成比、相對比等表示。計量資料呈正態分布時兩組間比較采用雙側t檢驗,組內比較采用配對t檢驗,計量資料非正態分布時兩組間比較采用Mann-Whitney U檢驗,組內比較采用Wilcoxon符號秩檢驗,率比較采用χ2檢驗。P<0.05為差異有統計學意義。
2 結 果
2.1 調查對象基本情況
2.1.1 一般資料
調查共計923例,調查問卷回收率100%。其中男388例(42.04%),女535例(57.96%),調查人群中年齡最小者18歲,最大99歲,年齡為45(34,55)歲。平均身高為(164.81±8.20)cm,平均體重(64.98±12.54)kg。本科及以上學歷325例(35.21%),本科以下學歷598例(64.79%)。其中本地(問卷調查醫院本省市患者)隨訪860例(93.17%),外地(問卷調查醫院非本省市患者)隨訪63例(6.83%)。
2.1.2 哮喘相關資料
調查人群中哮喘病程時長52.50(19.50,141.50)個月,在過去1年中因哮喘急性發作平均急診就醫(0.53±1.30)次,平均住院(0.31±0.83)次。ACT評分為16(14,19)分。MARS-A評分33.5(27.5,39.5)分,AQLQ評分65(56,75)分。肺功能中第1秒用力呼氣容積(forced expiratory volume in one second,FEV1)為(2.46±0.86)L,用力肺活量(forced vital capacity,FVC)為(3.42±0.96)L,最大呼氣流量(maximal expiratory flow,MEF)為(6.09±2.29)L/s。FENO 22(44,74)ppb。其中合并阻塞性通氣功能障礙者378例(40.95%),不合并阻塞性通氣功能障礙者545例(59.05%)。
2.1.3 哮喘疾病認知水平
哮喘疾病認知相關問題回答完全正確者占243例(26.33%),哮喘疾病認知相關問題不能完全回答正確者占680例(73.67%)。
2.2 治療依從性與患者肺功能和氣道炎癥水平的相關性
2.2.1 治療依從性與患者肺功能指標的相關性
哮喘患者治療依從性和肺功能指標呈正相關。依從性越高的哮喘患者,肺功能FEV1、FVC和MEF值越高(P=0.01)。將年齡、性別、身高、體重等影響肺功能的因素進行校正后,兩者仍存在明顯正相關性(P=0.01)。FEV1、FVC、MEF與哮喘治療依從性的Pearson相關系數r值分別為0.136、0.135和0.152。兩者的散點圖及線性趨勢圖見圖1。

a. PEF與MARS-A評分相關性;b. FEV1與MARS-A評分相關性;c. FVC與MARS-A評分相關性;d. FENO與MARS-A評分相關性。
2.2.2 治療依從性與患者氣道炎癥水平的相關性
哮喘患者依從性與FENO呈明顯負相關,依從性高的哮喘患者,其氣道炎癥水平更低、FENO值越低(P=0.007)。將性別、年齡等可能影響FENO值的影響因素進行校正后其相關性仍存在(P=0.002),Pearson相關系數r為–0.068(圖 1)。
2.3 治療依從性對哮喘控制水平和生活質量的影響
2.3.1 治療依從性對患者哮喘控制水平的影響
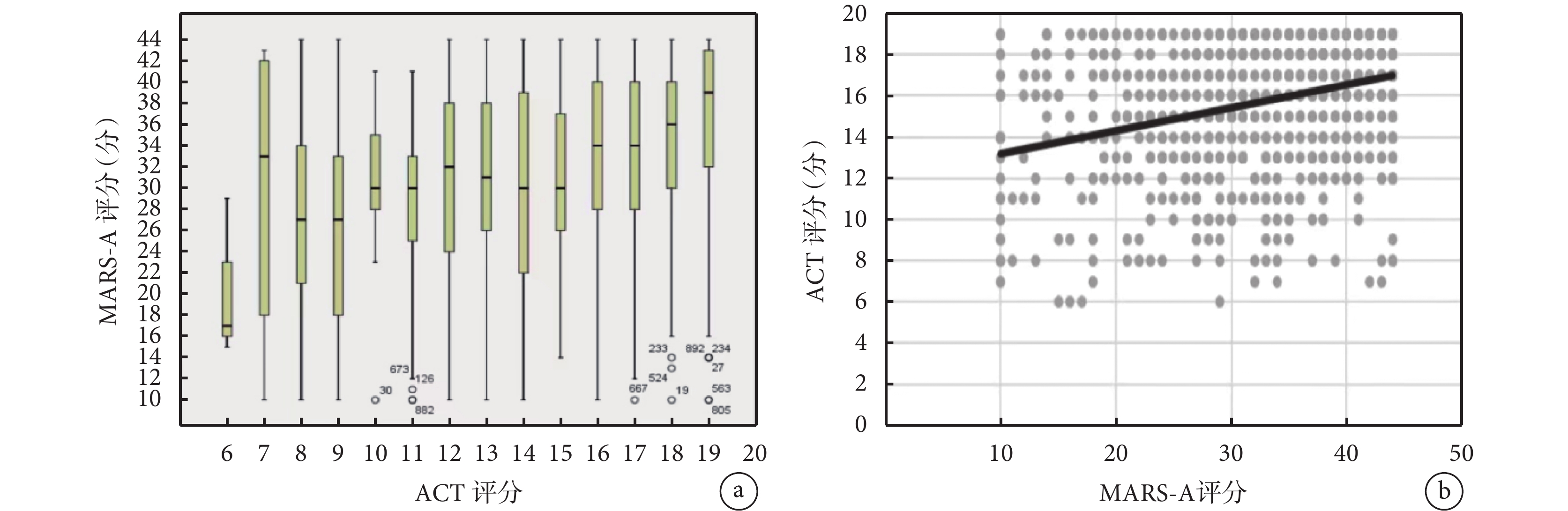
治療依從性高的哮喘患者,其哮喘控制水平更高。哮喘患者依從性越高,ACT評分越高,兩者呈正相關(P<0.001,Pearson相關系數r為0.315,箱圖、散點及線性趨勢圖見圖2)。

