引用本文: 汪曉東, 由屹先, 劉健博, 李立. 數據庫研究第七部分:結直腸癌手術的特征(三). 中國普外基礎與臨床雜志, 2021, 28(1): 104-110. doi: 10.7507/1007-9424.202010028 復制
華西腸癌數據庫(Database from Colorectal Cancer,DACCA)是四川大學華西醫院結直腸外科專業組以真實世界研究為思路和理念而建設的數據庫。筆者團隊將推出系列數據庫報道,包括數據庫研究、數據庫建設、數據庫解讀、數據庫決策等。本研究為數據庫研究第一章的第七部分第三篇,在此將對手術操作細節部分的臨床研究結果進行報道。
1 資料與方法
1.1 數據庫版本
本次數據分析選取的 DACCA 版本為 2020 年 4 月 16 日更新版。
1.2 DACCA 數據庫的應用參數
本次研究選取的數據項目的基礎定義,將在“數據庫建設”系列報道第七部分中詳細說明。本研究選擇的部分數據項目包括閉吻(閉合與吻合方式)、吻形(吻合口形狀)、加固(吻合口加固方式)、填塞(吻合口內填塞)、引流、網膜(網膜覆蓋)、粘連(防粘連材料)、盆腹膜(盆腹膜重建)、污染(污染情況)和留置[1]。
1.3 DACCA 數據庫調整參數
根據研究目的,筆者團隊在本次研究中將原始數據庫中“引流”參數拆解為兩項參數即“血漿引流管數及引流天數”和“肛管引流天數”,數據來源仍為原始數據庫原始參數中“引流”條目下所記錄的對應信息,結構化后,“血漿引流管數”與“肛管”的數據單位為“根”、“引流天數”的數據單位為“天”。
1.4 DACCA 數據庫的篩選方案
根據本研究的需要,筆者團隊按照總數據庫信息篩選,根據上述所選參數,在 DACCA 數據庫中選擇必須至少其中 1 項條件不為“空”。本次數據庫篩選完成時間為 2020 年 7 月 15 日。
1.5 統計學方法
本次 DACCA 數據庫分析的工具應用為 Excel(Office 365,Microsoft,Redmond,WA,USA)與 SPSS 19.0。經典統計學描述由 SPSS 19.0 完成,可視化由 Excel 統計圖表工具完成。正態性檢驗由 SPSS 19.0 完成。定性資料以條進行描述;定量資料服從正態分布時表示為均數±標準差(±s),不服從正態分布者表示為中位數。檢驗水準 α=0.05。
2 結果
本次研究總數據庫篩選信息 69 045 條,數據庫疊加后,符合條件的數據病案(數據行)總量為 6 338 條。具體篩選過程及結果見圖 1。

2.1 閉吻(閉合與吻合方式)
在 DACCA 數據庫中,“閉吻”條目的有效數據行共 5 789 條(91.3%),各吻合方式見表 1。從表 1 可見,單吻合形式中結構化顯示為“DST”的數據構成比最高,在復合吻合形式中“DST+Mm”的數據構成比最高。

2.2 吻形(吻合口形狀)
在 DACCA 數據庫中,“吻形”條目下的有效數據行共 4 721 條(74.5%),各吻合口形狀見表 2。從表 2 看,結構化顯示為“端端”的數據構成比最高。另有 11 條數據的記錄為復合形式,其具體分類見表 2。

