本文采用脈搏波信號研究了警覺度的變化規律。本研究共招募 10 名受試者參加了持續 95 min 的警覺度“時鐘測試”(MCT)。試驗過程中,受試者們通過卡羅林斯卡嗜睡量表(KSS)和斯坦福嗜睡量表(SSS)主觀評價了清醒程度,同時記錄了所有受試者的目標反應時間、目標識別正確率和脈搏波信號。結果表明,根據主觀量表得分和受試者的行為學數據可以將警覺度定標為 3 個水平:前 30 min 為高警覺度水平;中間 30 min 為一般警覺度水平,后 30 min 為低警覺度水平。此外,脈搏波信號的時域特征,如:次級波峰幅值、波峰幅值、次級波峰潛伏期,隨警覺度的降低而減小,而波谷幅值隨警覺度的降低而增大;頻域特征:8.600~9.375 Hz、11.720~12.500 Hz、38.280~39.060 Hz 和 39.060~39.840 Hz 這 4 個子頻帶的能量概率也隨警覺度的降低而減小。最后,在上述 8 個特征建立的模型中,10 名受試者三分類正確率的平均值高達 88.7%。本文的研究結果證實了脈搏波在警覺度評估上的可行性,為警覺度的實時監測提供了新的思路。
引用本文: 曹勇, 焦學軍, 潘津津, 姜勁, 傅嘉豪, 徐鳳剛, 楊涵鈞. 基于脈搏波的警覺度檢測研究. 生物醫學工程學雜志, 2017, 34(6): 817-823. doi: 10.7507/1001-5515.201704071 復制
引言
在心理學領域,警覺度被定義為生物體保持長時間注意力和對應急事件反應的能力[1]。對一些特殊任務而言,操作者的警覺度水平對任務的順利完成起著決定性作用。甚至于操作者的警覺度過低可能會釀成難以挽回的惡果,例如長途汽車駕駛員、實施重大手術的外科醫生以及執行載人航天任務的航天員等[2]。因此,針對警覺度的檢測研究具有十分重要的意義。
第二次世界大戰期間,Mackworth[3]設計的“時鐘測試”(Mackworth clock test,MCT)試驗拉開了警覺度研究的序幕。該試驗通過模擬機載雷達和聲吶操作員對敵人出現微弱信號的敏感程度,以記錄受試者對目標的反應時間和目標識別正確率的方式來評價受試者的警覺度水平。經過 70 余年的發展,警覺度的研究不斷深入,目前常用的警覺度檢測手段主要有:主觀檢測[卡羅林斯卡嗜睡量表(Karolinska sleepiness scale,KSS)和斯坦福嗜睡測試量表(Stanford sleepiness scale,SSS)][4-5];生理參數(腦電信號、心電信號以及腦血氧溶度等)檢測以及其他檢測方法。在眾多檢測方法中,生理參數法最為客觀有效,也是警覺度研究最為成熟的檢測方法之一。
目前,相對成熟的警覺度檢測生理參數主要有:腦電信號、心電信號以及大腦血氧溶度。舉例來說,?kerstedt 等[6]的研究認為腦電功率譜中的 δ 頻段(0.5~4.0 Hz)、θ 頻段(4.0~8.0 Hz)、α 頻段(8.0~12.0 Hz)和 β 頻段(12.0~30.0 Hz)都可以用來檢測駕駛員的持久注意力水平。除了功率,薛然婷等[7]和趙云龍等[8]的研究分別指出,腦電信號的復雜度以及排列熵能夠作為警覺度的度量指標。此外,一些研究指出心電信號也能夠反映警覺度的相關變化。Yu 等[9]的研究發現,心電圖 R 波信號能夠有效區分睡眠和清醒兩種狀態;趙曉華等[10]的研究指出,隨著駕駛時間的增加,駕駛員警覺度下降、心率下降,并且 RR 間期標準差也隨之變大。近年來興起的功能性近紅外技術也可用于警覺度檢測的研究,Bogler 等[11]的研究發現,可以通過該技術采集大腦血氧溶度對試驗中的反應時間建模,該研究還驗證了在任務執行過程中,右腦的生理參數變化較左腦變化更為敏感[12-13]。
除了上述生理參數之外,也有研究指出,脈搏波信號能夠有效應用于區分睡眠、清醒兩種狀態。文獻[14]通過脈搏波信號功率譜中低頻能量與高頻能量的比值進行清醒、睡眠狀態分類,得到了很好的識別效果。文獻[15]也指出,脈搏波信號的主波、重波幅值與脈搏波傳導時間在清醒、睡眠兩種狀態下表現出了明顯的差異。然而,已有的脈搏波研究也僅限于區分睡眠、清醒兩種狀態,在諸如 MCT 等典型警覺度任務中研究脈搏波各特征變化規律的相關研究還未見報道。因此,本研究的目的在于:從時域和頻域特征著手,系統性地研究脈搏波用于警覺度檢測的可行性,并從行為學數據和脈搏波生理數據兩個層面分析受試者在 MCT 任務下,各時域、頻域特征的變化規律。