a. ACT與MARS-A評分相關性箱式圖;b. ACT與MARS-A評分相關性散點圖。
2.3.2 治療依從性對哮喘患者生活質量的影響
治療依從性高的哮喘患者,其生活質量更高。哮喘患者依從性越高,mini-AQLQ評分越高,兩者亦呈正相關(P<0.001,Pearson相關系數r為0.312,箱圖、散點及線性趨勢圖見圖3)。

a. AQLQ與MARS-A評分相關性箱式圖;b. AQLQ與MARS-A評分相關性散點圖。
3 討論
哮喘治療效果與患者依從性密切相關,提高患者依從性是提高哮喘患者控制水平的一個重要舉措。依從性評估是哮喘管理的重要環節,但目前尚無衡量依從性的金標準。依從性通常以患者的用藥(劑量、時間及方法)、日常生活方式、飲食、運動、疾病認知等問題遵從醫囑或醫護人員所建議治療方案的符合程度百分比表示[10],臨床上醫師可通過詢問患者、查看處方配藥數據和剩余藥量、實驗室檢測和電子設備檢測等方法來判斷[11]。
本研究結果發現,哮喘患者治療依從性與肺功能指標和FENO呈明顯相關,肺功能指標或FENO改善不明顯則提示患者依從性不佳。Jochmann等[12]發現,FENO與依從性之間的相關性最好,依從性較高的患者在監測期間FENO顯著下降,這可能與FENO是反應氣道嗜酸性炎癥的指標、隨著吸入糖皮質激素劑量增加而FENO下降有關。目前已開發出用于客觀遠程依從性監測的吸入器裝置,并建議可將FENO測試作為判斷患者依從性高低的一種方法[13-14]。該方法操作簡便,結果客觀無偏倚,可確定藥物使用效果。
本研究結果顯示,哮喘患者治療依從性與疾病控制水平和生活質量評分均呈正相關。依從性不佳導致哮喘反復發作,疾病控制不佳,將增加個人和社會經濟負擔;隨著哮喘患者用藥依從性的提高,哮喘患者控制水平顯著提高,急診和住院次數減少,肺功能和炎癥指標改善,生活質量亦有提高,這與既往的文獻報道結果一致。西班牙的一項多中心橫斷面研究發現,哮喘患者使用吸入糖皮質激素滿意度、依從性和疾病控制之間呈正相關[15],在慢阻肺中則不存在這種相關性。法國的一項多中心研究顯示依從性差的患者癥狀較重,未控制率較高;疾病控制越好,治療依從性越好[16]。哮喘的控制水平與許多影響因素有關,其中依從性差是哮喘控制不佳的一項重要決定性因素,哮喘患者良好的治療依從性對哮喘患者的病情控制是極其有利的,從而使患者生存質量得以提高,擁有更良好的預后。
因此,哮喘患者如果期望病情得到有效控制,應遵從醫護人員的醫囑和建議,提高自身治療的依從性。目前國內外多項研究均表明哮喘患者治療依從性普遍較低[17-19],且影響依從性的因素眾多[11],所以就更需要醫患雙方的相互協作。作為醫護人員,應通過詳細詢問病史、查看處方和吸入器劑量、肺功能及FENO測定等方式準確評估患者依從性。然后對患者依從性不佳的原因進行剖析,通過定期復查隨訪、使用遠程電子設備監測等個體化干預方案,優化哮喘患者治療依從性、整體提高哮喘控制水平。此外,還應學習國內外先進的管理方式,定期開展以患者為中心的宣教及心理干預工作,提高患者對疾病的認知水平,增強自我監測和管理能力,減少哮喘急性發作、住院率及病死率,提高生活質量,開創我國未來哮喘管理的新模式。