2.3 加固(吻合口加固方式)
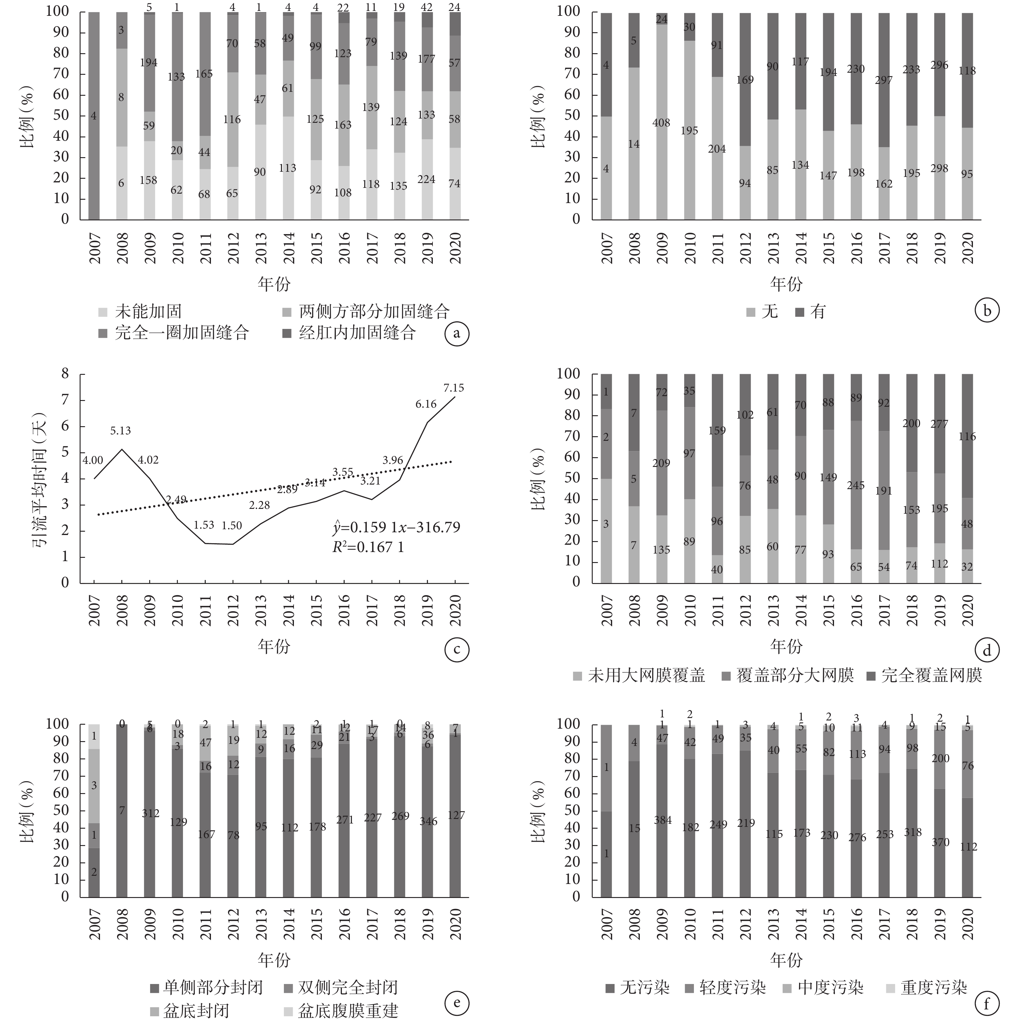
在 DACCA 數據庫中,在“加固”條目下的有效數據行共 4 062 條(64.1%),各吻合口加固方式見表 3。從表 3 看,結構化顯示為“完全一圈加固”方式構成比最高。“入院日期”一欄不為空值的數據行有 4 060 條,其加固方式分布隨年份變化情況見圖 2a。

a:吻合口加固方式;b:有無吻合口內填塞;c 血漿管引流天數;d:網膜覆蓋;e:盆腹膜重建;f:污染

2.4 填塞(吻合口內填塞)
在 DACCA 數據庫中,“填塞”條目下的有效數據行共 4 132 條(65.2%),其中結構化顯示為“1”即有填塞物質的條目 1 898 條(45.9%),結構化顯示為“0”即無填塞物質的條目有 2 234 條(54.1%)。有無吻合口內填塞分布隨年份變化情況見圖 2b。
2.5 引流
在 DACCA 數據庫中,“引流”一欄下的有效數據行共 4 145 條(65.4%)。根據研究目的,“引流”這一參數被拆分并整理為 “血漿引流管數及引流天數”和“肛管引流天數”兩項參數。① 血漿引流管數及引流天數。結構化顯示為“0”即未安置血漿引流管的數據行有 863 條(20.8%);結構化顯示為安置血漿引流管的數據行有 3 282 條(79.2%),其中結構化顯示為安置 1 根血漿引流管的數據 3 262 條(99.4%);安置多根血漿引流管的數據行共 20 條(0.6%),其具體分布情況見表 4。在全部安置血漿引流管的有效數據中血漿引流天數 [(3.74±2.98)天,95%CI(3.64,3.84);中位數為 3.00 天]的分布不滿足正態分布(P<0.01),血漿引流天數隨年份分布情況見圖 2c。② 肛管引流天數。有效數據行共 19 條(0.3%)。在全部安置肛管的有效數據中肛管的引流天數服從正態分布(P=0.42),肛管引流天數為(6.21±2.51)天 [95%CI(5.05,7.21)]。

2.6 網膜(網膜覆蓋)
在 DACCA 數據庫中,“網膜”條目下的有效數據行共 3 904 條(61.6%)。其中結構化顯示為“覆蓋部分大網膜”“完全覆蓋網膜”和“未用大網膜覆蓋”的數據行分別有 1 604 條(41.1%)、1 373 條(35.2%)和 927 條(23.7%)。網膜分布隨年份變化情況見圖 2d。
2.7 粘連(防粘連材料)
在 DACCA 數據庫中,“粘連”條目下的有效數據行共 4 044 條(63.8%)。防粘連材料放置見表 5。從表 5 可見,未放置防粘連材料構成比高于放置防粘連材料,且在放置防粘連材料“放置防粘連膜”構成比最高。

