本文設計了一款基于單片機控制的微型電動心臟按壓器。本系統利用脈寬調制技術控制直線步進電動缸的運動,以實現按壓頻率和按壓深度的精確控制和實時調節,達到在心肺復蘇(CPR)過程中長時間連續穩定的胸外按壓的目的,從而提高CPR的成功率。同時,該按壓器可產生不同類型的按壓波形,包括梯形波以及三角波。最后選用梯形按壓波形,通過成熟的心臟呼吸驟停的大鼠CPR模型驗證了機械按壓較人工按壓有更好的復蘇效果。
引用本文: 王春晨, 張雷, 李永勤, 陳碧華. 微型電動心臟按壓器的研制及動物實驗研究. 生物醫學工程學雜志, 2014, 31(1): 39-43. doi: 10.7507/1001-5515.20140008 復制
引言
心臟驟停(cardiac arrest,CA)是發達國家首要的死亡原因,在我國每年亦有54.4萬人死于心跳驟停。心肺復蘇(cardiopulmonary resuscitation,CPR)也稱基本生命支持,是針對各種原因導致的心臟呼吸驟停患者采取的搶救措施,包括人工通氣、胸外按壓和電擊除顫。但目前CPR的搶救成功率依然很低,在歐美等發達國家只有5%~10% ,在我國僅為1%[1]。導致搶救成功率低,患者高死亡率的一個重要原因是傳統的徒手胸外按壓時到達心臟和腦的血流非常少[2]。而在臨床工作中,由于按壓頻率和深度不夠,胸外按壓過程中長時間中斷等因素影響,徒手胸外按壓的操作質量往往達不到要求,使得按壓效果明顯下降。
為克服人工按壓的不足,關于機械按壓設備的研究成為了生物醫學工程非常重要的一個研究方向。目前機械按壓設備按照設計原理大致分為兩種:氣動控制和電動控制,其中氣動控制的代表產品有薩勃心肺復蘇器和Lund大學心臟輔助系統(Lund University Cardiac Assist System,LUCAS);電動控制的代表產品有環胸束帶按壓裝置(AutoPulse)[3]。然而,到目前為止,尚沒有臨床研究可以證實,采用機械按壓設備可以提高CPR的搶救成功率和生存率[4-5]。此外,臨床研究表明,人工按壓產生的按壓波形類似于正弦波,而機械按壓的波形則普遍采用方波。而最新研究表明,采用梯形波按壓與人工胸外心臟按壓的正弦波相比,在心肺復蘇過程中的血液動力學方面有更好的表現[6],然而梯形波對復蘇的成功率是否有影響、影響的程度都還不明確。
本文旨在研制一款基于單片機控制的直線步進電動缸驅動的微型電動心臟按壓器。該按壓器具有體積小、便攜、安全穩定、可以產生不同類型的按壓波形,包括梯形波以及三角波,可以對按壓深度和按壓頻率進行精確控制和實時調節等特點。在此基礎上,我們還利用成熟的CPR動物模型,通過動物實驗檢驗儀器的基本性能和CPR的實際效果。
1 系統設計
本按壓器的總體結構示意圖如圖 1所示。圖中1.直線步進電動缸;2.控制器;2a.頻率調節模塊;2b.深度調節模塊;2c.液晶顯示模塊;3.按壓頭;4.底坐;5.立柱;6.橫桿;7.連接部件。該系統采用直線步進電動缸作為動力源,以單片機開發系統為平臺,運用脈沖寬度調制(pulse width modulation,PWM)技術實現對直線步進電動缸往復運動的精確控制,以及對按壓頻率和深度的控制。

1.1 硬件設計
系統硬件由驅動模塊、微控制處理模塊、液晶顯示模塊、鍵盤控制模塊和電源管理模塊組成。驅動模塊由LPC44S-250H直線步進電動缸及其專用驅動器DR-435M(南京思展科技有限公司生產)組成;微控制處理模塊主要由MSP430F149單片機及外圍電路組成。鍵盤按鍵用于設置按壓參數及控制系統工作狀態。單片機接到指令后,產生脈沖信號傳輸到驅動器,驅動器驅動步進電機工作,與此同時液晶模塊根據單片機的指令顯示實時的按壓參數。
