引用本文: 康明, 黃杰華, 張理選, 王新光, 郭漢明, 何瑞軒. 殼聚糖/胡須/磷酸鈣骨水泥復合生物材料的力學性能及對誘導多能干細胞成骨潛能的影響. 中國修復重建外科雜志, 2018, 32(7): 959-967. doi: 10.7507/1002-1892.201710028 復制
磷酸鈣骨水泥(calcium phosphate cement,CPC)由 Brown 和 Chow 等于 1985 年首次報道,CPC 以其良好的塑性、成骨性能、生物相容性以及骨傳導性應用于骨科與口腔科研究[1];1991 年被美國食品藥品監督管理局(FDA)批準用于骨科、整形科、口腔科修復應用。但 CPC 機械強度較低以及生物脆性較大等不足,限制了其在承重骨缺損修復的應用[2]。殼聚糖主要來自于蟹殼類提取物,能夠被生物體內的酶降解,不存在免疫原性,被廣泛應用于組織工程技術中[3-4]。胡須作為一種纖維,能夠有效增強植入材料的機械強度而應用于組織工程[5]。
誘導多能干細胞(induced potential stem cells,iPS)來源于自體組織(皮膚、血液、骨組織等),具有等同于胚胎干細胞的高分化能力,但與胚胎干細胞相比,其最大優勢是不具備倫理爭議和免疫排斥性,已成為組織工程研究的熱點細胞[6]。但由于其高分化特性,亦同時存在致瘤性缺陷,一般首先將其誘導為 iPS-MSCs 后,再應用到組織工程骨中[7-8]。本研究通過復合殼聚糖、胡須和 CPC,旨在構建一種新型強化型 CPC 組織工程骨,并探索 iPS-MSCs 在該新型強化型 CPC 生物支架材料上的細胞活性及成骨能力。
1 材料與方法
1.1 實驗動物及主要材料、儀器
3 月齡雄性 SD 大鼠 24 只,體質量(430.26±33.82)g,由南方醫科大學實驗動物中心提供。
CPC 粉末:取磷酸四鈣(tetracalcium phosphate,TTCP;由 CaCO3 與 CaHPO4 高溫煅燒生成),經研磨獲得直徑 1~80 μm、平均 17 μm 的顆粒;無水磷酸氫鈣(dicalcium phosphate anhydrous,DCPA)經研磨篩選獲得直徑 0.4~3.0 μm、平均 1.0 μm 的顆粒;將 TTCP 與 DCPA 以 1∶1 比例混合后形成 CPC 粉末[9-10]。將胡須于沸水中不停攪拌 30 min 破壞其蛋白質結構后,粉碎成平均直徑為 14 μm 的片段,于 95% 乙醇中以 1∶10 比例混合攪拌,直至乙醇完全蒸發,以增加組織相容性[11]。
iPS-MSCs 由約翰霍普金斯大學 Linzhao Chen 課題組提供,加入細胞培養液(90%DMEM+10%FBS),于 37℃、5%CO2、100% 濕度孵箱中進行細胞培養,隔日換液 1 次,當細胞密度為 90% 時以 2.5% 胰蛋白酶進行消化傳代。
細胞計數試劑盒 8(cell counting kit 8,CCK-8)檢測試劑盒(同仁化學研究所,日本);ALP 活性檢測試劑盒(Abcam 公司,英國);Live/Dead 熒光染色及定量檢測試劑盒、RT-PCR 相關試劑(Invitrogen 公司,美國)。MTS 萬能材料試驗機(MTS 公司,美國);FEI-Quanta200 型掃描電鏡(Phillips 公司,荷蘭);熒光倒置顯微鏡(Nikon 公司,日本);分光光度計(Roche 公司,瑞士)。
1.2 實驗分組及方法
根據制備的支架材料不同,將實驗分為 4 組。A 組將 CPC 粉末與超純水以 2∶1 比例混合;B 組將 CPC 與 10%wt 殼聚糖以 2∶1 比例混合;C 組按 CPC∶10%wt 殼聚糖∶胡須為 2∶1∶1 比例混合;D 組按 CPC∶10%wt 殼聚糖∶胡須為 2∶1∶2 比例混合。將各組骨水泥置于模具塑形后,于 37℃、5%CO2、100% 濕度孵箱中固定 4 h 后取出,于 37℃ 超純水中浸泡 20 h,取出測量其機械性能及其他生物活性。