2.8 盆腹膜(盆腹膜重建)
在 DACCA 數據庫中,“盆腹膜”條目下的有效數據行共 3 952 條(62.4%)。各盆腹膜重建方式見表 6。從表 6 可見,結構化顯示為“單側部分封閉”的數據構成比最高。“入院日期”一欄中不為空值的數據行 3 951 條,其結構化(除外“未封閉”)的數據行分布隨年份變化情況見圖 2e。

2.9 污染(污染情況)
在 DACCA 數據庫中,術中操作相關“污染”條目下有效數據行共 3 920 條(61.8%)。具體污染情況見表 7。從表 7 可見,無污染構成比高于有污染,且在有污染中輕度污染構成比最高。“入院日期”一欄中不為空值的數據行 3 919 條,污染程度分布隨年份變化情況見圖 2f。

2.10 留置
在 DACCA 數據庫中,術中抗腫瘤藥物“留置”條目下的有效數據行共 4 508 條(71.1%)。結構化顯示為“1”即留置抗腫瘤藥物的數據行有2 080 條(46.1%),結構化顯示為“0”即未留置抗腫瘤藥物的數據行有 2 428 條(53.9%)。
3 討論
在對于結直腸癌手術中,專業人員關心最多的圍術期問題可能就是吻合口的風險。對于結直腸癌手術中吻合的概念可能涵蓋了大量的手術細節,包括吻合前的游離[2]、吻合相關組織條件、具體吻合方式[2-3]、吻合后的安全狀態、吻合口的保護性措施[3-4]、術后觀察措施等。可見,結直腸癌的吻合重建是一項重要手術技術環節。因此,在 DACCA 的數據庫構建中,對于吻合相關的一些信息進行了必要的拆分,試圖建立更為準確的吻合相關的數據參數,便于對于吻合的效果做出數據化評價。本部分數據也代表 DACCA 中手術特征的操作細節部分。
3.1 吻合方式的特征
吻合的器械使用方式和吻合口的造型是吻合口最主要的兩大特征。
3.1.1 吻合的器械使用方式
吻合的器械使用是早年在討論結直腸癌吻合手術時最常爭論的手術輔助技術,而且主流的觀點是,由于吻合器的應用,增加了直腸癌患者的保肛率,減少了結直腸癌手術的重建時間[5-7]。但到目前為止,此觀點仍存在爭議,畢竟吻合器技術只能作為結直腸癌專科操作技術的一個輔助而不是主導。越來越多的專科醫生在足夠量的吻合器應用下的結直腸癌手術后發現吻合器不是保肛的條件,也不是吻合后安全的保障。對于吻合手術操作細節的把握[7-8]才是可能最終降低吻合口相關并發癥的關鍵。從本研究 DACCA 數據庫中的數據看,應用最多的吻合器技術是 DST(占總有效數據的 58.1%),與文獻[9]報道結果一致。DST 的應用幾乎貫穿了近 10 多年來結直腸外科的發展。層出不窮的吻合器迭代[10],逐步增加了以 DST 為核心的聯合吻合技術方式,也是一個多年討論的話題。無論如何的器械變遷,但是作為最主要的吻合方式單閉合+單吻合的吻合器使用方式仍是主流的吻合技術。在對 DACCA 數據分析中可以看到 SST 或 MST 這些吻合技術,但其應用要遠少于 DST,可能也從側面說明了 DST 應用的便捷性和可操作性。
3.1.2 吻合口的造型
吻合口造型是另外一個吻合方式的特征。DACCA 中得出的結果是端端吻合是應用最多的吻合口造型,也是經典的順行吻合[11],是結直腸癌外科醫生完成重建時最為主要的選擇,其中也主要是對直腸癌的吻合重建;而對于結腸癌患者來說,側側吻合是最為主要的吻合重建方式。側側大口徑的吻合技術,在早年的手術技術規范中進行了闡述,在隨后的幾年,針對類似的手術技術,有經歷過順行的 over-lap 和逆行的 over-lap 的討論[12],但最終還是比較經典的側側吻合成為主流的應用方式。從預防吻合口相關風險的角度看,確實有討論端端吻合技術和 pouch 的技術[13-14]的應用是不是會在術后風險上不同。但從大數據角度看,現在還沒有一個較為統一的定論。從本研究數據初步判斷,吻合口的器械使用情況和具體吻合口的造型可能都不是決定患者是否會發生吻合口相關風險事件的關鍵,但是還需對于整個數據的關系進行分析后才能定論,這是否會成為對于吻合方式有價值的研究依據也是值得期待的。