1.1.1 微控制處理模塊
本系統采用的單片機為MSP430F149,其內部包含的TIMER_A和TIMER_B具有PWM功能,它們非常適合本系統的功能實現。單片機在整個系統中發揮核心控制作用并主要執行按鍵的檢測,脈沖信號的產生,液晶顯示的控制等任務。
1.1.2 驅動模塊
本系統采用LPC44S-250H直線步進電動缸作為動力源,通過電動缸的往復運動實現按壓。DR-435M驅動器是作為電動缸的調節器,設定合適的細分步及運行電流,從而讓電動缸達到預定的行程并且運行穩定。
1.1.3 電源模塊[7 -8 ]
本系統需要三種不同的供電電壓,分別是48、5和3.3 V。整個電源模塊的電路采用48 V直流開關電源作為總的供電電壓,其他兩種電壓則通過穩壓芯片產生。穩壓芯片LM2576HVT -ADJ用來提供5 V穩壓輸出給液晶模塊和按鍵模塊,而LM1117-3.3用來實現3.3 V穩壓輸出給單片機MSP430F149供電。
1.1.4 按壓波形測試模塊
為了測試按壓器的按壓波形,采用自制壓力測試模塊進行實際測量。該模塊主要由彈簧、測力傳感器(YZC-1B,廣州電測)及AD620組成,彈簧的一端垂直固定在測量傳感器懸臂梁結構的懸空端,另一端為按壓頭的按壓點。當按壓頭作用在彈簧上,彈簧將按壓頭的位移轉換壓力施給傳感器,使懸臂梁上的應變片傳感器因形變引起阻抗變化,從而使傳感器輸出電壓改變,輸出一個隨按壓器按壓過程而變化的模擬信號。將該信號放大后使用Windaq數據采集系統(DATAQ D1-148U,美國DATAQ Instruments公司)采集并記錄實時的按壓波形。
1.2 軟件設計
本系統使用的MSP430F149單片機采用的開發環境為IAR Embedded Workbench。通過對MSP430F149編程實現按鍵掃描、脈沖信號產生、液晶現實等功能。
系統開機完成初始化后,等待各功能按鍵按下并進入中斷服務程序中,確定按下的按鍵后執行相應子程序。系統共設置6個功能鍵,分別是開始/確認、停止、參數調節(頻率+和頻率-分別代表頻率加10次和頻率減10次;深度+和深度-分別代表深度加1 cm和深度減1 cm)。若按下開始/確認鍵,則單片機開始工作,根據當前的參數發送指令傳輸給驅動模塊,驅動模塊開始工作實施按壓直至下一次按鍵觸發中斷;與此同時,調節的參數值顯示在液晶屏上。停止功能鍵則是用于停止或暫停整個系統工作狀態。
軟件控制的核心在于靈活應用MSP430F149單片機中TIMER_A和TIMER_B定時器產生PWM脈沖信號。系統需要產生兩路脈沖信號,一路驅動步進電機的轉速,一路驅動轉向。由于需要步進電機高速轉動,勻速的脈沖信號無法實現這一目標,因此采用“啟動-加速-高速運行(勻速)-減速-停頓再啟動”這樣一個循環過程。步進電機轉動速度變化曲線如圖 2所示。本系統實現的兩種按壓波形如圖 3所示:圖 3(a) 是占空比為1∶1的三角波,圖 3(b) 是上升沿:高電平:下降沿:低電平=1∶1∶1∶1的梯形波,按壓頻率為200次/min。


(a) 三角波按壓波形圖;(b) 梯形波按壓波形圖
Figure3. Compression waveforms(a) Triangular compression waveforms; (b) Trapezoidal compression waveforms
