引用本文: 康國平, 朱宇, 楊歡, 張驥, 程海容, 唐梓文, 劉偉賢. 血清中性粒細胞明膠酶相關脂質運載蛋白與炎癥反應的關系及對重癥社區獲得性肺炎的診斷價值. 華西醫學, 2020, 35(1): 17-21. doi: 10.7507/1002-0179.201910025 復制
社區獲得性肺炎(community-acquired pneumonia,CAP)是一種常見的感染性疾病,常導致患者住院甚至死亡,是危害人類健康的重大問題[1]。盡管該病的預防、診斷、重癥監護和治療取得了很大進步,但其發病率和死亡率仍然很高。疾病嚴重程度評估和預測預后是管理 CAP 的重要環節,臨床上常用肺炎嚴重程度指數(Pneumonia Severity Index,PSI)、CURB-65 評分系統來評估患者病情和預判預后。這些指標雖然簡單易行,但對高死亡風險、老年或重癥 CAP(severe CAP,SCAP)患者并不完全適用,有一定局限性。因此一些生物標志物被用于評估早期感染期間肺炎的嚴重程度和預后,如降鈣素原(procalcitonin,PCT)、胱抑素 C、白細胞介素-6(interleukin-6,IL-6)、中性粒細胞明膠酶相關脂質運載蛋白(neutrophil gelatinase-associated lipocalin,NGAL)等[2]。PCT 雖為細菌感染的敏感指標[3],但其判斷 CAP 嚴重程度的報道不一致[4]。IL-6 雖為炎癥反應的敏感指標,但也不能用于 CAP 危險分層[3]。NGAL 主要由上皮細胞分泌,部分由活化的中性粒細胞分泌,在腎小管上皮細胞損傷時表達增高,目前主要用于判斷急性腎損傷。近年研究發現,在各種感染的患者中,無論是否合并腎臟損傷,其血清 NGAL(serum NGAL,sNGAL)水平明顯增高[5-6]。已有研究顯示 sNGAL 水平與 CAP 的嚴重程度呈正相關,且為 CAP 患者住院死亡的獨立預測因子[7]。Yeh 等[8]的研究顯示 sNGAL 與 PSI 和 CRUB-65 呈正相關,但沒有量化 sNGAL 對判斷 SCAP 的診斷價值。因此我們推測 sNGAL 可用于 SCAP 的早期識別。本研究旨在分析 sNGAL 濃度與炎癥反應標志物如 C 反應蛋白(C-reactive protein,CRP)、白細胞計數(white blood cell,WBC)、IL-6 的關系及其對 SCAP 的診斷價值。現報告如下。
1 資料與方法
1.1 研究對象
本研究為前瞻性研究。選擇 2018 年 1 月 1 日—2019 年 6 月 30 日巴中市中心醫院急診科住院治療的成年(年齡 18~75 歲)CAP 患者納入本研究。入院時采集患者資料,包括姓名、性別、年齡、既往病史、生命體征及靜脈血標本等,根據是否為 SCAP 分為 SCAP 組和非 SCAP 組。本研究經過巴中市中心醫院醫學倫理委員會批準(審批號:巴市醫倫【2019】05 號),所有患者或患者直系親屬簽署知情同意書同意本研究。
1.1.1 診斷標準