1.3 觀測指標
1.3.1 支架材料力學性能檢測
將各組預制成型的支架材料置于萬能材料試驗機上,采用三點彎曲試驗檢測各支架材料的抗彎強度、彈性模量、斷裂功和硬度[12-13]。
1.3.2 掃描電鏡觀察
將各組預制成型的支架材料于去離子水中放置 24 h,待其完全塑形后,對標本進行橫斷面掃描電鏡觀察。
1.3.3 細胞活性檢測
每組取 6 個支架,將第 5 代 iPS-MSCs 按 3×105個/孔密度接種于各組支架材料上,培養 1、3、7、14 d,采用 CCK-8 法檢測各組吸光度(A)值。
1.3.4 成骨能力檢測
參考文獻[14]方法,分別于細胞-支架共培養 1、7、14 d 于熒光倒置顯微鏡下行 Live/Dead 熒光染色觀察及定量檢測;參考文獻[15]方法,采用 RT-PCR 檢測成骨基因 ALP、Runx2、Ⅰ型膠原、骨鈣蛋白(osteocalcin,OC)及 BMP-2 表達;參考文獻[16]方法,于共培養 1、7、14、21 d 行茜素紅染色觀察及定量檢測 A 值。
1.3.5 骨組織修復能力檢測
取 3 月齡雄性 SD 大鼠 24 只,根據植入支架不同隨機分為 4 組,每組 6 只。以 8 mm 環鉆制作大鼠顱骨骨缺損,分別植入 4 組支架材料。術后 8 周處死動物,取出標本,固定、脫鈣、包埋、切片,行 HE 染色。每組隨機選擇 6 張切片,采用 Image Pro-Plus 6.0 圖像分析軟件分析,放大 40 倍下隨機選取 6 個視野,行新生骨體積百分比和新生血管密度比較,觀察骨缺損修復情況。
1.4 統計學方法
采用 SPSS22.0 統計軟件進行分析。數據以均數±標準差表示,組間比較采用單因素方差分析,兩兩比較采用 SNK 檢驗;檢驗水準 α=0.05。
2 結果
2.1 支架材料力學性能檢測
B、C、D 組抗彎強度、斷裂功、彈性模量及硬度均顯著高于 A 組,C、D 組高于 B 組,D 組高于 C 組,差異均有統計學意義(P<0.05)。見表 1。
)
Table1.
Mechanical properties test of scaffold materials in each group (n=6,
)
2.2 掃描電鏡觀察
A 組材料斷裂面相對平坦,呈典型的易碎材料表現。B 組材料斷裂面較光滑,CPC 顆粒黏合緊密。C、D 組材料橫斷面可見 CPC 顆粒與胡須混雜其中,CPC 顆粒黏合緊密,C、D 組間無明顯區別。見圖 1。
2.3 細胞活性檢測
CCK-8 法檢測示,隨培養時間延長,各組 A 值均逐漸增加,于 14 d 時達峰值。第 3、7、14 天時 B、C、D 組 A 值均顯著高于 A 組,C、D 組顯著高于 B 組,差異均有統計學意義(P<0.05);C、D 組間差異無統計學意義(P>0.05)。見圖 2。
2.4 成骨能力檢測
2.4.1 Live/Dead 熒光染色及定量檢測
熒光倒置顯微鏡下可見材料表面的死細胞(紅色)較少;長梭狀活細胞(綠色)均勻分布于 4 組支架材料表面,細胞質長度為 20~60 μm,隨培養時間增加,活細胞數量逐漸增加,7、14 d 時細胞與細胞間連接交織在一起,細胞呈長梭狀聚集成細胞團。見圖 3。培養 1 d 時各組活細胞比例比較差異無統計學意義(P>0.05);隨培養時間延長,7、14 d 時 B、C、D 組活細胞比例均顯著高于 A 組,差異有統計學意義(P<0.05);7 d 時 C、D 組顯著高于 B 組(P<0.05),C、D 組間比較差異無統計學意義(P>0.05);14 d 時 B、C、D 組間比較差異均無統計學意義(P>0.05)。見表 2。
)
Table2.