1.3 設計的技術指標
按照國際CPR指南制定的標準[9],系統要實現以下胸外按壓指標:
① 胸部按壓頻率100~120 次/min,可調;
② 胸部按壓深度5~7 cm,可調。
在本次研究的動物實驗中,根據實驗動物本身的特性,系統設置的指標參數為:
① 胸部按壓頻率200 次/min;
② 胸部按壓深度10~15 mm,可調。
2 動物實驗
為驗證本設計中微型電動心臟按壓器的有效性,本次研究進行了動物實驗。該動物實驗得到了第三軍醫大學動物倫理委員會的批準。
2.1 實驗設計
實驗采用成熟的心臟呼吸驟停的大鼠CPR模型[10]。選用10只健康的體重在310~450 g的成年SD大鼠(5只雄性、5只雌性)。大鼠術前禁食12 h,可自由飲水。實驗開始時以肌肉注射水合氫醛試劑(CH 0.3 mg/kg)實施麻醉。將大鼠仰臥固定在手術臺上,實施氣管插管,進行機械通氣(ALC-V8動物呼吸機,上海奧爾科特生物科技有限公司)。實施右股動脈插管手術監測動脈壓(Model 3000 Monitor,美國Datascope公司);實驗過程中持續監護三導聯心電信號和主動脈壓,并由Windaq數據采集系統進行實時采集與記錄。記錄30 min基礎狀態(baseline,BL)后注射哌庫溴銨(2 mg/kg),停止通氣,阻斷呼吸達到呼吸心跳驟停(平均動脈壓< 20 mm Hg),5 min不作任何處理后開始CPR。開放氣道進行機械通氣(呼吸機純氧輔助通氣,通氣頻率80 次/min,潮氣量6 mL/kg),同時使用微型電動心臟按壓器執行胸外按壓,按壓波形選擇梯形波(梯形波上升沿∶高電平∶下降沿∶低電平=2∶1∶4∶1,見圖 4),按壓頻率為200次/min,按壓深度為大鼠胸廓前后徑的25%~30%,在CPR開始后1 min快速推注腎上腺素(20 μg/kg);當出現自主心律、脈搏壓,平均動脈壓>60 mm Hg時判斷為自主循環恢復(restoration of spontaneous circulation,ROSC)。之后,連續監測復蘇后(post-resuscitation,PR)3 h的心電信號和動脈壓變化。

2.2 實驗結果
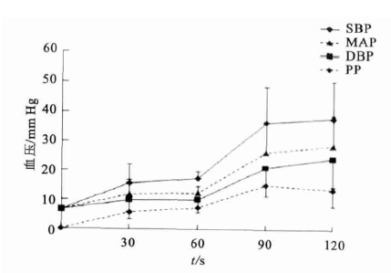
實驗中10只大鼠成功復蘇6只,平均復蘇時間為(207±153) s;復蘇成功率為60%;復蘇后平均存活時間為(42.2±33.1) h;存活時間超過72 h的大鼠有3只,72 h存活率為30%。圖 5是按壓過程中監測的大鼠血壓波形;圖 6是10只實驗大鼠從開始按壓到按壓2 min內的收縮壓(systolic blood pressure,SBP)、舒張壓(diastolic blood pressure,DBP)、平均動脈壓(mean artery pressure,MAP)及脈壓差(pulse pressure,PP)的變化趨勢圖;圖 7(a)和圖 7(b)分別是整個實驗過程中心率(heart rate,HR)和MAP的變化曲線圖。



(a) HR變化趨勢圖;(b) MAP變化趨勢圖 注:圖中橫坐標0~9分別代表BL、CA、CPR30 s、CPR60 s、CPR90 s、CPR120 s、PR0 h、 PR1 h、PR2 h、PR3 h。
Figure7. Trend charts of HR and MAP during experiment(a) HR change during experiment; (b) MAP change during experiment