1 試驗設計
1.1 受試者與試驗環境
本試驗一共招募 10 名年齡在 19~28 歲(23.7 ± 2.9 歲)的志愿者,均為男性。所有受試者均為右利手,身體健康、無任何神經疾病,并且都具有正常或者校正到正常的視覺能力。所有受試者在試驗過程中均使用相同的設備。
本試驗使用無線藍牙多參數生物反饋儀(Mobi6,TMSI,荷蘭)來采集脈搏波信號。該設備通過佩戴在左手小指上的光電傳感器采集脈搏波信號。信號采樣頻率設置為 512 Hz,設備內置帶通濾波器,帶通濾波器的頻帶范圍設定為 0.05~200.00 Hz。試驗在一個安靜、溫度適宜的房間進行。試驗開始后,受試者被要求以最舒服的姿勢靜坐,并盡量減少眼睛和其他任何肢體動作。
1.2 試驗流程
試驗要求受試者在試驗開始前一天要正常休息,試驗當天不能進行劇烈體力或者腦力勞動。整個試驗持續時間為 95 min 左右,試驗一旦開始之后,中途不得退出。試驗環境中無鐘表,保證受試者不知道當前時間。試驗流程如圖 1 所示,最開始的 5 min 用來采集受試者靜息狀態信號,在該階段中要求受試者靜坐,盡量減少腦力活動。緊接著,連續的 3 個時間段內受試者都執行相同的 MCT 任務,每段時長均為 30 min。在每次 MCT 任務開始之前,都要求受試者填寫主觀評測量表,任務結束后再填寫一次,共計 4 次。并且在試驗開始前,受試者均已盡量熟悉主觀量表,試驗過程中填寫量表的時間影響可以忽略不計。

1.2.1 MCT 試驗
MCT 是一個專門用于研究警覺度變化的試驗[3]。在該試驗中,一指針圍繞一個無參考點的表盤以固定角度和頻率跳動,在不定時刻,指針會跳躍較大角度,該事件被稱之為目標事件。試驗中要求受試者識別出該目標事件,并對之做出給定的反應。本試驗的 MCT 任務界面如圖 2 所示,試驗中紅色小球即為指針,每秒跳動圓盤上的一格,在不定時刻小球一次跳動兩格即為目標事件。本試驗中,目標事件出現時間間隔服從 3~26 s 之間的均勻分布,每 30 min 試驗包含目標刺激 120 個,整個試驗過程中包含目標刺激 360 個。當目標事件出現時,要求受試者盡快按下空格鍵作為反應,試驗全程記錄受試者的目標反應時間并計算目標反應正確率。該任務在商用數學軟件 Matlab 2014a(MathWorksinc.,美國)環境下實現。

1.2.2 主觀量表測評
試驗中每隔 30 min 要求受試者填寫 KSS 量表和 SSS 量表評價自身當前警覺度狀態。這兩張主觀評測量表是警覺度主觀自評的標準量表。KSS 量表評分為 1~9 分,分別對應極度清醒和非常困倦。SSS 量表評分 1~7 分,分別對應意識非常清醒和意識非常朦朧。最大和最小值之間的得分表明受試者處于極度清醒和非常困倦之間的某個狀態。這兩張量表得分越高表明受試者警覺度越低。
2 數據處理方法
2.1 預處理
脈搏波信號有效頻帶在 0~20 Hz 之間,大部分能量分布在 0~10 Hz 之間[16]。由于脈搏波信號比較微弱,而且容易受到受試者輕微運動和工頻噪聲等干擾,因此在提取脈搏波相關特征時需要先對脈搏波信號進行預處理,濾除各種噪聲。試驗數據預處理主要包括以下幾個步驟:首先,將源信號采樣頻率由原來的 512 Hz 降低到 100 Hz,減少數據量的同時也方便后續數據處理過程;其次,以信號中每個點周邊 5 個點的平均值代替該點,對信號進行平滑處理;然后,對信號進行 0.5~40.0 Hz 的帶通濾波;最后,根據目標刺激的位置將數據分段,每一小段數據時間跨度為–2~8 s(以目標刺激開始時刻為參考)。
2.2 特征提取
2.2.1 時域特征