Comparison of the proportion of living cells in cell- scaffold compound culture at different time points (n=24,
)
2.4.2 RT-PCR 檢測
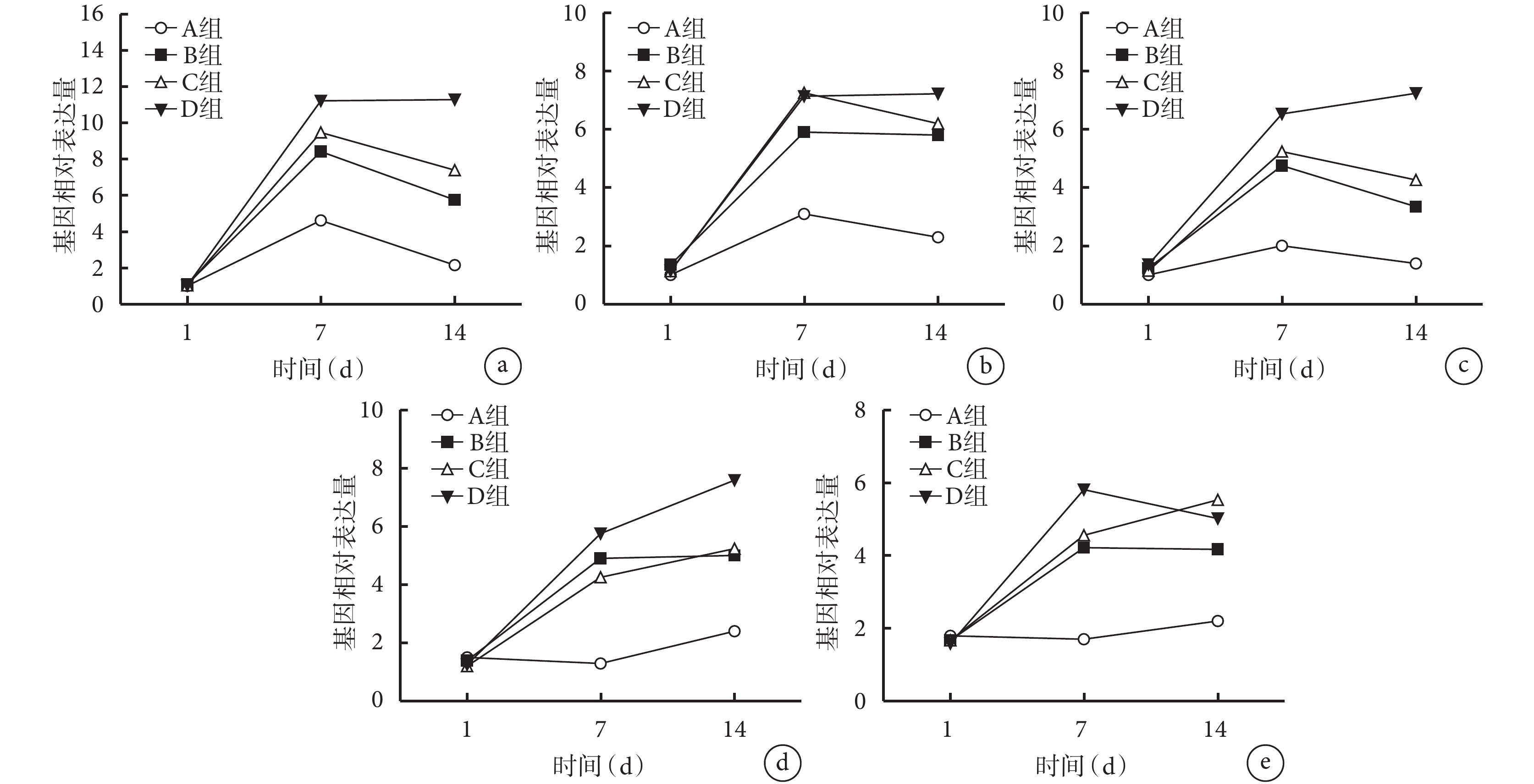
各組 ALP、Runx2 和Ⅰ型膠原基因表達于培養 7 d 達峰值,14 d 時稍降低;除 B 組 OC、BMP-2 基因及 D 組 BMP-2 基因表達于培養 7 d 達峰值、14 d 時稍降低外,其余各組 OC、BMP-2 基因表達均于 14 d 時達峰值。7、14 d 時 B、C、D 組 ALP、Runx2、Ⅰ型膠原、OC、BMP-2 基因相對表達量均顯著高于 A 組,C、D 組顯著高于 B 組,差異均有統計學意義(P<0.05);C、D 組間差異無統計學意義(P>0.05)。見圖 4。
2.4.3 茜素紅染色觀察
隨培養時間延長,各組支架材料表面的紅色鈣鹽沉積均逐漸加深變厚,且各組支架差異越來越大。培養 1 d 各組 A 值比較差異無統計學意義(P>0.05)。7 d 時 C、D 組A 值高于 A、B 組,差異有統計學意義(P<0.05);A、B 組間及 C、D 組間差異無統計學意義(P>0.05)。14、21 d 時 B、C、D 組A 值均顯著高于 A 組,C、D 組高于 B 組,差異有統計學意義(P<0.05);C、D 組間差異無統計學意義(P>0.05)。見圖 5、6。
2.5 骨組織修復能力檢測
術后 8 周 HE 染色示,各組新生骨主要填充于支架材料間隙中,成骨細胞和新生血管被基質中的新生骨組織包圍,成骨細胞排列在新生骨邊界上。B、C、D 組新生骨明顯多于 A 組,C、D 組明顯多于 B 組。見圖 7。
A、B、C、D 組新生骨體積百分比分別為 10.02%±2.36%、15.21%±4.42%、24.43%±5.32%、27.31%±6.21%,新生血管密度分別為(5.23±1.72)、(22.93±8.32)、(33.23±6.92)、(37.82±8.12)個/mm2,B、C、D 組新生骨體積百分比和新生血管密度均顯著高于 A 組,C、D 組高于 B 組,差異有統計學意義(P<0.05);C、D 組間差異無統計學意義(P>0.05)。
圖1
各組支架材料掃描電鏡觀察(×40)
紅箭頭示 CPC,黃箭頭示胡須 a. A 組;b. B 組;c. C 組;d. D 組
Figure1. Scanning electron microscope observation of the scaffold materials in each group (×40)The red arrow indicated CPC, yellow arrow indicated whisker a. Group A; b. Group B; c. Group C; d. Group D
圖2
CCK-8 法檢測各組細胞-支架復合培養各時間點細胞活性
Figure2.