致謝 感謝Rob Horne教授對MARSA評分問卷的授權,感謝E.P. Juniper教授對mini-AQLQ評分問卷的授權和提供的相關資料。感謝云春梅、鄧靜敏、張旻、吉寧飛、趙海金、董文、王炯、高瑩、許溟宇、孔英君、陳麗萍、包海榮、夏岑峰、王凌偉、孫健、朱蕾、李雪、屠玲芳、劉凱雄、馬千里、張茜茜、周博、代雯文、陶麗先等醫師對本研究做出的貢獻。
利益沖突:本研究不涉及任何利益沖突。
支氣管哮喘(簡稱哮喘)是由多種細胞和組分導致的慢性氣道炎癥性疾病,具有反復發作的特征。隨著人們生活環境和方式的改變,哮喘的發病率和病死率呈逐年增加趨勢。我國哮喘患病率及相關危險因素流行病學調查(CARE研究)顯示14歲以上人群哮喘患病率為1.24%[1],哮喘患者總人數達4000萬。目前全球約有3億哮喘患者,預測2025年將達到4億[2]。全球哮喘防控工作仍面臨巨大挑戰。哮喘雖尚不能根治,但通過規范化診治和患者管理,可達到良好控制[3-4],關鍵取決于患者對健康行為的依從性。我國僅28.7%的患者可達到哮喘控制[5],遠遠低于GINA提出的哮喘長期管理目標。哮喘控制不佳可導致患者住院和急診就醫增加,給個人和社會均造成巨大經濟負擔。而依從性差和吸入糖皮質激素不足可能是導致我國哮喘患者控制率和生活質量較低的主要原因[6],但目前我國哮喘患者依從性的數據相對缺乏,依從性與疾病控制的相關性也有待研究進一步證實。本研究以依從性差且哮喘控制不佳的成人哮喘患者作為研究對象,探討我國哮喘治療依從性與肺功能及氣道炎癥水平、哮喘控制水平和患者生活質量的相關性,為哮喘患者的防控和治療提供參考依據。
1 資料與方法
1.1 臨床資料
《全國移動哮喘評估與管理項目》(CARN 2016-01 注冊號:NCT02917174)是一項由中國哮喘研究協作組開展的全國多中心、前瞻性、隨機對照研究,經中日友好醫院倫理委員會批準。2017年4月—2018年4月,研究對象來自中日友好醫院、四川大學華西醫院、青島市立醫院、哈爾濱醫科大學第一附屬醫院、青海省人民醫院、安徽醫科大學第一附屬醫院、北部戰區總醫院、河北醫科大學第二附屬醫院、新疆維吾爾自治區人民醫院、山西白求恩醫院、內蒙古人民醫院、大慶油田總醫院、山東省人民醫院、廣西醫科大學第一附屬醫院、陸軍軍醫大學新橋醫院、西安交通大學附屬第一醫院、蘭州大學第一醫院、復旦大學附屬中山醫院、南昌大學第一附屬醫院、河南省人民醫院、福建醫科大學第一附屬醫院、浙江大學醫學院第一附屬醫院、上海交通大學附屬上海市第一人民醫院、中南大學湘雅醫院、天津市第一中心醫院、寧夏醫科大學總醫院、吉林大學第二醫院、南方科技大學南方醫院、暨南大學第二臨床醫學院深圳市人民醫院、南京醫科大學附屬第一醫院、海南省人民醫院、華中科技大學同濟醫學院附屬同濟醫院呼吸與危重癥醫學科或呼吸科,共28個省市32家三甲醫院。以治療依從性不佳且未達到哮喘控制的入組《全國移動哮喘評估與管理項目》的哮喘患者作為研究對象。所有符合入組標準的患者將納入研究并簽署知情同意書。研究入排標準如下:
(1)入組標準:① 年齡≥18周歲;② 符合GINA 2016指南定義的診斷標準[7],診斷哮喘≥3 個月;③ 半年內曾經使用吸入性糖皮質激素;④ 用藥依從性差[哮喘用藥依從性量表(Medication Adherence Report Scale for Asthma,MARS-A)平均分<4.5];⑤ 目前哮喘未達良好控制[哮喘控制測試(Asthma Control Test,ACT)評分<20];⑥ 自愿加入本研究,并簽署書面知情同意書。