本研究中提取的脈搏波時域特征主要有波谷幅值、波峰幅值以及次級波峰幅值。除此之外還有波谷間期、波峰間期、次級波峰間期和波峰潛伏期、次級波峰潛伏期以及次級波峰與波峰之間間隔時間這 9 個特征。如圖 3 所示,黑色星號、紅色圓圈和綠色三角形對應的波形分別為波谷、波峰和次級波峰。兩個相鄰的波谷之間的時間差距為波谷間期,而波峰間期與次級波峰間期定義類似。從波谷到相鄰波峰之間的時間差定義為波峰潛伏期;波谷到次級波峰之間的時間差定義為次級波峰潛伏期。每個目標刺激數據段跨度–2~8 s(以目標刺激開始時刻為參考)內數據的全部特征平均值作為一個樣本。

2.2.2 基于小波包變換的頻域特征
小波包變換可以將源信號分解成頻率成分固定的若干成分,分解層數越大,則信號頻率分辨率就越高[17]。本研究中脈搏波信號的采樣頻率 100 Hz,對應的信號實際頻帶為 0~50 Hz。對去噪后的信號采用 Daubechies 3 小波基進行 6 層小波包分解,信號被對應分解為 64 個子頻帶,每個子頻帶寬度為 50/64 = 0.78 Hz。定義某一頻帶能量為該頻段下小波系數的平方和,即:
![]() |
式(1)中,I 為小波包分解層數,N 為每層小波系數個數,Ci(k)為第 i 層小波的第 k 個系數。整個信號的總能量定義為 Etotal,如式(2)所示:
![]() |
則頻帶 i 占總能量的比例以 Pi 表示,公式為:
![]() |
經小波包分解后,將 64 個子頻帶的能量概率 Pi 作為脈搏波的頻域特征。
2.3 基于可分性選擇特征
上述分析指出時域、頻域特征一共近 73 個,為了獲得更好的分類效果,必須對特征進行有效篩選。特征篩選可以根據可分性的大小進行,而可分性是一個描述兩個類別特征之間差異大小的變量,通常用 r 2 來表示,如式(4)所示:
![]() |
其中,M1 和 M2 分別是類別 1 和類別 2 信號的樣本大小,X1 和 X2 分別為類別 1 和類別 2 的特征向量。本研究中,警覺度被定標為高、中、低三個等級,對應的三分類可分性可以用類別 1 與類別 2、類別 2 與類別 3 以及類別 3 與類別 1 可分性的平均值來表示。
本研究中可分性最大的前 8 個特征依次是次級波峰幅值、波峰幅值、次級波峰潛伏期、波谷幅值、第 12 層子頻帶(8.600~9.375 Hz)、第 15 層子頻帶(11.720~12.500 Hz)、第 50 層子頻帶(38.280~39.060 Hz)和第 51 層子頻帶(39.060~39.840 Hz)能量概率。所以,這 8 個特征被挑選出來,并采用支持向量機(support vector machine,SVM)進行分類識別。由于整個 MCT 試驗過程中包含目標刺激 360 個,所以所有樣本中的 5/6(300 個樣本)用來訓練分類器,1/6(60 個樣本)用來進行測試,訓練樣本和測試樣本中高、中、低三個警覺度類別的樣本個數相同。
2.4 統計分析方法
本文采用了基于自主抽樣法(bootstrap method)的配對 t 檢驗統計方法,分析不同試驗階段下受試者的主觀評分、目標反應時間以及目標反應正確率之間的差異。作為由 Efron 等[18]開發的一種新的統計學分析方法,自主抽樣分析的實現不依賴于樣本是否服從正態分布,這也是該分析方法相比于傳統的配對檢驗和方差分析最大的優勢所在。具體說來,自主抽樣法通過對已有的源樣本多次進行重采樣(通常迭代次數為 1 000 次左右),并以此來估計樣本的分布。因此,可以根據所得的分布確定置信區間,進而判斷不同模式下的結果差異是否具有統計學意義。此外,當數據進行多次比較的時候,可以采用錯誤發現率(false discovery rate,FDR)校正方式對結果進行校正。
3 試驗結果
3.1 數據標注
本文目的在于驗證脈搏波研究警覺度的可行性,因此首先要對采集到的脈搏波信號進行標注,作為 SVM 分類算法的先驗條件。本研究中,脈搏波信號標注的依據來源于兩部分:主觀量表評分和受試者的行為學數據(目標反應時間以及目標反應正確率)。
3.1.1 主觀量表結果
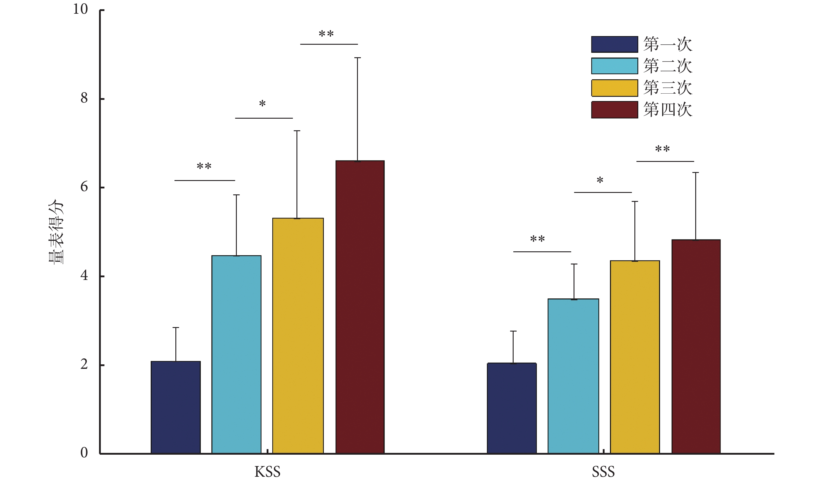