總之,吻合口的吻合方式多以 DST 為主,多選擇端端吻合,但這樣的吻合方式是否與吻合口術后風險有關,尚待進一步分析。
3.2 吻合口保護性措施
從數據角度看,可能還不能給出不同吻合方式是否會帶來吻合口不良事件發生的影響,因此還需從是否對于吻合口進行必要的技術操作保護進行探討。手術技術常規化的情況下,對于吻合口保護措施的情況則可能成為決定術后吻合口不良事件發生以及發生后嚴重程度的關鍵手術細節。所以在 DACCA 中,對于這個手術細節進行了詳細的劃分。
從數據分析看,對于結直腸癌切除后的重建吻合口患者中有約 1/3 的案例(33.2%)進行了吻合口的全周加固。至少在手術中的實際發現情況下,結直腸外科醫生認為進行全周加固是有必要的加固保護措施。在本研究數據分析中,經肛的一周加固其實也是屬于全周加固的案例。可見,對于吻合口一周的加固還是重要的保護性措施之一。當然,也有接近 1/3(32.3%)的患者并沒有在手術中進行吻合口一周的加固,這其中也可能是不需要加固或無法加固。是否加固吻合口會進一步的降低吻合口術后風險的研究還不太多[15],后期是可以通過真實世界的數據進行分析和探討的。
另外一項保護性措施是吻合后對于吻合口內的填塞,這里的填塞是特別指填塞的非肛管性質的材料[1]。在 DACCA 數據分類中,是把肛管劃分在引流的數據信息中的,填塞的材料可能是紗布、油紗或特殊可吸收材料等。既往有研究[16]提示,在吻合口內安置特定的材料,可以作為降低吻合口漏或吻合口出血發生率的措施,但也有其他的研究結果沒有證明這個關系。從 DACCA 的數據看,目前本中心覆蓋的結直腸癌患者需要填塞的主要是針對直腸癌保肛手術后的患者,其使用了填塞技術的患者大約有 45.9%。從填塞患者的實際臨床觀察上看,填塞技術本質并非降低吻合口漏或吻合口出血的發生,甚至臨床有案例是由于填塞內置物導致吻合口裂開。更多時候,填塞技術需要操作者準確完成填塞的內容并合理選擇填塞物到吻合口,從而預防異常情況的發生;填塞技術實施后也是為了在吻合口不良事件發生后可有更為有效的措施控制不良事件演變為嚴重合并癥,降低患者的風險。
總之,對于選擇不同填塞材料和具體的填塞方式是否與術后吻合口不良反應有怎樣的關系,還需要進一步研究分析。
3.3 吻合后觀察
從臨床操作的角度看,術中完成吻合和吻合口的保護性措施后就需在術后進一步觀察。最為傳統的觀察措施就是創腔的引流。對于創腔的術后狀態,DACCA 數據庫中通過引流管的數據參數和創面保護方式的數據參數來詳細描述手術的細節。
本 DACCA 數據庫研究中也把引流管的數據參數進行了分解,拆解為引流管的數目和保留引流管的天數。從本真實世界場景下的分析看,引流管的數量只有 1 根的屬于絕大多數,達到有對應數據信息的 99.4%。從臨床的實際情況來看,對于結直腸癌的手術只保留 1 根引流管是絕對的常規操作,也可認為是安全的操作方式,因為其他多于 1 根引流管的情況總比構成比太少,難以直接評估單根引流和多根引流之間比較的差異。但從應用的頻率看,單根引流是可以進行的常規操作。由于 ERAS 在一定時間段內的應用[17],對于結直腸癌術后不安置引流管在本研究團隊也進行過嘗試,證明其也具有安全性,不會增加術后并發癥的發生率。所以從引流管數量的初步判斷,引流管的多少不是解決術后并發癥的主要措施。從引流管保留的時間看,也沒有數據進一步確定是否更長的引流管保留時間更有利于患者,因此這點具有進一步研究的必要。
另外一個可以用于吻合后觀察的數據參數是在手術中對于手術創腔的保護措施,這一措施不是單純針對吻合口,而是對整個創面的保護和對于術后出現不必要腸粘連[1]等情況的預防。從 DACCA 的數據看,手術后使用部分大網膜覆蓋手術創面以及對于直腸癌術后做部分盆腹膜的修復是最為主要的創面保護措施。而對于防粘連材料,包括多種類型的防粘連內置物都不是主要的應用手段。盡管有報道說防粘連材料在腹部手術后可能存在有價值,但是從真實世界數據角度上初步判斷并沒有這樣的結果論斷,但還需要進一步進行創面保護措施和術后并發癥的關聯性分析。