CAP 的診斷參照《中國成人社區獲得性肺炎診斷和治療指南(2016 年版)》[9],符合以下 4 條可建立臨床診斷:① 社區發病。② 至少存在以下任何 1 項肺炎相關臨床表現:A. 新近出現的咳嗽、咳痰或原有呼吸道疾病癥狀加重,伴或不伴膿痰、胸痛、呼吸困難及咯血;B. 發熱;C. 肺實變體征和(或)聞及濕性啰音;D. 外周血 WBC>10×109/L 或<4×109/L,伴或不伴細胞核左移。③ 胸部影像學檢查顯示新出現的斑片狀浸潤影、葉或段實變影、磨玻璃影或間質性改變,伴或不伴胸腔積液。④ 除外肺結核、肺部腫瘤、非感染性肺間質性疾病、肺水腫、肺不張、肺栓塞、肺嗜酸粒細胞浸潤癥及肺血管炎等其他肺部疾病。
SCAP 的診斷參照《中國成人社區獲得性肺炎診斷和治療指南(2016 年版)》[9],至少符合下列 1 項主要標準或≥3 項次要標準者可診斷為重癥肺炎:① 主要標準:A. 需氣管插管行機械通氣治療;B. 膿毒癥休克經積極液體復蘇后仍需血管活性藥物治療。② 次要標準:A. 呼吸頻率≥30 次/min;B. 氧合指數≤250 mm Hg(1 mm Hg=0.133 kPa);C. 多肺葉浸潤;D. 意識障礙和(或)定向障礙;E. 血尿素氮≥7.14 mmol/L;F. 收縮壓<90 mm Hg 需積極液體復蘇。
1.1.2 納入標準
符合上述 CAP 診斷標準且年齡 18~75 歲,同意本研究者按入院順序納入本研究。
1.1.3 排除標準
近期(3 個月內)存在以下至少 1 種情況:① 支氣管哮喘或慢性間質性肺疾病;② 肺功能中度或中度以上的慢性阻塞性肺疾病(慢阻肺);③ 合并心肌梗死、心力衰竭;④ 嚴重肝腎功能不全;⑤ 合并自身免疫性疾病;⑥ 惡性腫瘤;⑦ 妊娠期女性。
1.2 治療方法
所有患者均經驗性選用哌拉西林舒巴坦 2.5 g 靜脈注射,每 12 小時 1 次,療程 7 d。SCAP 加用左氧氟沙星 0.5 g 靜脈注射,1 次/d;入院后行細菌學檢查,必要時根據藥物敏感性試驗結果更換抗菌藥物。
1.3 標本采集及檢測方法
血清標本均于入院時采集,WBC、血肌酐、尿素氮、CRP 等由巴中市中心醫院檢驗科檢測。sNGAL 和 IL-6 的檢測采用酶聯免疫吸附測定法。本研究所用 NGAL 及 IL-6 檢測試劑盒購于武漢博士德公司。
1.4 肺炎嚴重程度評價方法
CAP 嚴重程度用 CRUB-65 評價[9],共 5 項,每項若符合得 1 分,包括:① 意識障礙;② 尿素氮>7 mmol/L;③ 呼吸頻率≥30 次/min;④ 收縮壓<90 mm Hg 或舒張壓≤60 mm Hg;⑤ 年齡≥65 歲。評分越高死亡風險越高。
1.5 統計學方法
采用 SPSS 13.0 軟件進行統計分析。正態分布的數值型變量用均數±標準差(±s)表示,方差齊性檢驗用 Bartlett 檢驗,兩組均數的比較用 t 檢驗;偏態分布的數值型變量用中位數(下四分位數,上四分位數)[M(QL,QU)]表示,兩組中位數的比較用 Mann-Whitney 秩和檢驗。計數資料用例數(百分數)表示,兩樣本率的比較用 χ2 檢驗或 Fisher 確切概率法。sNGAL 與各指標的相關關系用 Spearman 相關分析。sNGAL 對 SCAP 的診斷價值用受試者工作特征(receiver operating characteristic,ROC)曲線的曲線下面積(area under curve,AUC)及其 95% 置信區間(confidence interval,CI)表示,以 Youden 指數最大值確定截斷值。檢驗水準 α=0.05。