2.3 討論
實驗監測的大鼠基礎狀態心率為(403±37)次/min,MAP為(109.0±14.3) mm Hg。由圖 6可以看出,大鼠在CPR過程中SBP、DBP、MAP及PP均會隨著按壓時間呈上升趨勢:在心臟驟停5 min后大鼠無脈壓差,MAP為(6.5±0.9) mm Hg,僅為基礎狀態下的6%;在CPR的前30 s內,MAP上升明顯,在第30 s時為(11.1±4.1) mm Hg,達到了基礎狀態的11%;在30~60 s之間MAP無明顯變化;然而從60~90 s這段時間伴隨腎上腺素的注射,MAP有一個跨越性的增長,在第90 s時MAP為(22.4±9.3) mm Hg,達到了基礎狀態的21%;90 s后MAP仍保持上升趨勢。整個CPR的前2 min,MAP的平均值為(14.9±7.4) mm Hg,提供相當于正常生理狀態下14%的血流給心臟,提高CPR成功的可能。
實驗中,觀察了RosC后3 h內大鼠的HR及MAP(見圖 7)。從圖 7(a)中可以發現大鼠從CPR開始HR是呈上升趨勢的:在剛剛恢復自主循環的時候可達到基礎狀態的53%;在復蘇后0 h到復蘇后1 h這段時間內,HR有著跨越式的提升,在復蘇后1 h時達到基礎狀態的88%;在復蘇后1 h之后,HR保持在一個穩定的狀態,略低于基礎狀態,但是不影響大鼠的康復。由圖 7(b)可以看出大鼠從CPR開始MAP也是呈現上升趨勢的,變化過程與HR變化過程極其相似,在復蘇后1 h時達到基礎狀態的82%,并且保持小幅度的繼續上升,在復蘇后3 h時達到基礎狀態的88%。通過HR和MAP的變化曲線可以看出,使用微型電動心臟按壓器可以成功復蘇大鼠,并且復蘇后康復效果好。
本實驗模型建立的基于快速反應時間(心臟驟停發生到CPR的時間)是5 min,實驗結果顯示復蘇成功率為60%,72 h存活率為30%,達到了預期目標。與Song等[10]報道的采用人工按壓的相同實驗動物模型CPR實驗相比,本實驗結果無論是復蘇成功率還是72 h存活率均有顯著提高。但由于呼吸心跳驟停的時間存在差異(本實驗阻斷呼吸到開始CPR時間為7.4~8.7 min,而文獻[10]報道的時間為10 min),因此,雖然我們采用的梯形波進行機械按壓較人工按壓有更好的復蘇效果,但其有效性仍需作進一步的實驗驗證。
3 小結
胸外心臟按壓是臨床搶救心臟驟停患者的一種重要措施,高質量的胸外按壓對提高CPR的成功率至關重要。本文設計的微型電動心臟按壓器通過采用PWM技術實現對直線步進電動缸往復運動的精確控制,以實現對按壓頻率和深度的控制,從而達到在CPR的過程中長時間連續穩定的胸外心臟按壓的目的。
目前,院外急救通常主要依靠人工徒手進行胸外心臟按壓。雖然人工按壓能夠在短時間內產生良好的復蘇效果,然而存在以下不足:胸外心臟按壓的頻率和深度較難掌握,很難達到恒定、高效的理想按壓;胸外按壓體力消耗大,易疲勞;在患者運送過程中以及一些特殊場所難以進行人工按壓。而本電動心臟按壓器采用單片機控制的PWM技術驅動直線步進電動缸,達到按壓深度和按壓頻率的精確控制,保障高質量按壓的持續性和穩定性。
微型電動心臟按壓器具有體積小、操作方便、性能穩定、安全可靠等特點,克服了目前市場上銷售的氣動控制機械按壓器結構復雜、價格昂貴、不便攜等缺點。