(2)排除標準:① 存在視力、聽力、語言障礙等造成交流困難,有精神疾病或心理問題;② 曾因哮喘急性發作行氣管插管或機械通氣病史;③ 合并慢性阻塞性肺疾病、支氣管擴張等結構性肺部疾病;④ 4周內因呼吸道感染應用抗菌藥物治療;⑤ 存在未控制的冠心病、腎功能衰竭、高血壓等其他顯著增加病死率的疾病;⑥ 育齡期婦女合并妊娠或計劃1年內妊娠。
1.2 方法
1.2.1 調查問卷
采用統一制定的調查問卷,內容包括患者的一般資料(年齡、性別、身高、體重、病程和文化程度等)、過去1年中因哮喘急性發作而住院或急診就醫情況、肺功能及氣道炎癥水平、哮喘控制水平、用藥依從性、生活質量以及對哮喘疾病的認知情況。
哮喘患者治療依從性通過MARS-A評分進行評估,根據過去4周用藥情況設10個問題,每個問題采用1~5分評分,每題分數相加得總分,以平均分≥4.5分定義為依從性良好,平均分<4.5分為依從性不佳。哮喘認知水平通過4道哮喘相關選擇題的回答情況進行評估:① 你認為哮喘是一種什么樣的疾病?(單選)A. 感染性疾病;B. 遺傳和環境共同作用的氣道炎癥性疾病;C. 遺傳性疾病;D. 先天性疾病。② 如果你每周均有哮喘相關癥狀,你認為應首選哪類藥物作為您的一線治療藥物?(多選)A. 口服茶堿類藥物;B. 吸入或口服短效β2激動劑;C. 長效β2激動劑吸入劑;D. 長效抗膽堿能藥物吸入劑;E. 口服抗組胺藥物;F. 吸入型糖皮質激素或復合制劑;G. 口服激素(如強的松、強的松龍、甲基強的松龍、地塞米松等);H. 白三烯調節劑(如孟魯司特鈉);I. 中成藥;J. “偏方”或“秘方”;K. 其它(請注明:______)。③ 短效β2激動劑氣霧劑你認為在什么情況下使用最合理?(單選)A. 癥狀加重或急性發作時按需使用;B. 長期規律使用以控制癥狀;C. 臨睡前使用控制夜間哮喘癥狀。④ 關于哮喘的治療目標你認為哪項最合理?(單選)A. 可以根治;B. 可以長期良好控制或完全控制;C. 無有效治療方法。哮喘控制水平和哮喘患者生活質量分別通過ACT評分和簡略哮喘生命質量評分表(the Mini Asthma Quality of Life Questionnaire,mini-AQLQ)評分進行評估。
1.2.2 調查方法
充分向患者講解問卷調查的目的和內容,采用面對面相互交流的方式填寫調查問卷。填寫過程中注意避免誘導性提問,要求患者在20 min內完成問卷并當場收回。肺功能測定根據中華醫學會呼吸病學分會肺功能專業組2014年制定的肺功能檢查指南[8],并進行相應質量控制,測定前均進行環境測試及肺計量校準。呼出氣一氧化氮(fractional exhaled nitric oxide,FeNO)測定根據美國胸科學會2011年FENO臨床應用指南[9],并進行相應質量控制。所有調查問卷完成后,由各項目中心負責人和項目組成員通過賬戶名和密碼登錄在線錄入管理平臺錄入數據。所有紙質版調查表及受試者簽署的知情同意書將在研究結束后一周內由各中心負責人統一郵寄至項目總負責人單位處保存。
1.3 統計學方法
采用SAS 9.2統計軟件。計量資料呈正態分布時用均數±標準差描述,非正態分布時用中位數(P25,P75)表示,計數資料采用率、構成比、相對比等表示。計量資料呈正態分布時兩組間比較采用雙側t檢驗,組內比較采用配對t檢驗,計量資料非正態分布時兩組間比較采用Mann-Whitney U檢驗,組內比較采用Wilcoxon符號秩檢驗,率比較采用χ2檢驗。P<0.05為差異有統計學意義。