如圖 4 所示的是 10 名受試者 KSS 和 SSS 量表得分的平均值,每名受試者都填寫主觀量表 4 次,填寫時刻如前文 1.2 小節中試驗流程所描述。為了對比量表得分的差異,研究中采用基于自主抽樣法的配對樣本 t 檢驗進行統計分析。由圖 4 可以看出,隨著 MCT 任務的持續,受試者們的 KSS 量表和 SSS 得分都逐漸增大。t 檢驗的分析結果也表明,相鄰試驗階段的主觀量表得分之間存在的差異均具有統計學意義。

*
*
3.1.2 MCT 目標反應時間與目標反應正確率
本研究統計了受試者對所有目標的反應時間以及目標反應正確率,所有受試者的平均結果如圖 5 所示,第一階段、第二階段、第三階段分別指試驗開始后的前面 30 min、中間 30 min、最后 30 min 這三個試驗階段所記錄的數據。由圖 5 可以看出,隨著 MCT 任務的持續,受試者的對目標進行反應的時間增加,目標刺激反應正確率下降。t 檢驗的分析結果也表明,相鄰時間段內受試者們的行為學結果存在的差異均有統計學意義。

*
*
綜合主觀量表與行為學數據的結果,可以得出如下結論:隨著 MCT 任務的持續進行,受試者們的警覺度不斷下降。進一步論證了根據試驗的三個階段將采集到的脈搏波信號進行如下標注是合理的:前 30 min 信號對應高警覺度水平下數據、中間 30 min 對應一般警覺度水平下數據、最后 30 min 對應低警覺度水平下數據。
3.2 SVM 分類結果
如前文 3.1 小節描述,將脈搏波信號標注后,提取前文 2.3 小節指出的次級波峰幅值、波峰幅值、次級波峰潛伏期、波谷幅值、第 12 層子頻帶(8.600~9.375 Hz)、第 15 層子頻帶(11.720~12.500 Hz)、第 50 層子頻帶(38.280~39.060 Hz)和第 51 層子頻帶(39.060~39.840 Hz)能量概率這 8 個特征,采用 SVM 進行高、中、低三個警覺度的三分類識別分析,結果如表 1 所示。10 名受試者的三分類平均正確率達到了 88.7%,其中 7 人在 85% 以上,1 人識別正確率達到了 100%。

3.3 特征變化
如圖 6 所示的是本文用于進行分類識別的 8 個脈搏波特征隨 MCT 任務進行發生變化的結果。整個試驗中一共有 360 個目標刺激,即樣本數為 360。圖 6 中所有子圖橫坐標都表示目標刺激編號,可以理解為時間。圖 6 左半部分顯示的是脈搏波時域特征的變化規律,右半部分顯示的是頻域特征的變化規律。能量概率 P12、能量概率 P15、能量概率 P50、能量概率 P51 分別指的是第 12、15、50、51 層子頻帶能量占信號總能量的概率。從圖 6 可以得出結論:從時域特征來看,隨著警覺度的降低,脈搏波的次級波峰幅值、波峰幅值、次級波峰潛伏期均減少;而波谷幅值呈現增大趨勢。從頻域特征來看,第 12 層子頻帶(8.600~9.375 Hz)、第 15 層子頻帶(11.720~12.500 Hz)、第 50 層子頻帶(38.280~39.060 Hz)和第 51 層子頻帶(39.060~39.840 Hz)的能量概率都隨警覺度的降低而降低。

4 結果與討論
警覺度的檢測在交通、飛行調度乃至載人航天等多個領域都具有重大的研究意義。本研究通過設計警覺度誘發下降試驗 MCT 任務,從時、頻域兩個角度系統研究了脈搏波評估警覺度的可行性,并通過受試者的主觀量表和行為學數據的結果分別從主觀和客觀兩個角度論證了隨著 MCT 試驗的持續,受試者的警覺度慢慢降低的結果。本文研究顯示,SVM 三分類的結果高達 88.7%,這也表明將警覺度按照試驗時間劃分成高、中、低三個水平是科學而有效的。
用以建模的脈搏波信號包括次級波峰幅值、波峰幅值、次級波峰潛伏期、波谷幅值、第 12 層子頻帶(8.600~9.375 Hz)、第 15 層子頻帶(11.720~12.500 Hz)、第 50 層子頻帶(38.280~39.060 Hz)和第 51 層子頻帶(39.060~39.840 Hz)能量概率這 8 個特征。進一步的研究表明,這些特征中的波峰幅值、次級波峰幅值隨警覺度的下降逐漸降低,與前人的相關研究結論一致[15]。本研究還得出了次級波峰潛伏期也隨警覺度的下降而降低,波谷幅值隨警覺度的下降而增大的結果。此外,本研究從小波包分解的角度,以 0.78 Hz 頻率分辨率研究了脈搏波各子頻帶隨警覺度的變化規律,結果發現第 12 層子頻帶(8.600~9.375 Hz)、第 15 層子頻帶(11.720~12.500 Hz)、第 50 層子頻帶(38.280~39.060 Hz)和第 51 層子頻帶(39.060~39.840 Hz)能量概率隨警覺度的降低而降低。