在動物實驗過程中,整個系統工作穩定,實現了長時間不間斷的按壓;無論是按壓頻率還是按壓深度均具有極高的重復性和準確性。同時,動物實驗的結果顯示:與傳統的人工按壓方法比較,微型電動心臟按壓器能夠在按壓過程中產生較為理想的血流供應,從而可以有效提高CPR的成功率。
在后期的開發中,希望比較不同深度波形的按壓效果,探尋復蘇效果更佳的按壓波形。同時在系統中加入位移、壓力等反饋模塊,以期實現系統的閉環控制。
引言
心臟驟停(cardiac arrest,CA)是發達國家首要的死亡原因,在我國每年亦有54.4萬人死于心跳驟停。心肺復蘇(cardiopulmonary resuscitation,CPR)也稱基本生命支持,是針對各種原因導致的心臟呼吸驟停患者采取的搶救措施,包括人工通氣、胸外按壓和電擊除顫。但目前CPR的搶救成功率依然很低,在歐美等發達國家只有5%~10% ,在我國僅為1%[1]。導致搶救成功率低,患者高死亡率的一個重要原因是傳統的徒手胸外按壓時到達心臟和腦的血流非常少[2]。而在臨床工作中,由于按壓頻率和深度不夠,胸外按壓過程中長時間中斷等因素影響,徒手胸外按壓的操作質量往往達不到要求,使得按壓效果明顯下降。
為克服人工按壓的不足,關于機械按壓設備的研究成為了生物醫學工程非常重要的一個研究方向。目前機械按壓設備按照設計原理大致分為兩種:氣動控制和電動控制,其中氣動控制的代表產品有薩勃心肺復蘇器和Lund大學心臟輔助系統(Lund University Cardiac Assist System,LUCAS);電動控制的代表產品有環胸束帶按壓裝置(AutoPulse)[3]。然而,到目前為止,尚沒有臨床研究可以證實,采用機械按壓設備可以提高CPR的搶救成功率和生存率[4-5]。此外,臨床研究表明,人工按壓產生的按壓波形類似于正弦波,而機械按壓的波形則普遍采用方波。而最新研究表明,采用梯形波按壓與人工胸外心臟按壓的正弦波相比,在心肺復蘇過程中的血液動力學方面有更好的表現[6],然而梯形波對復蘇的成功率是否有影響、影響的程度都還不明確。
本文旨在研制一款基于單片機控制的直線步進電動缸驅動的微型電動心臟按壓器。該按壓器具有體積小、便攜、安全穩定、可以產生不同類型的按壓波形,包括梯形波以及三角波,可以對按壓深度和按壓頻率進行精確控制和實時調節等特點。在此基礎上,我們還利用成熟的CPR動物模型,通過動物實驗檢驗儀器的基本性能和CPR的實際效果。
1 系統設計
本按壓器的總體結構示意圖如圖 1所示。圖中1.直線步進電動缸;2.控制器;2a.頻率調節模塊;2b.深度調節模塊;2c.液晶顯示模塊;3.按壓頭;4.底坐;5.立柱;6.橫桿;7.連接部件。該系統采用直線步進電動缸作為動力源,以單片機開發系統為平臺,運用脈沖寬度調制(pulse width modulation,PWM)技術實現對直線步進電動缸往復運動的精確控制,以及對按壓頻率和深度的控制。

1.1 硬件設計
系統硬件由驅動模塊、微控制處理模塊、液晶顯示模塊、鍵盤控制模塊和電源管理模塊組成。驅動模塊由LPC44S-250H直線步進電動缸及其專用驅動器DR-435M(南京思展科技有限公司生產)組成;微控制處理模塊主要由MSP430F149單片機及外圍電路組成。鍵盤按鍵用于設置按壓參數及控制系統工作狀態。單片機接到指令后,產生脈沖信號傳輸到驅動器,驅動器驅動步進電機工作,與此同時液晶模塊根據單片機的指令顯示實時的按壓參數。
1.1.1 微控制處理模塊