總之,對于吻合后的安全措施中,對于創面的保護是常態化的。從引流管的保留看,單根引流管保留是常規,可能從真實世界角度上看是完全可行的,但是還需要進一步數據論證。
3.4 惡性腫瘤術中保護
對于結直腸癌手術中的創傷操作、創面的腫瘤相關治療等都是重要的術中保護性措施。在 DACCA 中有專門針對結直腸癌的腫瘤性細節指標會在后續的數據庫研究和數據庫建設中報道。在本研究中作為數據庫手術操作細節構建中也有關于術中污染和術中抗腫瘤藥物使用的數據參數。
從術中污染的數據上看,盡管很少有研究對于術中污染進行較為清晰的闡述[18],但是 DACCA 基于一個對于術中污染的分級結構化后,對于術中污染情況進行了分析,可見并非絕大多數結直腸癌患者手術可以做到無污染,仍舊有相當的患者出現術中輕度污染的情況,這種惡性腫瘤的污染就可能會與術后的感染性并發癥風險以及術后創腔復發存在關系,因此,需要引起重視。
從既往的觀點看,由于認為通過創腔內施加抗腫瘤藥物治療包括液體或緩釋制劑的使用減少創腔內的局部復發、控制遠處轉移的發生[19-20],這與近年來通過腹腔內治療的多種措施控制惡性腫瘤的總體理念是一致的[21],但是這些措施的實施需要有足夠長時間的長期隨訪才能印證其臨床價值。
因此,對于惡性腫瘤術中保護的措施,需要關注術中污染情況并且通過長期隨訪結果判斷目前的術中治療是否真的有臨床價值。
重要聲明
利益沖突聲明:本文全體作者閱讀并理解了《中國普外基礎與臨床雜志》的政策聲明,我們沒有相互競爭的利益。
作者貢獻聲明:汪曉東主要負責數據庫提供、文章修改以及部分文章撰寫;由屹先主要負責數據抽取、統計分析和投稿工作;劉健博主要負責表格繪制、參考文獻的查閱以及統計分析工作的指導;汪曉東和李立共同為華西DACCA的構建者和主要應用分析人員。
倫理聲明:本研究已通過四川大學華西醫院倫理學委員會的審核并同意(批文編號:2019-140 號)。
華西腸癌數據庫(Database from Colorectal Cancer,DACCA)是四川大學華西醫院結直腸外科專業組以真實世界研究為思路和理念而建設的數據庫。筆者團隊將推出系列數據庫報道,包括數據庫研究、數據庫建設、數據庫解讀、數據庫決策等。本研究為數據庫研究第一章的第七部分第三篇,在此將對手術操作細節部分的臨床研究結果進行報道。
1 資料與方法
1.1 數據庫版本
本次數據分析選取的 DACCA 版本為 2020 年 4 月 16 日更新版。
1.2 DACCA 數據庫的應用參數
本次研究選取的數據項目的基礎定義,將在“數據庫建設”系列報道第七部分中詳細說明。本研究選擇的部分數據項目包括閉吻(閉合與吻合方式)、吻形(吻合口形狀)、加固(吻合口加固方式)、填塞(吻合口內填塞)、引流、網膜(網膜覆蓋)、粘連(防粘連材料)、盆腹膜(盆腹膜重建)、污染(污染情況)和留置[1]。
1.3 DACCA 數據庫調整參數
根據研究目的,筆者團隊在本次研究中將原始數據庫中“引流”參數拆解為兩項參數即“血漿引流管數及引流天數”和“肛管引流天數”,數據來源仍為原始數據庫原始參數中“引流”條目下所記錄的對應信息,結構化后,“血漿引流管數”與“肛管”的數據單位為“根”、“引流天數”的數據單位為“天”。
1.4 DACCA 數據庫的篩選方案
根據本研究的需要,筆者團隊按照總數據庫信息篩選,根據上述所選參數,在 DACCA 數據庫中選擇必須至少其中 1 項條件不為“空”。本次數據庫篩選完成時間為 2020 年 7 月 15 日。
1.5 統計學方法
本次 DACCA 數據庫分析的工具應用為 Excel(Office 365,Microsoft,Redmond,WA,USA)與 SPSS 19.0。經典統計學描述由 SPSS 19.0 完成,可視化由 Excel 統計圖表工具完成。正態性檢驗由 SPSS 19.0 完成。定性資料以條進行描述;定量資料服從正態分布時表示為均數±標準差(±s),不服從正態分布者表示為中位數。檢驗水準 α=0.05。
2 結果
本次研究總數據庫篩選信息 69 045 條,數據庫疊加后,符合條件的數據病案(數據行)總量為 6 338 條。具體篩選過程及結果見圖 1。