總結起來,本研究高、中、低警覺度的三分類結果高達 88.7%,證實了脈搏波信號檢測警覺度的可行性。此外,脈搏波信號中的次級波峰等時、頻域共 8 個特征都是警覺度檢測的敏感特征。相比于腦電、近紅外等信號,脈搏波信號的采集更為便捷,數據容量更小,從警覺度實時檢測實現的角度上來看,脈搏波優勢明顯,更具應用前景。
引言
在心理學領域,警覺度被定義為生物體保持長時間注意力和對應急事件反應的能力[1]。對一些特殊任務而言,操作者的警覺度水平對任務的順利完成起著決定性作用。甚至于操作者的警覺度過低可能會釀成難以挽回的惡果,例如長途汽車駕駛員、實施重大手術的外科醫生以及執行載人航天任務的航天員等[2]。因此,針對警覺度的檢測研究具有十分重要的意義。
第二次世界大戰期間,Mackworth[3]設計的“時鐘測試”(Mackworth clock test,MCT)試驗拉開了警覺度研究的序幕。該試驗通過模擬機載雷達和聲吶操作員對敵人出現微弱信號的敏感程度,以記錄受試者對目標的反應時間和目標識別正確率的方式來評價受試者的警覺度水平。經過 70 余年的發展,警覺度的研究不斷深入,目前常用的警覺度檢測手段主要有:主觀檢測[卡羅林斯卡嗜睡量表(Karolinska sleepiness scale,KSS)和斯坦福嗜睡測試量表(Stanford sleepiness scale,SSS)][4-5];生理參數(腦電信號、心電信號以及腦血氧溶度等)檢測以及其他檢測方法。在眾多檢測方法中,生理參數法最為客觀有效,也是警覺度研究最為成熟的檢測方法之一。
目前,相對成熟的警覺度檢測生理參數主要有:腦電信號、心電信號以及大腦血氧溶度。舉例來說,?kerstedt 等[6]的研究認為腦電功率譜中的 δ 頻段(0.5~4.0 Hz)、θ 頻段(4.0~8.0 Hz)、α 頻段(8.0~12.0 Hz)和 β 頻段(12.0~30.0 Hz)都可以用來檢測駕駛員的持久注意力水平。除了功率,薛然婷等[7]和趙云龍等[8]的研究分別指出,腦電信號的復雜度以及排列熵能夠作為警覺度的度量指標。此外,一些研究指出心電信號也能夠反映警覺度的相關變化。Yu 等[9]的研究發現,心電圖 R 波信號能夠有效區分睡眠和清醒兩種狀態;趙曉華等[10]的研究指出,隨著駕駛時間的增加,駕駛員警覺度下降、心率下降,并且 RR 間期標準差也隨之變大。近年來興起的功能性近紅外技術也可用于警覺度檢測的研究,Bogler 等[11]的研究發現,可以通過該技術采集大腦血氧溶度對試驗中的反應時間建模,該研究還驗證了在任務執行過程中,右腦的生理參數變化較左腦變化更為敏感[12-13]。
除了上述生理參數之外,也有研究指出,脈搏波信號能夠有效應用于區分睡眠、清醒兩種狀態。文獻[14]通過脈搏波信號功率譜中低頻能量與高頻能量的比值進行清醒、睡眠狀態分類,得到了很好的識別效果。文獻[15]也指出,脈搏波信號的主波、重波幅值與脈搏波傳導時間在清醒、睡眠兩種狀態下表現出了明顯的差異。然而,已有的脈搏波研究也僅限于區分睡眠、清醒兩種狀態,在諸如 MCT 等典型警覺度任務中研究脈搏波各特征變化規律的相關研究還未見報道。因此,本研究的目的在于:從時域和頻域特征著手,系統性地研究脈搏波用于警覺度檢測的可行性,并從行為學數據和脈搏波生理數據兩個層面分析受試者在 MCT 任務下,各時域、頻域特征的變化規律。
1 試驗設計
1.1 受試者與試驗環境
本試驗一共招募 10 名年齡在 19~28 歲(23.7 ± 2.9 歲)的志愿者,均為男性。所有受試者均為右利手,身體健康、無任何神經疾病,并且都具有正常或者校正到正常的視覺能力。所有受試者在試驗過程中均使用相同的設備。