本系統采用的單片機為MSP430F149,其內部包含的TIMER_A和TIMER_B具有PWM功能,它們非常適合本系統的功能實現。單片機在整個系統中發揮核心控制作用并主要執行按鍵的檢測,脈沖信號的產生,液晶顯示的控制等任務。
1.1.2 驅動模塊
本系統采用LPC44S-250H直線步進電動缸作為動力源,通過電動缸的往復運動實現按壓。DR-435M驅動器是作為電動缸的調節器,設定合適的細分步及運行電流,從而讓電動缸達到預定的行程并且運行穩定。
1.1.3 電源模塊[7 -8 ]
本系統需要三種不同的供電電壓,分別是48、5和3.3 V。整個電源模塊的電路采用48 V直流開關電源作為總的供電電壓,其他兩種電壓則通過穩壓芯片產生。穩壓芯片LM2576HVT -ADJ用來提供5 V穩壓輸出給液晶模塊和按鍵模塊,而LM1117-3.3用來實現3.3 V穩壓輸出給單片機MSP430F149供電。
1.1.4 按壓波形測試模塊
為了測試按壓器的按壓波形,采用自制壓力測試模塊進行實際測量。該模塊主要由彈簧、測力傳感器(YZC-1B,廣州電測)及AD620組成,彈簧的一端垂直固定在測量傳感器懸臂梁結構的懸空端,另一端為按壓頭的按壓點。當按壓頭作用在彈簧上,彈簧將按壓頭的位移轉換壓力施給傳感器,使懸臂梁上的應變片傳感器因形變引起阻抗變化,從而使傳感器輸出電壓改變,輸出一個隨按壓器按壓過程而變化的模擬信號。將該信號放大后使用Windaq數據采集系統(DATAQ D1-148U,美國DATAQ Instruments公司)采集并記錄實時的按壓波形。
1.2 軟件設計
本系統使用的MSP430F149單片機采用的開發環境為IAR Embedded Workbench。通過對MSP430F149編程實現按鍵掃描、脈沖信號產生、液晶現實等功能。
系統開機完成初始化后,等待各功能按鍵按下并進入中斷服務程序中,確定按下的按鍵后執行相應子程序。系統共設置6個功能鍵,分別是開始/確認、停止、參數調節(頻率+和頻率-分別代表頻率加10次和頻率減10次;深度+和深度-分別代表深度加1 cm和深度減1 cm)。若按下開始/確認鍵,則單片機開始工作,根據當前的參數發送指令傳輸給驅動模塊,驅動模塊開始工作實施按壓直至下一次按鍵觸發中斷;與此同時,調節的參數值顯示在液晶屏上。停止功能鍵則是用于停止或暫停整個系統工作狀態。
軟件控制的核心在于靈活應用MSP430F149單片機中TIMER_A和TIMER_B定時器產生PWM脈沖信號。系統需要產生兩路脈沖信號,一路驅動步進電機的轉速,一路驅動轉向。由于需要步進電機高速轉動,勻速的脈沖信號無法實現這一目標,因此采用“啟動-加速-高速運行(勻速)-減速-停頓再啟動”這樣一個循環過程。步進電機轉動速度變化曲線如圖 2所示。本系統實現的兩種按壓波形如圖 3所示:圖 3(a) 是占空比為1∶1的三角波,圖 3(b) 是上升沿:高電平:下降沿:低電平=1∶1∶1∶1的梯形波,按壓頻率為200次/min。


(a) 三角波按壓波形圖;(b) 梯形波按壓波形圖
Figure3. Compression waveforms(a) Triangular compression waveforms; (b) Trapezoidal compression waveforms
1.3 設計的技術指標
按照國際CPR指南制定的標準[9],系統要實現以下胸外按壓指標:
① 胸部按壓頻率100~120 次/min,可調;
② 胸部按壓深度5~7 cm,可調。
在本次研究的動物實驗中,根據實驗動物本身的特性,系統設置的指標參數為:
① 胸部按壓頻率200 次/min;
② 胸部按壓深度10~15 mm,可調。
2 動物實驗
為驗證本設計中微型電動心臟按壓器的有效性,本次研究進行了動物實驗。該動物實驗得到了第三軍醫大學動物倫理委員會的批準。
2.1 實驗設計
實驗采用成熟的心臟呼吸驟停的大鼠CPR模型[10]。選用10只健康的體重在310~450 g的成年SD大鼠(5只雄性、5只雌性)。大鼠術前禁食12 h,可自由飲水。實驗開始時以肌肉注射水合氫醛試劑(CH 0.3 mg/kg)實施麻醉。將大鼠仰臥固定在手術臺上,實施氣管插管,進行機械通氣(ALC-V8動物呼吸機,上海奧爾科特生物科技有限公司)。實施右股動脈插管手術監測動脈壓(Model 3000 Monitor,美國Datascope公司);實驗過程中持續監護三導聯心電信號和主動脈壓,并由Windaq數據采集系統進行實時采集與記錄。記錄30 min基礎狀態(baseline,BL)后注射哌庫溴銨(2 mg/kg),停止通氣,阻斷呼吸達到呼吸心跳驟停(平均動脈壓< 20 mm Hg),5 min不作任何處理后開始CPR。開放氣道進行機械通氣(呼吸機純氧輔助通氣,通氣頻率80 次/min,潮氣量6 mL/kg),同時使用微型電動心臟按壓器執行胸外按壓,按壓波形選擇梯形波(梯形波上升沿∶高電平∶下降沿∶低電平=2∶1∶4∶1,見圖 4),按壓頻率為200次/min,按壓深度為大鼠胸廓前后徑的25%~30%,在CPR開始后1 min快速推注腎上腺素(20 μg/kg);當出現自主心律、脈搏壓,平均動脈壓>60 mm Hg時判斷為自主循環恢復(restoration of spontaneous circulation,ROSC)。之后,連續監測復蘇后(post-resuscitation,PR)3 h的心電信號和動脈壓變化。

2.2 實驗結果
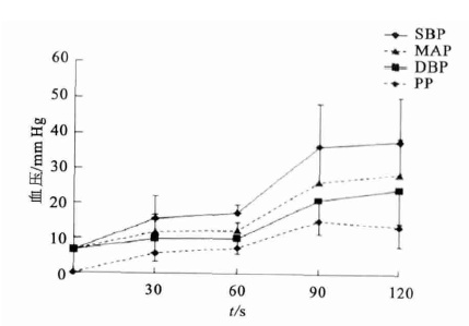
實驗中10只大鼠成功復蘇6只,平均復蘇時間為(207±153) s;復蘇成功率為60%;復蘇后平均存活時間為(42.2±33.1) h;存活時間超過72 h的大鼠有3只,72 h存活率為30%。圖 5是按壓過程中監測的大鼠血壓波形;圖 6是10只實驗大鼠從開始按壓到按壓2 min內的收縮壓(systolic blood pressure,SBP)、舒張壓(diastolic blood pressure,DBP)、平均動脈壓(mean artery pressure,MAP)及脈壓差(pulse pressure,PP)的變化趨勢圖;圖 7(a)和圖 7(b)分別是整個實驗過程中心率(heart rate,HR)和MAP的變化曲線圖。



(a) HR變化趨勢圖;(b) MAP變化趨勢圖 注:圖中橫坐標0~9分別代表BL、CA、CPR30 s、CPR60 s、CPR90 s、CPR120 s、PR0 h、 PR1 h、PR2 h、PR3 h。
Figure7. Trend charts of HR and MAP during experiment(a) HR change during experiment; (b) MAP change during experiment
2.3 討論