2.1 閉吻(閉合與吻合方式)
在 DACCA 數據庫中,“閉吻”條目的有效數據行共 5 789 條(91.3%),各吻合方式見表 1。從表 1 可見,單吻合形式中結構化顯示為“DST”的數據構成比最高,在復合吻合形式中“DST+Mm”的數據構成比最高。

2.2 吻形(吻合口形狀)
在 DACCA 數據庫中,“吻形”條目下的有效數據行共 4 721 條(74.5%),各吻合口形狀見表 2。從表 2 看,結構化顯示為“端端”的數據構成比最高。另有 11 條數據的記錄為復合形式,其具體分類見表 2。

2.3 加固(吻合口加固方式)
在 DACCA 數據庫中,在“加固”條目下的有效數據行共 4 062 條(64.1%),各吻合口加固方式見表 3。從表 3 看,結構化顯示為“完全一圈加固”方式構成比最高。“入院日期”一欄不為空值的數據行有 4 060 條,其加固方式分布隨年份變化情況見圖 2a。

a:吻合口加固方式;b:有無吻合口內填塞;c 血漿管引流天數;d:網膜覆蓋;e:盆腹膜重建;f:污染

2.4 填塞(吻合口內填塞)
在 DACCA 數據庫中,“填塞”條目下的有效數據行共 4 132 條(65.2%),其中結構化顯示為“1”即有填塞物質的條目 1 898 條(45.9%),結構化顯示為“0”即無填塞物質的條目有 2 234 條(54.1%)。有無吻合口內填塞分布隨年份變化情況見圖 2b。
2.5 引流
在 DACCA 數據庫中,“引流”一欄下的有效數據行共 4 145 條(65.4%)。根據研究目的,“引流”這一參數被拆分并整理為 “血漿引流管數及引流天數”和“肛管引流天數”兩項參數。① 血漿引流管數及引流天數。結構化顯示為“0”即未安置血漿引流管的數據行有 863 條(20.8%);結構化顯示為安置血漿引流管的數據行有 3 282 條(79.2%),其中結構化顯示為安置 1 根血漿引流管的數據 3 262 條(99.4%);安置多根血漿引流管的數據行共 20 條(0.6%),其具體分布情況見表 4。在全部安置血漿引流管的有效數據中血漿引流天數 [(3.74±2.98)天,95%CI(3.64,3.84);中位數為 3.00 天]的分布不滿足正態分布(P<0.01),血漿引流天數隨年份分布情況見圖 2c。② 肛管引流天數。有效數據行共 19 條(0.3%)。在全部安置肛管的有效數據中肛管的引流天數服從正態分布(P=0.42),肛管引流天數為(6.21±2.51)天 [95%CI(5.05,7.21)]。

2.6 網膜(網膜覆蓋)
在 DACCA 數據庫中,“網膜”條目下的有效數據行共 3 904 條(61.6%)。其中結構化顯示為“覆蓋部分大網膜”“完全覆蓋網膜”和“未用大網膜覆蓋”的數據行分別有 1 604 條(41.1%)、1 373 條(35.2%)和 927 條(23.7%)。網膜分布隨年份變化情況見圖 2d。
2.7 粘連(防粘連材料)
在 DACCA 數據庫中,“粘連”條目下的有效數據行共 4 044 條(63.8%)。防粘連材料放置見表 5。從表 5 可見,未放置防粘連材料構成比高于放置防粘連材料,且在放置防粘連材料“放置防粘連膜”構成比最高。

2.8 盆腹膜(盆腹膜重建)
在 DACCA 數據庫中,“盆腹膜”條目下的有效數據行共 3 952 條(62.4%)。各盆腹膜重建方式見表 6。從表 6 可見,結構化顯示為“單側部分封閉”的數據構成比最高。“入院日期”一欄中不為空值的數據行 3 951 條,其結構化(除外“未封閉”)的數據行分布隨年份變化情況見圖 2e。

2.9 污染(污染情況)
在 DACCA 數據庫中,術中操作相關“污染”條目下有效數據行共 3 920 條(61.8%)。具體污染情況見表 7。從表 7 可見,無污染構成比高于有污染,且在有污染中輕度污染構成比最高。“入院日期”一欄中不為空值的數據行 3 919 條,污染程度分布隨年份變化情況見圖 2f。