Cell activity of cell scaffold composite cultured for different time points by CCK-8 method
圖3
細胞-支架復合培養各時間點 Live/Dead 熒光染色觀察(倒置熒光顯微鏡×40)
從左至右依次為培養 1、7、14 d a. A 組;b. B 組;c. C 組;d. D 組
Figure3. Live/Dead fluorescence staining observation of cell scaffold culture at different time points (Inverted fluorescence microscope×40)From left to right for cultured 1, 7, and 14 days a. Group A; b. Group B; c. Group C; d. Group D
圖4
RT-PCR 檢測細胞-支架復合培養各時間點各成骨基因相對表達量
a. ALP;b. Runx2;c. Ⅰ型膠原;d. OC;e. BMP-2
Figure4. The relative expression of osteogenic genes at different time points detected by RT-PCRa. ALP; b. Runx2; c. Collagen type Ⅰ; d. OC; e. BMP-2
圖5
細胞-支架復合培養各時間點茜素紅染色觀察
從左至右依次為培養 1、7、14、21 d a. A 組;b. B 組;c. C 組;d. D 組
Figure5. Alizarin red staining observation at different time pointsFrom left to right for cultured 1, 7, 14, and 21 days a. Group A; b. Group B; c. Group C; d. Group D
圖6
細胞-支架復合培養各時間點茜素紅染色定量檢測
Figure6.
Quantitative determination of alizarin red staining at different time points
圖7
各組大鼠顱骨骨缺損修復術后 8 周 HE 染色觀察(×40)
a. A 組;b. B 組;c. C 組;d. D 組
Figure7. HE staining observation at 8 weeks after cranial bone defect repairing (×40)a. Group A; b. Group B; c. Group C; d. Group D
3 討論
CPC 材料具有良好的生物活性與成骨能力[17]。目前主要被用于骨科與口腔科臨床應用中,包括額骨竇的修復以及顱骨缺損的重建[18]。但 CPC 的生物脆性及較低的機械強度限制了其只能應用在非承重骨部位,對于承重部位的骨缺損并不能得到有效修復[19]。解決這一缺陷的途徑是通過在 CPC 支架材料中添加固化劑以及其他生物活性材料,提高其機械性能及生物相容性[20]。本研究中,通過在 CPC 中添加殼聚糖及胡須,構建的新型強化型 CPC 復合骨填充材料的抗彎強度最大增加到(161.83±18.18)MPa,斷裂功增加到(2.12±0.51)kJ/m2,比本課題組前期構建的單純 CPC 支架材料增加了 3~4 倍[21-23],與文獻報道的皮質骨抗彎強度(100~200 MPa)及斷裂功(2.2~2.4 kJ/m2)接近[24-25],在臨床應用中,可滿足皮質骨及松質骨的機械要求。
除抗彎強度、斷裂功與皮質骨類似外,該新型強化型 CPC 復合生物材料的彈性模量與硬度也與皮質骨類似。文獻報道皮質骨的彈性模量為 16.6~25.7 GPa,松質骨為 13.4~19.4 GPa[26]。本研究中,預成型的單純 CPC 材料彈性模量僅為(11.81±1.52)GPa,而 D 組構建的新型強化型 CPC 復合支架材料的彈性模量為(15.12±0.71)GPa,與松質骨及皮質骨的最低彈性模量接近[27]。研究證實皮質骨的硬度為 0.56~0.74 GPa,松質骨為 0.52~0.62 GPa[26],本研究中單純 CPC 支架材料的硬度為(0.41±0.05)GPa,而各復合支架材料的硬度范圍為平均 0.52~0.62 GPa,提示復合支架材料符合松質骨與皮質骨的力學要求。