2 結果
2.1 一般資料
本研究共納入 CAP 患者 85 例,其中男 47 例,女 38 例;年齡(56.0±13.5)歲;合并癥:冠心病 10 例,慢阻肺 6 例,2 型糖尿病 9 例,原發性高血壓 18 例;SCAP 34 例,非 SCAP 51 例。
2.2 SCAP 組和非 SCAP 組臨床參數比較
兩組在性別、合并癥、血肌酐、WBC、PCT 和尿素氮等方面差異無統計學意義(P>0.05)。與非 SCAP 組比較,SCAP 組年齡更高,住院天數延長,sNGAL、CRP、IL-6 明顯增高,CURB-65 評分明顯增高,差異均有統計學意義(P<0.05)。見表 1。

2.3 sNGAL 與腎功能、CRP、IL-6、PCT、CURB-65 的相關性分析
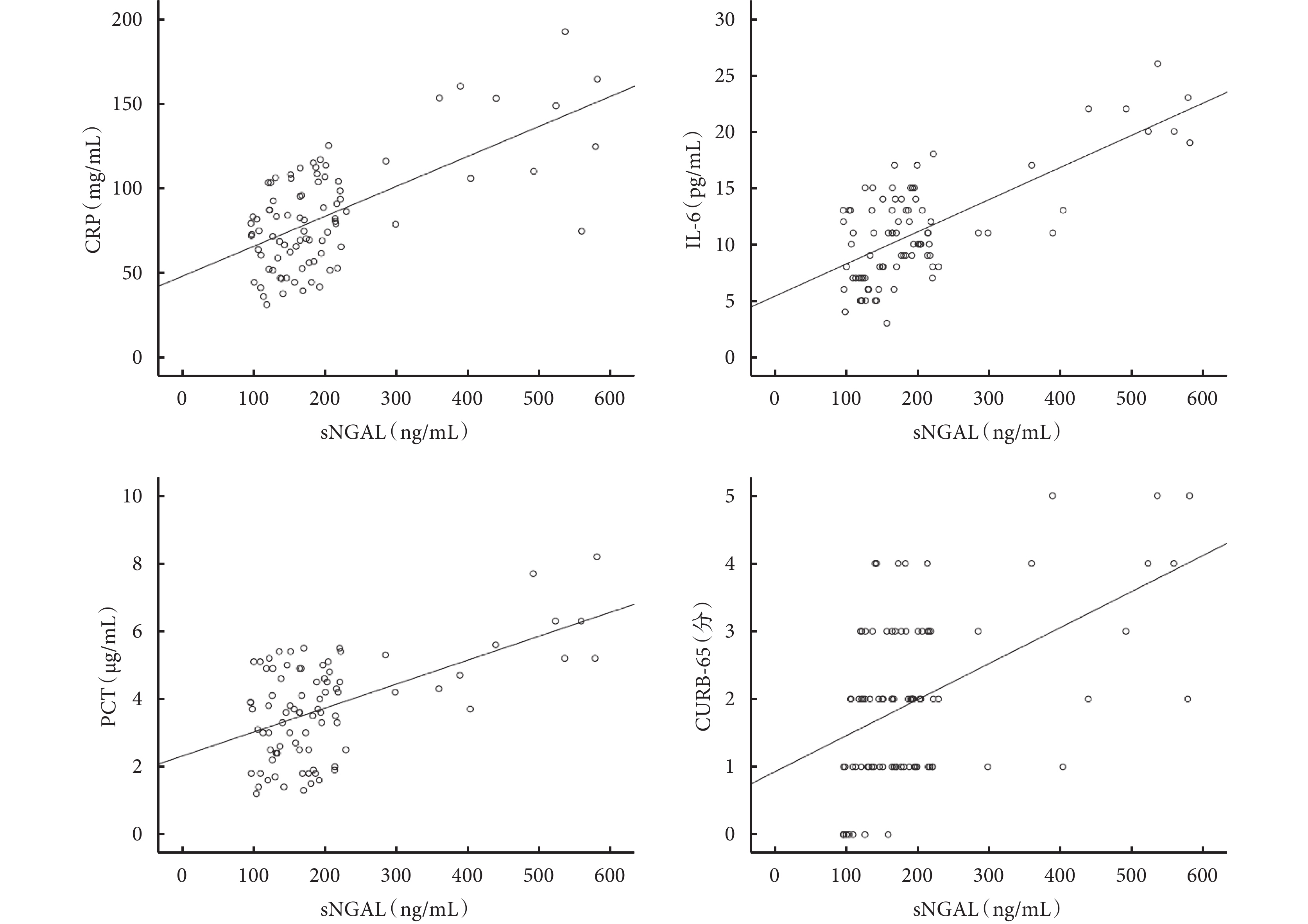
Spearman 相關分析顯示,sNGAL 與 CRP、IL-6、PCT 及 CURB-65 呈正相關(P<0.01);sNGAL 與 WBC、血肌酐、尿素氮的相關關系無統計學意義(P>0.05)。見表 2、圖 1。


2.4 sNGAL 判斷 SCAP 的 ROC 曲線分析
sNGAL 診斷 SCAP 的 AUC 為 0.816,有統計學意義(P<0.001);以 171.0 ng/mL 為截斷值,其診斷 SCAP 的靈敏度和特異度分別為 76.5% 和 74.5%。CRP 和 IL-6 診斷 SCAP 的 AUC 為 0.681 和 0.648,均有統計學意義(P<0.05)。PCT 診斷 SCAP 的 AUC 為 0.576,無統計學意義(P>0.05)。見表 3、圖 2。


3 討論
SCAP 是 CAP 死亡的主要原因,占 CAP 死亡的 11.4%,其病死率為 66.5%[10]。因此早期識別及干預是降低 CAP 死亡率的重要環節。本研究中 SCAP 比例較高,為 40%,是由納入對象均為住院 CAP 患者所致。本研究顯示,與非 SCAP 患者相比,SCAP 患者年齡明顯更高,住院時間明顯延長,說明 SCAP 是嚴重的社會經濟學問題。
目前對 CAP 嚴重程度分層普遍采用 PSI 和 CURB-65,用以評估死亡風險。PSI 是基于 20 項指標進行評估,臨床運用繁瑣,而且被證實更適合于死亡風險較低的非住院患者[11]。CURB-65 是一種易于操作的量表,用于對 CAP 危險分層的評估有一定的價值,但該量表不包括合并癥、生化指標等,對 CAP 危重程度的評估不全面。此外,指南上對于 SCAP 的診斷標準也推薦使用簡化美國感染病學會/美國胸科學會量表[9],也說明對 SCAP 的全面評估的重要性,以及對 CAP 嚴重程度的評估仍有繼續改進的空間。因此本研究將與炎癥反應及免疫反應有關的 NGAL 作為觀察指標可能為 CAP 的評估提供更全面的信息。