本試驗使用無線藍牙多參數生物反饋儀(Mobi6,TMSI,荷蘭)來采集脈搏波信號。該設備通過佩戴在左手小指上的光電傳感器采集脈搏波信號。信號采樣頻率設置為 512 Hz,設備內置帶通濾波器,帶通濾波器的頻帶范圍設定為 0.05~200.00 Hz。試驗在一個安靜、溫度適宜的房間進行。試驗開始后,受試者被要求以最舒服的姿勢靜坐,并盡量減少眼睛和其他任何肢體動作。
1.2 試驗流程
試驗要求受試者在試驗開始前一天要正常休息,試驗當天不能進行劇烈體力或者腦力勞動。整個試驗持續時間為 95 min 左右,試驗一旦開始之后,中途不得退出。試驗環境中無鐘表,保證受試者不知道當前時間。試驗流程如圖 1 所示,最開始的 5 min 用來采集受試者靜息狀態信號,在該階段中要求受試者靜坐,盡量減少腦力活動。緊接著,連續的 3 個時間段內受試者都執行相同的 MCT 任務,每段時長均為 30 min。在每次 MCT 任務開始之前,都要求受試者填寫主觀評測量表,任務結束后再填寫一次,共計 4 次。并且在試驗開始前,受試者均已盡量熟悉主觀量表,試驗過程中填寫量表的時間影響可以忽略不計。

1.2.1 MCT 試驗
MCT 是一個專門用于研究警覺度變化的試驗[3]。在該試驗中,一指針圍繞一個無參考點的表盤以固定角度和頻率跳動,在不定時刻,指針會跳躍較大角度,該事件被稱之為目標事件。試驗中要求受試者識別出該目標事件,并對之做出給定的反應。本試驗的 MCT 任務界面如圖 2 所示,試驗中紅色小球即為指針,每秒跳動圓盤上的一格,在不定時刻小球一次跳動兩格即為目標事件。本試驗中,目標事件出現時間間隔服從 3~26 s 之間的均勻分布,每 30 min 試驗包含目標刺激 120 個,整個試驗過程中包含目標刺激 360 個。當目標事件出現時,要求受試者盡快按下空格鍵作為反應,試驗全程記錄受試者的目標反應時間并計算目標反應正確率。該任務在商用數學軟件 Matlab 2014a(MathWorksinc.,美國)環境下實現。

1.2.2 主觀量表測評
試驗中每隔 30 min 要求受試者填寫 KSS 量表和 SSS 量表評價自身當前警覺度狀態。這兩張主觀評測量表是警覺度主觀自評的標準量表。KSS 量表評分為 1~9 分,分別對應極度清醒和非常困倦。SSS 量表評分 1~7 分,分別對應意識非常清醒和意識非常朦朧。最大和最小值之間的得分表明受試者處于極度清醒和非常困倦之間的某個狀態。這兩張量表得分越高表明受試者警覺度越低。
2 數據處理方法
2.1 預處理
脈搏波信號有效頻帶在 0~20 Hz 之間,大部分能量分布在 0~10 Hz 之間[16]。由于脈搏波信號比較微弱,而且容易受到受試者輕微運動和工頻噪聲等干擾,因此在提取脈搏波相關特征時需要先對脈搏波信號進行預處理,濾除各種噪聲。試驗數據預處理主要包括以下幾個步驟:首先,將源信號采樣頻率由原來的 512 Hz 降低到 100 Hz,減少數據量的同時也方便后續數據處理過程;其次,以信號中每個點周邊 5 個點的平均值代替該點,對信號進行平滑處理;然后,對信號進行 0.5~40.0 Hz 的帶通濾波;最后,根據目標刺激的位置將數據分段,每一小段數據時間跨度為–2~8 s(以目標刺激開始時刻為參考)。
2.2 特征提取
2.2.1 時域特征
本研究中提取的脈搏波時域特征主要有波谷幅值、波峰幅值以及次級波峰幅值。除此之外還有波谷間期、波峰間期、次級波峰間期和波峰潛伏期、次級波峰潛伏期以及次級波峰與波峰之間間隔時間這 9 個特征。如圖 3 所示,黑色星號、紅色圓圈和綠色三角形對應的波形分別為波谷、波峰和次級波峰。兩個相鄰的波谷之間的時間差距為波谷間期,而波峰間期與次級波峰間期定義類似。從波谷到相鄰波峰之間的時間差定義為波峰潛伏期;波谷到次級波峰之間的時間差定義為次級波峰潛伏期。每個目標刺激數據段跨度–2~8 s(以目標刺激開始時刻為參考)內數據的全部特征平均值作為一個樣本。

2.2.2 基于小波包變換的頻域特征