2.10 留置
在 DACCA 數據庫中,術中抗腫瘤藥物“留置”條目下的有效數據行共 4 508 條(71.1%)。結構化顯示為“1”即留置抗腫瘤藥物的數據行有2 080 條(46.1%),結構化顯示為“0”即未留置抗腫瘤藥物的數據行有 2 428 條(53.9%)。
3 討論
在對于結直腸癌手術中,專業人員關心最多的圍術期問題可能就是吻合口的風險。對于結直腸癌手術中吻合的概念可能涵蓋了大量的手術細節,包括吻合前的游離[2]、吻合相關組織條件、具體吻合方式[2-3]、吻合后的安全狀態、吻合口的保護性措施[3-4]、術后觀察措施等。可見,結直腸癌的吻合重建是一項重要手術技術環節。因此,在 DACCA 的數據庫構建中,對于吻合相關的一些信息進行了必要的拆分,試圖建立更為準確的吻合相關的數據參數,便于對于吻合的效果做出數據化評價。本部分數據也代表 DACCA 中手術特征的操作細節部分。
3.1 吻合方式的特征
吻合的器械使用方式和吻合口的造型是吻合口最主要的兩大特征。
3.1.1 吻合的器械使用方式
吻合的器械使用是早年在討論結直腸癌吻合手術時最常爭論的手術輔助技術,而且主流的觀點是,由于吻合器的應用,增加了直腸癌患者的保肛率,減少了結直腸癌手術的重建時間[5-7]。但到目前為止,此觀點仍存在爭議,畢竟吻合器技術只能作為結直腸癌專科操作技術的一個輔助而不是主導。越來越多的專科醫生在足夠量的吻合器應用下的結直腸癌手術后發現吻合器不是保肛的條件,也不是吻合后安全的保障。對于吻合手術操作細節的把握[7-8]才是可能最終降低吻合口相關并發癥的關鍵。從本研究 DACCA 數據庫中的數據看,應用最多的吻合器技術是 DST(占總有效數據的 58.1%),與文獻[9]報道結果一致。DST 的應用幾乎貫穿了近 10 多年來結直腸外科的發展。層出不窮的吻合器迭代[10],逐步增加了以 DST 為核心的聯合吻合技術方式,也是一個多年討論的話題。無論如何的器械變遷,但是作為最主要的吻合方式單閉合+單吻合的吻合器使用方式仍是主流的吻合技術。在對 DACCA 數據分析中可以看到 SST 或 MST 這些吻合技術,但其應用要遠少于 DST,可能也從側面說明了 DST 應用的便捷性和可操作性。
3.1.2 吻合口的造型
吻合口造型是另外一個吻合方式的特征。DACCA 中得出的結果是端端吻合是應用最多的吻合口造型,也是經典的順行吻合[11],是結直腸癌外科醫生完成重建時最為主要的選擇,其中也主要是對直腸癌的吻合重建;而對于結腸癌患者來說,側側吻合是最為主要的吻合重建方式。側側大口徑的吻合技術,在早年的手術技術規范中進行了闡述,在隨后的幾年,針對類似的手術技術,有經歷過順行的 over-lap 和逆行的 over-lap 的討論[12],但最終還是比較經典的側側吻合成為主流的應用方式。從預防吻合口相關風險的角度看,確實有討論端端吻合技術和 pouch 的技術[13-14]的應用是不是會在術后風險上不同。但從大數據角度看,現在還沒有一個較為統一的定論。從本研究數據初步判斷,吻合口的器械使用情況和具體吻合口的造型可能都不是決定患者是否會發生吻合口相關風險事件的關鍵,但是還需對于整個數據的關系進行分析后才能定論,這是否會成為對于吻合方式有價值的研究依據也是值得期待的。
總之,吻合口的吻合方式多以 DST 為主,多選擇端端吻合,但這樣的吻合方式是否與吻合口術后風險有關,尚待進一步分析。
3.2 吻合口保護性措施
從數據角度看,可能還不能給出不同吻合方式是否會帶來吻合口不良事件發生的影響,因此還需從是否對于吻合口進行必要的技術操作保護進行探討。手術技術常規化的情況下,對于吻合口保護措施的情況則可能成為決定術后吻合口不良事件發生以及發生后嚴重程度的關鍵手術細節。所以在 DACCA 中,對于這個手術細節進行了詳細的劃分。
從數據分析看,對于結直腸癌切除后的重建吻合口患者中有約 1/3 的案例(33.2%)進行了吻合口的全周加固。至少在手術中的實際發現情況下,結直腸外科醫生認為進行全周加固是有必要的加固保護措施。在本研究數據分析中,經肛的一周加固其實也是屬于全周加固的案例。可見,對于吻合口一周的加固還是重要的保護性措施之一。當然,也有接近 1/3(32.3%)的患者并沒有在手術中進行吻合口一周的加固,這其中也可能是不需要加固或無法加固。是否加固吻合口會進一步的降低吻合口術后風險的研究還不太多[15],后期是可以通過真實世界的數據進行分析和探討的。