CAP 患者在感染后,細菌毒素引起嚴重的免疫反應,并在感染的急劇演變過程中產生多重有害損傷,造成組織和器官損傷和組織屏障破壞,促進細菌散布,攻擊宿主對病原體的第一道免疫防御線以及促進炎癥級聯反應等。毒素介導的并發癥可導致致命性并發癥如器官衰竭和敗血性休克[12-13]。炎癥反應貫穿 CAP 病理生理整個過程,本研究顯示 SCAP 組 sNGAL、CRP、IL-6 明顯增高,與 Siljan 等[14]的研究一致。但 WBC、PCT 在兩組間無明顯差異,說明這些常規檢查并不能為 CAP 嚴重程度分層提供有效信息。有研究顯示,sNGAL 升高可作為重癥患者發生細菌感染的參考指標,其準確性甚至超越 CRP 和 PCT[6]。本研究中 Spearman 相關分析顯示,sNGAL 水平與 CPR、IL-6、PCT 及 CURB-65 呈正相關,可能由于炎癥反應水平是決定 CAP 嚴重程度的重要因素。同時,NGAL 受氧化應激、內皮損傷等多種因素的影響,因此我們認為,在 CAP 患者中 sNGAL 水平能一定程度反映病情。
既往有許多關于 SCAP 的生物學分子的研究試圖將 WBC、CRP 或 PCT 用于輔助判斷 CAP 的嚴重程度,但這些指標并不足以判斷 CAP 嚴重程度或評估死亡風險[15]。本研究顯示,WBC 在非 SCAP 和 SCAP 中差異無統計學意義(P>0.05),顯然不能用于判斷 CAP 嚴重程度。本研究中 CRP 和 IL-6 診斷 SCAP 的 ROC AUC 為 0.681 和 0.648,其準確性明顯低于 sNGAL(AUC=0.816)。而 PCT 的 ROC AUC 僅為 0.576 且無統計學意義(P>0.05)。因此,sNGAL 是診斷 SCAP 較有價值的指標,靈敏度和特異度分別 76.5% 和 74.5%,診斷效能優于 CPR 和 IL-6。
本研究不足之處:① 只將入院時 sNGAL 納入研究,沒有連續監測 sNGAL 的濃度變化,可能對該指標的分析不夠全面;② 由于經費限制,樣本量較小。
綜上所述,sNGAL 在 SCAP 患者體內明顯增高,與炎癥反應水平呈正相關性,能反映 CAP 的病情嚴重程度,是輔助診斷 SCAP 的可靠指標,具有較高的靈敏度和特異度。
社區獲得性肺炎(community-acquired pneumonia,CAP)是一種常見的感染性疾病,常導致患者住院甚至死亡,是危害人類健康的重大問題[1]。盡管該病的預防、診斷、重癥監護和治療取得了很大進步,但其發病率和死亡率仍然很高。疾病嚴重程度評估和預測預后是管理 CAP 的重要環節,臨床上常用肺炎嚴重程度指數(Pneumonia Severity Index,PSI)、CURB-65 評分系統來評估患者病情和預判預后。這些指標雖然簡單易行,但對高死亡風險、老年或重癥 CAP(severe CAP,SCAP)患者并不完全適用,有一定局限性。因此一些生物標志物被用于評估早期感染期間肺炎的嚴重程度和預后,如降鈣素原(procalcitonin,PCT)、胱抑素 C、白細胞介素-6(interleukin-6,IL-6)、中性粒細胞明膠酶相關脂質運載蛋白(neutrophil gelatinase-associated lipocalin,NGAL)等[2]。PCT 雖為細菌感染的敏感指標[3],但其判斷 CAP 嚴重程度的報道不一致[4]。IL-6 雖為炎癥反應的敏感指標,但也不能用于 CAP 危險分層[3]。NGAL 主要由上皮細胞分泌,部分由活化的中性粒細胞分泌,在腎小管上皮細胞損傷時表達增高,目前主要用于判斷急性腎損傷。近年研究發現,在各種感染的患者中,無論是否合并腎臟損傷,其血清 NGAL(serum NGAL,sNGAL)水平明顯增高[5-6]。