天然骨組織主要包括膠原纖維、羥基磷灰石晶體顆粒與其他有機成分[28]。在本研究中,生物活性成分包括纖維(胡須)、羥基磷灰石(CPC)混合在基質成分(殼聚糖)中。細胞培養和 Live/Dead 染色顯示,單純 CPC 和 CPC/胡須支架材料具有相同的生物相容性,胡須并不具有生物毒性。倒置熒光顯微鏡顯示培養 1 d 時,iPS-MSCs 能夠在 3 種支架材料表面黏附、擴增,且表現出較好的生物活性。14 d 時,倒置熒光顯微鏡檢測顯示 3 種支架材料的細胞黏附、擴增近似相同,證明 CPC/胡須支架材料具有良好的生物相容性及生物活性。
ALP 基因是 MSCs 成骨分化早期階段的重要標志,并且被認為是骨組織礦化成熟的重要先決條件[29]。前期實驗研究證實 OC 和 Runx2 在 MSCs 成骨分化中同時扮演著重要角色,OC、BMP-2 基因是成骨細胞分化后期階段重要標志基因[30]。本研究中,iPS-MSCs 的 ALP、OC、Runx2 基因表達在復合生物支架上明顯升高,提示 iPS-MSCs 成功分化為成骨細胞。茜素紅染色結果同樣表明復合支架材料上 iPS-MSCs 分化形成成骨細胞。提示在基于 iPS-MSCs 的骨組織工程中,該復合支架材料是一種十分有前景的生物支架材料。
增加胡須∶CPC 比例可以顯著增加復合支架材料的機械性能(斷裂功、彈性模量和硬度),但 CPC 含量相應減少后可能會相應減少復合支架材料的生物活性,通過添加生物活性成分可增加復合支架材料的生物活性。本研究中,A~D 組中胡須的比例分別為 0、0、25%、40%,當胡須比例為 40% 比例時,復合生物支架材料保持最高的機械性能,任意塑形后可修補不規則顱骨骨缺損,且該比例下 iPS-MSCs 保持最高的生物活性及成骨性能。
骨組織工程支架材料在動物體內的最大問題是缺乏組織相容性以及隨之而來的成骨效果。本研究動物體內植入實驗中,HE 染色結果顯示,添加胡須與殼聚糖的 C、D 組成骨性能較傳統 CPC 支架材料明顯增加,并不存在組織相容性的問題,提示該生物材料可明顯促進動物體內骨組織修復,是一種十分有前景的生物支架材料。
綜上述,本研究結果表明,復合殼聚糖與胡須的新型生物材料具有良好的機械性能與生物活性,細胞在支架材料表面黏附擴增,生長良好。動物實驗提示該復合生物材料可有效促進骨組織的修復,未來有望應用到臨床研究中。但本實驗動物模型只是 SD 大鼠顱骨骨缺損,不能驗證其修復承重骨的效果,本課題組下一步將繼續進行該復合生物材料促進哺乳類動物承重骨缺損修復的實驗研究。
磷酸鈣骨水泥(calcium phosphate cement,CPC)由 Brown 和 Chow 等于 1985 年首次報道,CPC 以其良好的塑性、成骨性能、生物相容性以及骨傳導性應用于骨科與口腔科研究[1];1991 年被美國食品藥品監督管理局(FDA)批準用于骨科、整形科、口腔科修復應用。但 CPC 機械強度較低以及生物脆性較大等不足,限制了其在承重骨缺損修復的應用[2]。殼聚糖主要來自于蟹殼類提取物,能夠被生物體內的酶降解,不存在免疫原性,被廣泛應用于組織工程技術中[3-4]。胡須作為一種纖維,能夠有效增強植入材料的機械強度而應用于組織工程[5]。
誘導多能干細胞(induced potential stem cells,iPS)來源于自體組織(皮膚、血液、骨組織等),具有等同于胚胎干細胞的高分化能力,但與胚胎干細胞相比,其最大優勢是不具備倫理爭議和免疫排斥性,已成為組織工程研究的熱點細胞[6]。但由于其高分化特性,亦同時存在致瘤性缺陷,一般首先將其誘導為 iPS-MSCs 后,再應用到組織工程骨中[7-8]。本研究通過復合殼聚糖、胡須和 CPC,旨在構建一種新型強化型 CPC 組織工程骨,并探索 iPS-MSCs 在該新型強化型 CPC 生物支架材料上的細胞活性及成骨能力。
1 材料與方法
1.1 實驗動物及主要材料、儀器
3 月齡雄性 SD 大鼠 24 只,體質量(430.26±33.82)g,由南方醫科大學實驗動物中心提供。
CPC 粉末:取磷酸四鈣(tetracalcium phosphate,TTCP;由 CaCO3 與 CaHPO4 高溫煅燒生成),經研磨獲得直徑 1~80 μm、平均 17 μm 的顆粒;無水磷酸氫鈣(dicalcium phosphate anhydrous,DCPA)經研磨篩選獲得直徑 0.4~3.0 μm、平均 1.0 μm 的顆粒;將 TTCP 與 DCPA 以 1∶1 比例混合后形成 CPC 粉末[9-10]。將胡須于沸水中不停攪拌 30 min 破壞其蛋白質結構后,粉碎成平均直徑為 14 μm 的片段,于 95% 乙醇中以 1∶10 比例混合攪拌,直至乙醇完全蒸發,以增加組織相容性[11]。
iPS-MSCs 由約翰霍普金斯大學 Linzhao Chen 課題組提供,加入細胞培養液(90%DMEM+10%FBS),于 37℃、5%CO2、100% 濕度孵箱中進行細胞培養,隔日換液 1 次,當細胞密度為 90% 時以 2.5% 胰蛋白酶進行消化傳代。