實驗監測的大鼠基礎狀態心率為(403±37)次/min,MAP為(109.0±14.3) mm Hg。由圖 6可以看出,大鼠在CPR過程中SBP、DBP、MAP及PP均會隨著按壓時間呈上升趨勢:在心臟驟停5 min后大鼠無脈壓差,MAP為(6.5±0.9) mm Hg,僅為基礎狀態下的6%;在CPR的前30 s內,MAP上升明顯,在第30 s時為(11.1±4.1) mm Hg,達到了基礎狀態的11%;在30~60 s之間MAP無明顯變化;然而從60~90 s這段時間伴隨腎上腺素的注射,MAP有一個跨越性的增長,在第90 s時MAP為(22.4±9.3) mm Hg,達到了基礎狀態的21%;90 s后MAP仍保持上升趨勢。整個CPR的前2 min,MAP的平均值為(14.9±7.4) mm Hg,提供相當于正常生理狀態下14%的血流給心臟,提高CPR成功的可能。
實驗中,觀察了RosC后3 h內大鼠的HR及MAP(見圖 7)。從圖 7(a)中可以發現大鼠從CPR開始HR是呈上升趨勢的:在剛剛恢復自主循環的時候可達到基礎狀態的53%;在復蘇后0 h到復蘇后1 h這段時間內,HR有著跨越式的提升,在復蘇后1 h時達到基礎狀態的88%;在復蘇后1 h之后,HR保持在一個穩定的狀態,略低于基礎狀態,但是不影響大鼠的康復。由圖 7(b)可以看出大鼠從CPR開始MAP也是呈現上升趨勢的,變化過程與HR變化過程極其相似,在復蘇后1 h時達到基礎狀態的82%,并且保持小幅度的繼續上升,在復蘇后3 h時達到基礎狀態的88%。通過HR和MAP的變化曲線可以看出,使用微型電動心臟按壓器可以成功復蘇大鼠,并且復蘇后康復效果好。
本實驗模型建立的基于快速反應時間(心臟驟停發生到CPR的時間)是5 min,實驗結果顯示復蘇成功率為60%,72 h存活率為30%,達到了預期目標。與Song等[10]報道的采用人工按壓的相同實驗動物模型CPR實驗相比,本實驗結果無論是復蘇成功率還是72 h存活率均有顯著提高。但由于呼吸心跳驟停的時間存在差異(本實驗阻斷呼吸到開始CPR時間為7.4~8.7 min,而文獻[10]報道的時間為10 min),因此,雖然我們采用的梯形波進行機械按壓較人工按壓有更好的復蘇效果,但其有效性仍需作進一步的實驗驗證。
3 小結
胸外心臟按壓是臨床搶救心臟驟停患者的一種重要措施,高質量的胸外按壓對提高CPR的成功率至關重要。本文設計的微型電動心臟按壓器通過采用PWM技術實現對直線步進電動缸往復運動的精確控制,以實現對按壓頻率和深度的控制,從而達到在CPR的過程中長時間連續穩定的胸外心臟按壓的目的。
目前,院外急救通常主要依靠人工徒手進行胸外心臟按壓。雖然人工按壓能夠在短時間內產生良好的復蘇效果,然而存在以下不足:胸外心臟按壓的頻率和深度較難掌握,很難達到恒定、高效的理想按壓;胸外按壓體力消耗大,易疲勞;在患者運送過程中以及一些特殊場所難以進行人工按壓。而本電動心臟按壓器采用單片機控制的PWM技術驅動直線步進電動缸,達到按壓深度和按壓頻率的精確控制,保障高質量按壓的持續性和穩定性。
微型電動心臟按壓器具有體積小、操作方便、性能穩定、安全可靠等特點,克服了目前市場上銷售的氣動控制機械按壓器結構復雜、價格昂貴、不便攜等缺點。
在動物實驗過程中,整個系統工作穩定,實現了長時間不間斷的按壓;無論是按壓頻率還是按壓深度均具有極高的重復性和準確性。同時,動物實驗的結果顯示:與傳統的人工按壓方法比較,微型電動心臟按壓器能夠在按壓過程中產生較為理想的血流供應,從而可以有效提高CPR的成功率。
在后期的開發中,希望比較不同深度波形的按壓效果,探尋復蘇效果更佳的按壓波形。同時在系統中加入位移、壓力等反饋模塊,以期實現系統的閉環控制。