已有研究顯示 sNGAL 水平與 CAP 的嚴重程度呈正相關,且為 CAP 患者住院死亡的獨立預測因子[7]。Yeh 等[8]的研究顯示 sNGAL 與 PSI 和 CRUB-65 呈正相關,但沒有量化 sNGAL 對判斷 SCAP 的診斷價值。因此我們推測 sNGAL 可用于 SCAP 的早期識別。本研究旨在分析 sNGAL 濃度與炎癥反應標志物如 C 反應蛋白(C-reactive protein,CRP)、白細胞計數(white blood cell,WBC)、IL-6 的關系及其對 SCAP 的診斷價值。現報告如下。
1 資料與方法
1.1 研究對象
本研究為前瞻性研究。選擇 2018 年 1 月 1 日—2019 年 6 月 30 日巴中市中心醫院急診科住院治療的成年(年齡 18~75 歲)CAP 患者納入本研究。入院時采集患者資料,包括姓名、性別、年齡、既往病史、生命體征及靜脈血標本等,根據是否為 SCAP 分為 SCAP 組和非 SCAP 組。本研究經過巴中市中心醫院醫學倫理委員會批準(審批號:巴市醫倫【2019】05 號),所有患者或患者直系親屬簽署知情同意書同意本研究。
1.1.1 診斷標準
CAP 的診斷參照《中國成人社區獲得性肺炎診斷和治療指南(2016 年版)》[9],符合以下 4 條可建立臨床診斷:① 社區發病。② 至少存在以下任何 1 項肺炎相關臨床表現:A. 新近出現的咳嗽、咳痰或原有呼吸道疾病癥狀加重,伴或不伴膿痰、胸痛、呼吸困難及咯血;B. 發熱;C. 肺實變體征和(或)聞及濕性啰音;D. 外周血 WBC>10×109/L 或<4×109/L,伴或不伴細胞核左移。③ 胸部影像學檢查顯示新出現的斑片狀浸潤影、葉或段實變影、磨玻璃影或間質性改變,伴或不伴胸腔積液。④ 除外肺結核、肺部腫瘤、非感染性肺間質性疾病、肺水腫、肺不張、肺栓塞、肺嗜酸粒細胞浸潤癥及肺血管炎等其他肺部疾病。
SCAP 的診斷參照《中國成人社區獲得性肺炎診斷和治療指南(2016 年版)》[9],至少符合下列 1 項主要標準或≥3 項次要標準者可診斷為重癥肺炎:① 主要標準:A. 需氣管插管行機械通氣治療;B. 膿毒癥休克經積極液體復蘇后仍需血管活性藥物治療。② 次要標準:A. 呼吸頻率≥30 次/min;B. 氧合指數≤250 mm Hg(1 mm Hg=0.133 kPa);C. 多肺葉浸潤;D. 意識障礙和(或)定向障礙;E. 血尿素氮≥7.14 mmol/L;F. 收縮壓<90 mm Hg 需積極液體復蘇。
1.1.2 納入標準
符合上述 CAP 診斷標準且年齡 18~75 歲,同意本研究者按入院順序納入本研究。
1.1.3 排除標準
近期(3 個月內)存在以下至少 1 種情況:① 支氣管哮喘或慢性間質性肺疾病;② 肺功能中度或中度以上的慢性阻塞性肺疾病(慢阻肺);③ 合并心肌梗死、心力衰竭;④ 嚴重肝腎功能不全;⑤ 合并自身免疫性疾病;⑥ 惡性腫瘤;⑦ 妊娠期女性。
1.2 治療方法
所有患者均經驗性選用哌拉西林舒巴坦 2.5 g 靜脈注射,每 12 小時 1 次,療程 7 d。SCAP 加用左氧氟沙星 0.5 g 靜脈注射,1 次/d;入院后行細菌學檢查,必要時根據藥物敏感性試驗結果更換抗菌藥物。