細胞計數試劑盒 8(cell counting kit 8,CCK-8)檢測試劑盒(同仁化學研究所,日本);ALP 活性檢測試劑盒(Abcam 公司,英國);Live/Dead 熒光染色及定量檢測試劑盒、RT-PCR 相關試劑(Invitrogen 公司,美國)。MTS 萬能材料試驗機(MTS 公司,美國);FEI-Quanta200 型掃描電鏡(Phillips 公司,荷蘭);熒光倒置顯微鏡(Nikon 公司,日本);分光光度計(Roche 公司,瑞士)。
1.2 實驗分組及方法
根據制備的支架材料不同,將實驗分為 4 組。A 組將 CPC 粉末與超純水以 2∶1 比例混合;B 組將 CPC 與 10%wt 殼聚糖以 2∶1 比例混合;C 組按 CPC∶10%wt 殼聚糖∶胡須為 2∶1∶1 比例混合;D 組按 CPC∶10%wt 殼聚糖∶胡須為 2∶1∶2 比例混合。將各組骨水泥置于模具塑形后,于 37℃、5%CO2、100% 濕度孵箱中固定 4 h 后取出,于 37℃ 超純水中浸泡 20 h,取出測量其機械性能及其他生物活性。
1.3 觀測指標
1.3.1 支架材料力學性能檢測
將各組預制成型的支架材料置于萬能材料試驗機上,采用三點彎曲試驗檢測各支架材料的抗彎強度、彈性模量、斷裂功和硬度[12-13]。
1.3.2 掃描電鏡觀察
將各組預制成型的支架材料于去離子水中放置 24 h,待其完全塑形后,對標本進行橫斷面掃描電鏡觀察。
1.3.3 細胞活性檢測
每組取 6 個支架,將第 5 代 iPS-MSCs 按 3×105個/孔密度接種于各組支架材料上,培養 1、3、7、14 d,采用 CCK-8 法檢測各組吸光度(A)值。
1.3.4 成骨能力檢測
參考文獻[14]方法,分別于細胞-支架共培養 1、7、14 d 于熒光倒置顯微鏡下行 Live/Dead 熒光染色觀察及定量檢測;參考文獻[15]方法,采用 RT-PCR 檢測成骨基因 ALP、Runx2、Ⅰ型膠原、骨鈣蛋白(osteocalcin,OC)及 BMP-2 表達;參考文獻[16]方法,于共培養 1、7、14、21 d 行茜素紅染色觀察及定量檢測 A 值。
1.3.5 骨組織修復能力檢測
取 3 月齡雄性 SD 大鼠 24 只,根據植入支架不同隨機分為 4 組,每組 6 只。以 8 mm 環鉆制作大鼠顱骨骨缺損,分別植入 4 組支架材料。術后 8 周處死動物,取出標本,固定、脫鈣、包埋、切片,行 HE 染色。每組隨機選擇 6 張切片,采用 Image Pro-Plus 6.0 圖像分析軟件分析,放大 40 倍下隨機選取 6 個視野,行新生骨體積百分比和新生血管密度比較,觀察骨缺損修復情況。
1.4 統計學方法
采用 SPSS22.0 統計軟件進行分析。數據以均數±標準差表示,組間比較采用單因素方差分析,兩兩比較采用 SNK 檢驗;檢驗水準 α=0.05。
2 結果
2.1 支架材料力學性能檢測
B、C、D 組抗彎強度、斷裂功、彈性模量及硬度均顯著高于 A 組,C、D 組高于 B 組,D 組高于 C 組,差異均有統計學意義(P<0.05)。見表 1。
)
Table1.
Mechanical properties test of scaffold materials in each group (n=6,
)
2.2 掃描電鏡觀察
A 組材料斷裂面相對平坦,呈典型的易碎材料表現。B 組材料斷裂面較光滑,CPC 顆粒黏合緊密。C、D 組材料橫斷面可見 CPC 顆粒與胡須混雜其中,CPC 顆粒黏合緊密,C、D 組間無明顯區別。見圖 1。
2.3 細胞活性檢測
CCK-8 法檢測示,隨培養時間延長,各組 A 值均逐漸增加,于 14 d 時達峰值。第 3、7、14 天時 B、C、D 組 A 值均顯著高于 A 組,C、D 組顯著高于 B 組,差異均有統計學意義(P<0.05);C、D 組間差異無統計學意義(P>0.05)。見圖 2。
2.4 成骨能力檢測
2.4.1 Live/Dead 熒光染色及定量檢測
熒光倒置顯微鏡下可見材料表面的死細胞(紅色)較少;長梭狀活細胞(綠色)均勻分布于 4 組支架材料表面,細胞質長度為 20~60 μm,隨培養時間增加,活細胞數量逐漸增加,7、14 d 時細胞與細胞間連接交織在一起,細胞呈長梭狀聚集成細胞團。見圖 3。培養 1 d 時各組活細胞比例比較差異無統計學意義(P>0.05);隨培養時間延長,7、14 d 時 B、C、D 組活細胞比例均顯著高于 A 組,差異有統計學意義(P<0.05);7 d 時 C、D 組顯著高于 B 組(P<0.05),C、D 組間比較差異無統計學意義(P>0.05);14 d 時 B、C、D 組間比較差異均無統計學意義(P>0.05)。見表 2。
)
Table2.