小波包變換可以將源信號分解成頻率成分固定的若干成分,分解層數越大,則信號頻率分辨率就越高[17]。本研究中脈搏波信號的采樣頻率 100 Hz,對應的信號實際頻帶為 0~50 Hz。對去噪后的信號采用 Daubechies 3 小波基進行 6 層小波包分解,信號被對應分解為 64 個子頻帶,每個子頻帶寬度為 50/64 = 0.78 Hz。定義某一頻帶能量為該頻段下小波系數的平方和,即:
![]() |
式(1)中,I 為小波包分解層數,N 為每層小波系數個數,Ci(k)為第 i 層小波的第 k 個系數。整個信號的總能量定義為 Etotal,如式(2)所示:
![]() |
則頻帶 i 占總能量的比例以 Pi 表示,公式為:
![]() |
經小波包分解后,將 64 個子頻帶的能量概率 Pi 作為脈搏波的頻域特征。
2.3 基于可分性選擇特征
上述分析指出時域、頻域特征一共近 73 個,為了獲得更好的分類效果,必須對特征進行有效篩選。特征篩選可以根據可分性的大小進行,而可分性是一個描述兩個類別特征之間差異大小的變量,通常用 r 2 來表示,如式(4)所示:
![]() |
其中,M1 和 M2 分別是類別 1 和類別 2 信號的樣本大小,X1 和 X2 分別為類別 1 和類別 2 的特征向量。本研究中,警覺度被定標為高、中、低三個等級,對應的三分類可分性可以用類別 1 與類別 2、類別 2 與類別 3 以及類別 3 與類別 1 可分性的平均值來表示。
本研究中可分性最大的前 8 個特征依次是次級波峰幅值、波峰幅值、次級波峰潛伏期、波谷幅值、第 12 層子頻帶(8.600~9.375 Hz)、第 15 層子頻帶(11.720~12.500 Hz)、第 50 層子頻帶(38.280~39.060 Hz)和第 51 層子頻帶(39.060~39.840 Hz)能量概率。所以,這 8 個特征被挑選出來,并采用支持向量機(support vector machine,SVM)進行分類識別。由于整個 MCT 試驗過程中包含目標刺激 360 個,所以所有樣本中的 5/6(300 個樣本)用來訓練分類器,1/6(60 個樣本)用來進行測試,訓練樣本和測試樣本中高、中、低三個警覺度類別的樣本個數相同。
2.4 統計分析方法
本文采用了基于自主抽樣法(bootstrap method)的配對 t 檢驗統計方法,分析不同試驗階段下受試者的主觀評分、目標反應時間以及目標反應正確率之間的差異。作為由 Efron 等[18]開發的一種新的統計學分析方法,自主抽樣分析的實現不依賴于樣本是否服從正態分布,這也是該分析方法相比于傳統的配對檢驗和方差分析最大的優勢所在。具體說來,自主抽樣法通過對已有的源樣本多次進行重采樣(通常迭代次數為 1 000 次左右),并以此來估計樣本的分布。因此,可以根據所得的分布確定置信區間,進而判斷不同模式下的結果差異是否具有統計學意義。此外,當數據進行多次比較的時候,可以采用錯誤發現率(false discovery rate,FDR)校正方式對結果進行校正。
3 試驗結果
3.1 數據標注
本文目的在于驗證脈搏波研究警覺度的可行性,因此首先要對采集到的脈搏波信號進行標注,作為 SVM 分類算法的先驗條件。本研究中,脈搏波信號標注的依據來源于兩部分:主觀量表評分和受試者的行為學數據(目標反應時間以及目標反應正確率)。
3.1.1 主觀量表結果
如圖 4 所示的是 10 名受試者 KSS 和 SSS 量表得分的平均值,每名受試者都填寫主觀量表 4 次,填寫時刻如前文 1.2 小節中試驗流程所描述。為了對比量表得分的差異,研究中采用基于自主抽樣法的配對樣本 t 檢驗進行統計分析。由圖 4 可以看出,隨著 MCT 任務的持續,受試者們的 KSS 量表和 SSS 得分都逐漸增大。t 檢驗的分析結果也表明,相鄰試驗階段的主觀量表得分之間存在的差異均具有統計學意義。

*
*
3.1.2 MCT 目標反應時間與目標反應正確率
本研究統計了受試者對所有目標的反應時間以及目標反應正確率,所有受試者的平均結果如圖 5 所示,第一階段、第二階段、第三階段分別指試驗開始后的前面 30 min、中間 30 min、最后 30 min 這三個試驗階段所記錄的數據。由圖 5 可以看出,隨著 MCT 任務的持續,受試者的對目標進行反應的時間增加,目標刺激反應正確率下降。t 檢驗的分析結果也表明,相鄰時間段內受試者們的行為學結果存在的差異均有統計學意義。