1.3 標本采集及檢測方法
血清標本均于入院時采集,WBC、血肌酐、尿素氮、CRP 等由巴中市中心醫院檢驗科檢測。sNGAL 和 IL-6 的檢測采用酶聯免疫吸附測定法。本研究所用 NGAL 及 IL-6 檢測試劑盒購于武漢博士德公司。
1.4 肺炎嚴重程度評價方法
CAP 嚴重程度用 CRUB-65 評價[9],共 5 項,每項若符合得 1 分,包括:① 意識障礙;② 尿素氮>7 mmol/L;③ 呼吸頻率≥30 次/min;④ 收縮壓<90 mm Hg 或舒張壓≤60 mm Hg;⑤ 年齡≥65 歲。評分越高死亡風險越高。
1.5 統計學方法
采用 SPSS 13.0 軟件進行統計分析。正態分布的數值型變量用均數±標準差(±s)表示,方差齊性檢驗用 Bartlett 檢驗,兩組均數的比較用 t 檢驗;偏態分布的數值型變量用中位數(下四分位數,上四分位數)[M(QL,QU)]表示,兩組中位數的比較用 Mann-Whitney 秩和檢驗。計數資料用例數(百分數)表示,兩樣本率的比較用 χ2 檢驗或 Fisher 確切概率法。sNGAL 與各指標的相關關系用 Spearman 相關分析。sNGAL 對 SCAP 的診斷價值用受試者工作特征(receiver operating characteristic,ROC)曲線的曲線下面積(area under curve,AUC)及其 95% 置信區間(confidence interval,CI)表示,以 Youden 指數最大值確定截斷值。檢驗水準 α=0.05。
2 結果
2.1 一般資料
本研究共納入 CAP 患者 85 例,其中男 47 例,女 38 例;年齡(56.0±13.5)歲;合并癥:冠心病 10 例,慢阻肺 6 例,2 型糖尿病 9 例,原發性高血壓 18 例;SCAP 34 例,非 SCAP 51 例。
2.2 SCAP 組和非 SCAP 組臨床參數比較
兩組在性別、合并癥、血肌酐、WBC、PCT 和尿素氮等方面差異無統計學意義(P>0.05)。與非 SCAP 組比較,SCAP 組年齡更高,住院天數延長,sNGAL、CRP、IL-6 明顯增高,CURB-65 評分明顯增高,差異均有統計學意義(P<0.05)。見表 1。

2.3 sNGAL 與腎功能、CRP、IL-6、PCT、CURB-65 的相關性分析
Spearman 相關分析顯示,sNGAL 與 CRP、IL-6、PCT 及 CURB-65 呈正相關(P<0.01);sNGAL 與 WBC、血肌酐、尿素氮的相關關系無統計學意義(P>0.05)。見表 2、圖 1。


2.4 sNGAL 判斷 SCAP 的 ROC 曲線分析
sNGAL 診斷 SCAP 的 AUC 為 0.816,有統計學意義(P<0.001);以 171.0 ng/mL 為截斷值,其診斷 SCAP 的靈敏度和特異度分別為 76.5% 和 74.5%。CRP 和 IL-6 診斷 SCAP 的 AUC 為 0.681 和 0.648,均有統計學意義(P<0.05)。PCT 診斷 SCAP 的 AUC 為 0.576,無統計學意義(P>0.05)。見表 3、圖 2。


3 討論