Comparison of the proportion of living cells in cell- scaffold compound culture at different time points (n=24,
)
2.4.2 RT-PCR 檢測
各組 ALP、Runx2 和Ⅰ型膠原基因表達于培養 7 d 達峰值,14 d 時稍降低;除 B 組 OC、BMP-2 基因及 D 組 BMP-2 基因表達于培養 7 d 達峰值、14 d 時稍降低外,其余各組 OC、BMP-2 基因表達均于 14 d 時達峰值。7、14 d 時 B、C、D 組 ALP、Runx2、Ⅰ型膠原、OC、BMP-2 基因相對表達量均顯著高于 A 組,C、D 組顯著高于 B 組,差異均有統計學意義(P<0.05);C、D 組間差異無統計學意義(P>0.05)。見圖 4。
2.4.3 茜素紅染色觀察
隨培養時間延長,各組支架材料表面的紅色鈣鹽沉積均逐漸加深變厚,且各組支架差異越來越大。培養 1 d 各組 A 值比較差異無統計學意義(P>0.05)。7 d 時 C、D 組A 值高于 A、B 組,差異有統計學意義(P<0.05);A、B 組間及 C、D 組間差異無統計學意義(P>0.05)。14、21 d 時 B、C、D 組A 值均顯著高于 A 組,C、D 組高于 B 組,差異有統計學意義(P<0.05);C、D 組間差異無統計學意義(P>0.05)。見圖 5、6。
2.5 骨組織修復能力檢測
術后 8 周 HE 染色示,各組新生骨主要填充于支架材料間隙中,成骨細胞和新生血管被基質中的新生骨組織包圍,成骨細胞排列在新生骨邊界上。B、C、D 組新生骨明顯多于 A 組,C、D 組明顯多于 B 組。見圖 7。
A、B、C、D 組新生骨體積百分比分別為 10.02%±2.36%、15.21%±4.42%、24.43%±5.32%、27.31%±6.21%,新生血管密度分別為(5.23±1.72)、(22.93±8.32)、(33.23±6.92)、(37.82±8.12)個/mm2,B、C、D 組新生骨體積百分比和新生血管密度均顯著高于 A 組,C、D 組高于 B 組,差異有統計學意義(P<0.05);C、D 組間差異無統計學意義(P>0.05)。
圖1
各組支架材料掃描電鏡觀察(×40)
紅箭頭示 CPC,黃箭頭示胡須 a. A 組;b. B 組;c. C 組;d. D 組
Figure1. Scanning electron microscope observation of the scaffold materials in each group (×40)The red arrow indicated CPC, yellow arrow indicated whisker a. Group A; b. Group B; c. Group C; d. Group D
圖2
CCK-8 法檢測各組細胞-支架復合培養各時間點細胞活性
Figure2.
Cell activity of cell scaffold composite cultured for different time points by CCK-8 method
圖3
細胞-支架復合培養各時間點 Live/Dead 熒光染色觀察(倒置熒光顯微鏡×40)
從左至右依次為培養 1、7、14 d a. A 組;b. B 組;c. C 組;d. D 組
Figure3. Live/Dead fluorescence staining observation of cell scaffold culture at different time points (Inverted fluorescence microscope×40)From left to right for cultured 1, 7, and 14 days a. Group A; b. Group B; c. Group C; d. Group D
圖4
RT-PCR 檢測細胞-支架復合培養各時間點各成骨基因相對表達量
a. ALP;b. Runx2;c. Ⅰ型膠原;d. OC;e. BMP-2
Figure4. The relative expression of osteogenic genes at different time points detected by RT-PCRa. ALP; b. Runx2; c. Collagen type Ⅰ; d. OC; e. BMP-2
圖5
細胞-支架復合培養各時間點茜素紅染色觀察
從左至右依次為培養 1、7、14、21 d a. A 組;b. B 組;c. C 組;d. D 組
Figure5. Alizarin red staining observation at different time pointsFrom left to right for cultured 1, 7, 14, and 21 days a. Group A; b. Group B; c. Group C; d. Group D
圖6
細胞-支架復合培養各時間點茜素紅染色定量檢測
Figure6.