2 結 果
2.1 調查對象基本情況
2.1.1 一般資料
調查共計923例,調查問卷回收率100%。其中男388例(42.04%),女535例(57.96%),調查人群中年齡最小者18歲,最大99歲,年齡為45(34,55)歲。平均身高為(164.81±8.20)cm,平均體重(64.98±12.54)kg。本科及以上學歷325例(35.21%),本科以下學歷598例(64.79%)。其中本地(問卷調查醫院本省市患者)隨訪860例(93.17%),外地(問卷調查醫院非本省市患者)隨訪63例(6.83%)。
2.1.2 哮喘相關資料
調查人群中哮喘病程時長52.50(19.50,141.50)個月,在過去1年中因哮喘急性發作平均急診就醫(0.53±1.30)次,平均住院(0.31±0.83)次。ACT評分為16(14,19)分。MARS-A評分33.5(27.5,39.5)分,AQLQ評分65(56,75)分。肺功能中第1秒用力呼氣容積(forced expiratory volume in one second,FEV1)為(2.46±0.86)L,用力肺活量(forced vital capacity,FVC)為(3.42±0.96)L,最大呼氣流量(maximal expiratory flow,MEF)為(6.09±2.29)L/s。FENO 22(44,74)ppb。其中合并阻塞性通氣功能障礙者378例(40.95%),不合并阻塞性通氣功能障礙者545例(59.05%)。
2.1.3 哮喘疾病認知水平
哮喘疾病認知相關問題回答完全正確者占243例(26.33%),哮喘疾病認知相關問題不能完全回答正確者占680例(73.67%)。
2.2 治療依從性與患者肺功能和氣道炎癥水平的相關性
2.2.1 治療依從性與患者肺功能指標的相關性
哮喘患者治療依從性和肺功能指標呈正相關。依從性越高的哮喘患者,肺功能FEV1、FVC和MEF值越高(P=0.01)。將年齡、性別、身高、體重等影響肺功能的因素進行校正后,兩者仍存在明顯正相關性(P=0.01)。FEV1、FVC、MEF與哮喘治療依從性的Pearson相關系數r值分別為0.136、0.135和0.152。兩者的散點圖及線性趨勢圖見圖1。

a. PEF與MARS-A評分相關性;b. FEV1與MARS-A評分相關性;c. FVC與MARS-A評分相關性;d. FENO與MARS-A評分相關性。
2.2.2 治療依從性與患者氣道炎癥水平的相關性
哮喘患者依從性與FENO呈明顯負相關,依從性高的哮喘患者,其氣道炎癥水平更低、FENO值越低(P=0.007)。將性別、年齡等可能影響FENO值的影響因素進行校正后其相關性仍存在(P=0.002),Pearson相關系數r為–0.068(圖 1)。
2.3 治療依從性對哮喘控制水平和生活質量的影響
2.3.1 治療依從性對患者哮喘控制水平的影響
治療依從性高的哮喘患者,其哮喘控制水平更高。哮喘患者依從性越高,ACT評分越高,兩者呈正相關(P<0.001,Pearson相關系數r為0.315,箱圖、散點及線性趨勢圖見圖2)。

a. ACT與MARS-A評分相關性箱式圖;b. ACT與MARS-A評分相關性散點圖。
2.3.2 治療依從性對哮喘患者生活質量的影響