SCAP 是 CAP 死亡的主要原因,占 CAP 死亡的 11.4%,其病死率為 66.5%[10]。因此早期識別及干預是降低 CAP 死亡率的重要環節。本研究中 SCAP 比例較高,為 40%,是由納入對象均為住院 CAP 患者所致。本研究顯示,與非 SCAP 患者相比,SCAP 患者年齡明顯更高,住院時間明顯延長,說明 SCAP 是嚴重的社會經濟學問題。
目前對 CAP 嚴重程度分層普遍采用 PSI 和 CURB-65,用以評估死亡風險。PSI 是基于 20 項指標進行評估,臨床運用繁瑣,而且被證實更適合于死亡風險較低的非住院患者[11]。CURB-65 是一種易于操作的量表,用于對 CAP 危險分層的評估有一定的價值,但該量表不包括合并癥、生化指標等,對 CAP 危重程度的評估不全面。此外,指南上對于 SCAP 的診斷標準也推薦使用簡化美國感染病學會/美國胸科學會量表[9],也說明對 SCAP 的全面評估的重要性,以及對 CAP 嚴重程度的評估仍有繼續改進的空間。因此本研究將與炎癥反應及免疫反應有關的 NGAL 作為觀察指標可能為 CAP 的評估提供更全面的信息。
CAP 患者在感染后,細菌毒素引起嚴重的免疫反應,并在感染的急劇演變過程中產生多重有害損傷,造成組織和器官損傷和組織屏障破壞,促進細菌散布,攻擊宿主對病原體的第一道免疫防御線以及促進炎癥級聯反應等。毒素介導的并發癥可導致致命性并發癥如器官衰竭和敗血性休克[12-13]。炎癥反應貫穿 CAP 病理生理整個過程,本研究顯示 SCAP 組 sNGAL、CRP、IL-6 明顯增高,與 Siljan 等[14]的研究一致。但 WBC、PCT 在兩組間無明顯差異,說明這些常規檢查并不能為 CAP 嚴重程度分層提供有效信息。有研究顯示,sNGAL 升高可作為重癥患者發生細菌感染的參考指標,其準確性甚至超越 CRP 和 PCT[6]。本研究中 Spearman 相關分析顯示,sNGAL 水平與 CPR、IL-6、PCT 及 CURB-65 呈正相關,可能由于炎癥反應水平是決定 CAP 嚴重程度的重要因素。同時,NGAL 受氧化應激、內皮損傷等多種因素的影響,因此我們認為,在 CAP 患者中 sNGAL 水平能一定程度反映病情。
既往有許多關于 SCAP 的生物學分子的研究試圖將 WBC、CRP 或 PCT 用于輔助判斷 CAP 的嚴重程度,但這些指標并不足以判斷 CAP 嚴重程度或評估死亡風險[15]。本研究顯示,WBC 在非 SCAP 和 SCAP 中差異無統計學意義(P>0.05),顯然不能用于判斷 CAP 嚴重程度。本研究中 CRP 和 IL-6 診斷 SCAP 的 ROC AUC 為 0.681 和 0.648,其準確性明顯低于 sNGAL(AUC=0.816)。而 PCT 的 ROC AUC 僅為 0.576 且無統計學意義(P>0.05)。因此,sNGAL 是診斷 SCAP 較有價值的指標,靈敏度和特異度分別 76.5% 和 74.5%,診斷效能優于 CPR 和 IL-6。
本研究不足之處:① 只將入院時 sNGAL 納入研究,沒有連續監測 sNGAL 的濃度變化,可能對該指標的分析不夠全面;② 由于經費限制,樣本量較小。
綜上所述,sNGAL 在 SCAP 患者體內明顯增高,與炎癥反應水平呈正相關性,能反映 CAP 的病情嚴重程度,是輔助診斷 SCAP 的可靠指標,具有較高的靈敏度和特異度。