*
*
綜合主觀量表與行為學數據的結果,可以得出如下結論:隨著 MCT 任務的持續進行,受試者們的警覺度不斷下降。進一步論證了根據試驗的三個階段將采集到的脈搏波信號進行如下標注是合理的:前 30 min 信號對應高警覺度水平下數據、中間 30 min 對應一般警覺度水平下數據、最后 30 min 對應低警覺度水平下數據。
3.2 SVM 分類結果
如前文 3.1 小節描述,將脈搏波信號標注后,提取前文 2.3 小節指出的次級波峰幅值、波峰幅值、次級波峰潛伏期、波谷幅值、第 12 層子頻帶(8.600~9.375 Hz)、第 15 層子頻帶(11.720~12.500 Hz)、第 50 層子頻帶(38.280~39.060 Hz)和第 51 層子頻帶(39.060~39.840 Hz)能量概率這 8 個特征,采用 SVM 進行高、中、低三個警覺度的三分類識別分析,結果如表 1 所示。10 名受試者的三分類平均正確率達到了 88.7%,其中 7 人在 85% 以上,1 人識別正確率達到了 100%。

3.3 特征變化
如圖 6 所示的是本文用于進行分類識別的 8 個脈搏波特征隨 MCT 任務進行發生變化的結果。整個試驗中一共有 360 個目標刺激,即樣本數為 360。圖 6 中所有子圖橫坐標都表示目標刺激編號,可以理解為時間。圖 6 左半部分顯示的是脈搏波時域特征的變化規律,右半部分顯示的是頻域特征的變化規律。能量概率 P12、能量概率 P15、能量概率 P50、能量概率 P51 分別指的是第 12、15、50、51 層子頻帶能量占信號總能量的概率。從圖 6 可以得出結論:從時域特征來看,隨著警覺度的降低,脈搏波的次級波峰幅值、波峰幅值、次級波峰潛伏期均減少;而波谷幅值呈現增大趨勢。從頻域特征來看,第 12 層子頻帶(8.600~9.375 Hz)、第 15 層子頻帶(11.720~12.500 Hz)、第 50 層子頻帶(38.280~39.060 Hz)和第 51 層子頻帶(39.060~39.840 Hz)的能量概率都隨警覺度的降低而降低。

4 結果與討論
警覺度的檢測在交通、飛行調度乃至載人航天等多個領域都具有重大的研究意義。本研究通過設計警覺度誘發下降試驗 MCT 任務,從時、頻域兩個角度系統研究了脈搏波評估警覺度的可行性,并通過受試者的主觀量表和行為學數據的結果分別從主觀和客觀兩個角度論證了隨著 MCT 試驗的持續,受試者的警覺度慢慢降低的結果。本文研究顯示,SVM 三分類的結果高達 88.7%,這也表明將警覺度按照試驗時間劃分成高、中、低三個水平是科學而有效的。
用以建模的脈搏波信號包括次級波峰幅值、波峰幅值、次級波峰潛伏期、波谷幅值、第 12 層子頻帶(8.600~9.375 Hz)、第 15 層子頻帶(11.720~12.500 Hz)、第 50 層子頻帶(38.280~39.060 Hz)和第 51 層子頻帶(39.060~39.840 Hz)能量概率這 8 個特征。進一步的研究表明,這些特征中的波峰幅值、次級波峰幅值隨警覺度的下降逐漸降低,與前人的相關研究結論一致[15]。本研究還得出了次級波峰潛伏期也隨警覺度的下降而降低,波谷幅值隨警覺度的下降而增大的結果。此外,本研究從小波包分解的角度,以 0.78 Hz 頻率分辨率研究了脈搏波各子頻帶隨警覺度的變化規律,結果發現第 12 層子頻帶(8.600~9.375 Hz)、第 15 層子頻帶(11.720~12.500 Hz)、第 50 層子頻帶(38.280~39.060 Hz)和第 51 層子頻帶(39.060~39.840 Hz)能量概率隨警覺度的降低而降低。
總結起來,本研究高、中、低警覺度的三分類結果高達 88.7%,證實了脈搏波信號檢測警覺度的可行性。此外,脈搏波信號中的次級波峰等時、頻域共 8 個特征都是警覺度檢測的敏感特征。相比于腦電、近紅外等信號,脈搏波信號的采集更為便捷,數據容量更小,從警覺度實時檢測實現的角度上來看,脈搏波優勢明顯,更具應用前景。