治療依從性高的哮喘患者,其生活質量更高。哮喘患者依從性越高,mini-AQLQ評分越高,兩者亦呈正相關(P<0.001,Pearson相關系數r為0.312,箱圖、散點及線性趨勢圖見圖3)。

a. AQLQ與MARS-A評分相關性箱式圖;b. AQLQ與MARS-A評分相關性散點圖。
3 討論
哮喘治療效果與患者依從性密切相關,提高患者依從性是提高哮喘患者控制水平的一個重要舉措。依從性評估是哮喘管理的重要環節,但目前尚無衡量依從性的金標準。依從性通常以患者的用藥(劑量、時間及方法)、日常生活方式、飲食、運動、疾病認知等問題遵從醫囑或醫護人員所建議治療方案的符合程度百分比表示[10],臨床上醫師可通過詢問患者、查看處方配藥數據和剩余藥量、實驗室檢測和電子設備檢測等方法來判斷[11]。
本研究結果發現,哮喘患者治療依從性與肺功能指標和FENO呈明顯相關,肺功能指標或FENO改善不明顯則提示患者依從性不佳。Jochmann等[12]發現,FENO與依從性之間的相關性最好,依從性較高的患者在監測期間FENO顯著下降,這可能與FENO是反應氣道嗜酸性炎癥的指標、隨著吸入糖皮質激素劑量增加而FENO下降有關。目前已開發出用于客觀遠程依從性監測的吸入器裝置,并建議可將FENO測試作為判斷患者依從性高低的一種方法[13-14]。該方法操作簡便,結果客觀無偏倚,可確定藥物使用效果。
本研究結果顯示,哮喘患者治療依從性與疾病控制水平和生活質量評分均呈正相關。依從性不佳導致哮喘反復發作,疾病控制不佳,將增加個人和社會經濟負擔;隨著哮喘患者用藥依從性的提高,哮喘患者控制水平顯著提高,急診和住院次數減少,肺功能和炎癥指標改善,生活質量亦有提高,這與既往的文獻報道結果一致。西班牙的一項多中心橫斷面研究發現,哮喘患者使用吸入糖皮質激素滿意度、依從性和疾病控制之間呈正相關[15],在慢阻肺中則不存在這種相關性。法國的一項多中心研究顯示依從性差的患者癥狀較重,未控制率較高;疾病控制越好,治療依從性越好[16]。哮喘的控制水平與許多影響因素有關,其中依從性差是哮喘控制不佳的一項重要決定性因素,哮喘患者良好的治療依從性對哮喘患者的病情控制是極其有利的,從而使患者生存質量得以提高,擁有更良好的預后。
因此,哮喘患者如果期望病情得到有效控制,應遵從醫護人員的醫囑和建議,提高自身治療的依從性。目前國內外多項研究均表明哮喘患者治療依從性普遍較低[17-19],且影響依從性的因素眾多[11],所以就更需要醫患雙方的相互協作。作為醫護人員,應通過詳細詢問病史、查看處方和吸入器劑量、肺功能及FENO測定等方式準確評估患者依從性。然后對患者依從性不佳的原因進行剖析,通過定期復查隨訪、使用遠程電子設備監測等個體化干預方案,優化哮喘患者治療依從性、整體提高哮喘控制水平。此外,還應學習國內外先進的管理方式,定期開展以患者為中心的宣教及心理干預工作,提高患者對疾病的認知水平,增強自我監測和管理能力,減少哮喘急性發作、住院率及病死率,提高生活質量,開創我國未來哮喘管理的新模式。
致謝 感謝Rob Horne教授對MARSA評分問卷的授權,感謝E.P. Juniper教授對mini-AQLQ評分問卷的授權和提供的相關資料。感謝云春梅、鄧靜敏、張旻、吉寧飛、趙海金、董文、王炯、高瑩、許溟宇、孔英君、陳麗萍、包海榮、夏岑峰、王凌偉、孫健、朱蕾、李雪、屠玲芳、劉凱雄、馬千里、張茜茜、周博、代雯文、陶麗先等醫師對本研究做出的貢獻。
利益沖突:本研究不涉及任何利益沖突。