另外一項保護性措施是吻合后對于吻合口內的填塞,這里的填塞是特別指填塞的非肛管性質的材料[1]。在 DACCA 數據分類中,是把肛管劃分在引流的數據信息中的,填塞的材料可能是紗布、油紗或特殊可吸收材料等。既往有研究[16]提示,在吻合口內安置特定的材料,可以作為降低吻合口漏或吻合口出血發生率的措施,但也有其他的研究結果沒有證明這個關系。從 DACCA 的數據看,目前本中心覆蓋的結直腸癌患者需要填塞的主要是針對直腸癌保肛手術后的患者,其使用了填塞技術的患者大約有 45.9%。從填塞患者的實際臨床觀察上看,填塞技術本質并非降低吻合口漏或吻合口出血的發生,甚至臨床有案例是由于填塞內置物導致吻合口裂開。更多時候,填塞技術需要操作者準確完成填塞的內容并合理選擇填塞物到吻合口,從而預防異常情況的發生;填塞技術實施后也是為了在吻合口不良事件發生后可有更為有效的措施控制不良事件演變為嚴重合并癥,降低患者的風險。
總之,對于選擇不同填塞材料和具體的填塞方式是否與術后吻合口不良反應有怎樣的關系,還需要進一步研究分析。
3.3 吻合后觀察
從臨床操作的角度看,術中完成吻合和吻合口的保護性措施后就需在術后進一步觀察。最為傳統的觀察措施就是創腔的引流。對于創腔的術后狀態,DACCA 數據庫中通過引流管的數據參數和創面保護方式的數據參數來詳細描述手術的細節。
本 DACCA 數據庫研究中也把引流管的數據參數進行了分解,拆解為引流管的數目和保留引流管的天數。從本真實世界場景下的分析看,引流管的數量只有 1 根的屬于絕大多數,達到有對應數據信息的 99.4%。從臨床的實際情況來看,對于結直腸癌的手術只保留 1 根引流管是絕對的常規操作,也可認為是安全的操作方式,因為其他多于 1 根引流管的情況總比構成比太少,難以直接評估單根引流和多根引流之間比較的差異。但從應用的頻率看,單根引流是可以進行的常規操作。由于 ERAS 在一定時間段內的應用[17],對于結直腸癌術后不安置引流管在本研究團隊也進行過嘗試,證明其也具有安全性,不會增加術后并發癥的發生率。所以從引流管數量的初步判斷,引流管的多少不是解決術后并發癥的主要措施。從引流管保留的時間看,也沒有數據進一步確定是否更長的引流管保留時間更有利于患者,因此這點具有進一步研究的必要。
另外一個可以用于吻合后觀察的數據參數是在手術中對于手術創腔的保護措施,這一措施不是單純針對吻合口,而是對整個創面的保護和對于術后出現不必要腸粘連[1]等情況的預防。從 DACCA 的數據看,手術后使用部分大網膜覆蓋手術創面以及對于直腸癌術后做部分盆腹膜的修復是最為主要的創面保護措施。而對于防粘連材料,包括多種類型的防粘連內置物都不是主要的應用手段。盡管有報道說防粘連材料在腹部手術后可能存在有價值,但是從真實世界數據角度上初步判斷并沒有這樣的結果論斷,但還需要進一步進行創面保護措施和術后并發癥的關聯性分析。
總之,對于吻合后的安全措施中,對于創面的保護是常態化的。從引流管的保留看,單根引流管保留是常規,可能從真實世界角度上看是完全可行的,但是還需要進一步數據論證。
3.4 惡性腫瘤術中保護
對于結直腸癌手術中的創傷操作、創面的腫瘤相關治療等都是重要的術中保護性措施。在 DACCA 中有專門針對結直腸癌的腫瘤性細節指標會在后續的數據庫研究和數據庫建設中報道。在本研究中作為數據庫手術操作細節構建中也有關于術中污染和術中抗腫瘤藥物使用的數據參數。
從術中污染的數據上看,盡管很少有研究對于術中污染進行較為清晰的闡述[18],但是 DACCA 基于一個對于術中污染的分級結構化后,對于術中污染情況進行了分析,可見并非絕大多數結直腸癌患者手術可以做到無污染,仍舊有相當的患者出現術中輕度污染的情況,這種惡性腫瘤的污染就可能會與術后的感染性并發癥風險以及術后創腔復發存在關系,因此,需要引起重視。
從既往的觀點看,由于認為通過創腔內施加抗腫瘤藥物治療包括液體或緩釋制劑的使用減少創腔內的局部復發、控制遠處轉移的發生[19-20],這與近年來通過腹腔內治療的多種措施控制惡性腫瘤的總體理念是一致的[21],但是這些措施的實施需要有足夠長時間的長期隨訪才能印證其臨床價值。
因此,對于惡性腫瘤術中保護的措施,需要關注術中污染情況并且通過長期隨訪結果判斷目前的術中治療是否真的有臨床價值。
重要聲明
利益沖突聲明:本文全體作者閱讀并理解了《中國普外基礎與臨床雜志》的政策聲明,我們沒有相互競爭的利益。
作者貢獻聲明:汪曉東主要負責數據庫提供、文章修改以及部分文章撰寫;由屹先主要負責數據抽取、統計分析和投稿工作;劉健博主要負責表格繪制、參考文獻的查閱以及統計分析工作的指導;汪曉東和李立共同為華西DACCA的構建者和主要應用分析人員。
倫理聲明:本研究已通過四川大學華西醫院倫理學委員會的審核并同意(批文編號:2019-140 號)。