Quantitative determination of alizarin red staining at different time points
圖7
各組大鼠顱骨骨缺損修復術后 8 周 HE 染色觀察(×40)
a. A 組;b. B 組;c. C 組;d. D 組
Figure7. HE staining observation at 8 weeks after cranial bone defect repairing (×40)a. Group A; b. Group B; c. Group C; d. Group D
3 討論
CPC 材料具有良好的生物活性與成骨能力[17]。目前主要被用于骨科與口腔科臨床應用中,包括額骨竇的修復以及顱骨缺損的重建[18]。但 CPC 的生物脆性及較低的機械強度限制了其只能應用在非承重骨部位,對于承重部位的骨缺損并不能得到有效修復[19]。解決這一缺陷的途徑是通過在 CPC 支架材料中添加固化劑以及其他生物活性材料,提高其機械性能及生物相容性[20]。本研究中,通過在 CPC 中添加殼聚糖及胡須,構建的新型強化型 CPC 復合骨填充材料的抗彎強度最大增加到(161.83±18.18)MPa,斷裂功增加到(2.12±0.51)kJ/m2,比本課題組前期構建的單純 CPC 支架材料增加了 3~4 倍[21-23],與文獻報道的皮質骨抗彎強度(100~200 MPa)及斷裂功(2.2~2.4 kJ/m2)接近[24-25],在臨床應用中,可滿足皮質骨及松質骨的機械要求。
除抗彎強度、斷裂功與皮質骨類似外,該新型強化型 CPC 復合生物材料的彈性模量與硬度也與皮質骨類似。文獻報道皮質骨的彈性模量為 16.6~25.7 GPa,松質骨為 13.4~19.4 GPa[26]。本研究中,預成型的單純 CPC 材料彈性模量僅為(11.81±1.52)GPa,而 D 組構建的新型強化型 CPC 復合支架材料的彈性模量為(15.12±0.71)GPa,與松質骨及皮質骨的最低彈性模量接近[27]。研究證實皮質骨的硬度為 0.56~0.74 GPa,松質骨為 0.52~0.62 GPa[26],本研究中單純 CPC 支架材料的硬度為(0.41±0.05)GPa,而各復合支架材料的硬度范圍為平均 0.52~0.62 GPa,提示復合支架材料符合松質骨與皮質骨的力學要求。
天然骨組織主要包括膠原纖維、羥基磷灰石晶體顆粒與其他有機成分[28]。在本研究中,生物活性成分包括纖維(胡須)、羥基磷灰石(CPC)混合在基質成分(殼聚糖)中。細胞培養和 Live/Dead 染色顯示,單純 CPC 和 CPC/胡須支架材料具有相同的生物相容性,胡須并不具有生物毒性。倒置熒光顯微鏡顯示培養 1 d 時,iPS-MSCs 能夠在 3 種支架材料表面黏附、擴增,且表現出較好的生物活性。14 d 時,倒置熒光顯微鏡檢測顯示 3 種支架材料的細胞黏附、擴增近似相同,證明 CPC/胡須支架材料具有良好的生物相容性及生物活性。
ALP 基因是 MSCs 成骨分化早期階段的重要標志,并且被認為是骨組織礦化成熟的重要先決條件[29]。前期實驗研究證實 OC 和 Runx2 在 MSCs 成骨分化中同時扮演著重要角色,OC、BMP-2 基因是成骨細胞分化后期階段重要標志基因[30]。本研究中,iPS-MSCs 的 ALP、OC、Runx2 基因表達在復合生物支架上明顯升高,提示 iPS-MSCs 成功分化為成骨細胞。茜素紅染色結果同樣表明復合支架材料上 iPS-MSCs 分化形成成骨細胞。提示在基于 iPS-MSCs 的骨組織工程中,該復合支架材料是一種十分有前景的生物支架材料。
增加胡須∶CPC 比例可以顯著增加復合支架材料的機械性能(斷裂功、彈性模量和硬度),但 CPC 含量相應減少后可能會相應減少復合支架材料的生物活性,通過添加生物活性成分可增加復合支架材料的生物活性。本研究中,A~D 組中胡須的比例分別為 0、0、25%、40%,當胡須比例為 40% 比例時,復合生物支架材料保持最高的機械性能,任意塑形后可修補不規則顱骨骨缺損,且該比例下 iPS-MSCs 保持最高的生物活性及成骨性能。
骨組織工程支架材料在動物體內的最大問題是缺乏組織相容性以及隨之而來的成骨效果。本研究動物體內植入實驗中,HE 染色結果顯示,添加胡須與殼聚糖的 C、D 組成骨性能較傳統 CPC 支架材料明顯增加,并不存在組織相容性的問題,提示該生物材料可明顯促進動物體內骨組織修復,是一種十分有前景的生物支架材料。
綜上述,本研究結果表明,復合殼聚糖與胡須的新型生物材料具有良好的機械性能與生物活性,細胞在支架材料表面黏附擴增,生長良好。動物實驗提示該復合生物材料可有效促進骨組織的修復,未來有望應用到臨床研究中。但本實驗動物模型只是 SD 大鼠顱骨骨缺損,不能驗證其修復承重骨的效果,本課題組下一步將繼續進行該復合生物材料促進哺乳類動物承重骨缺損修復的實驗研究。

