術后心房顫動(postoperative atrial fibrillation,POAF)是心血管外科手術后最常見并發癥之一,其發生率可達60%~80%[1-2],從而導致血流動力學不穩定、血栓形成、腦卒中、心力衰竭、住院時間延長、二次手術、花費增加、死亡風險增加等不良事件,加重醫療負擔。美國胸外科協會、歐洲心律協會和歐洲心臟協會等均將β受體阻滯劑列為圍手術期使用以減少新發POAF的ⅠA級推薦[3-7]。但不同類型的β受體阻滯劑因具有不同藥理學特性,可能在POAF的預防效果上存在差異。目前已經有多種β受體阻滯劑臨床應用療效的相關研究,但不同研究間的用藥開始時機、給藥劑量或其他變量差異明顯[8],且缺乏不同β受體阻滯劑之間的直接頭對頭試驗比較。因此,具體哪種β受體阻滯劑在預防心臟外科術后POAF的效果最佳尚無定論,也無明確的相關指南推薦。此外,有研究[8-9]發現術后使用β受體阻滯劑與心動過緩、卒中、低血壓、支氣管痙攣、心力衰竭等副作用有關,研究結論質疑使用β受體阻滯劑的預防POAF的有效性和優先性。因此,需要進一步分析不同類型β受體阻滯劑在預防POAF的效果差異,為臨床實踐提供循證依據。網狀Meta分析(network meta-analysis,NMA)是一種適用于對同一受試者的不同干預措施進行定量比較的統計分析方法,在同時比較多種β受體阻滯劑方面優于傳統Meta分析[10]。本研究以STATA 17.0 軟件中Network包為基礎,對已發表的文獻進行分析,選擇β1選擇性阻滯劑蘭地洛爾、美托洛爾、阿替洛爾和β非選擇性阻滯劑卡維蒂洛、普萘洛爾、奈必洛爾進行網狀Meta分析,對不同β受體阻滯劑在預防POAF的有效性方面進行排序,為臨床應用提供參考依據。
1 資料與方法
1.1 文獻納入與排除標準
1.1.1 納入標準
(1)研究類型:隨機對照試驗;(2)研究對象:心臟外科手術患者,包括主動脈夾層手術、主動脈瓣膜置換術、二尖瓣置換術、冠狀動脈旁路移植術(coronary artery bypass grafting,CABG);(3)干預措施:試驗組使用某種β受體阻滯劑藥物治療,對照組使用安慰劑(placebo,PLA)或另外一種β受體阻滯劑治療;(4)結局指標:POAF發生率。
1.1.2 排除標準
(1)綜述、會議文獻等;(2)研究中患者在術后服用2種及以上β受體阻滯劑;(3)研究中患者在圍手術期使用了可能影響試驗結果的其他藥物;(4)招募的患者術前存在心房顫動(房顫)或長期房顫史,或者有其他不宜納入研究的心臟病變或心功能異常;(5)結局指標未涉及POAF發生率;(6)重復發表文獻;(7)對房顫的判斷不標準;(8)因副作用而導致大量研究對象被迫終止服用藥物;(9)不能獲取原文資料。
1.2 檢索策略
本研究操作流程遵循國際公認的系統評價和Meta分析報告規范(PRISMA)[10-12]。檢索PubMed、Science Direct、Web of Science、Cochrane Library、中國生物醫學文獻服務系統、中國知網、萬方數據庫和維普數據庫,檢索時限從建庫至2022年4月,查找符合要求的已發表文獻。英文檢索詞:atrial fibrillation、adrenergic beta-antagonists、atrial flutter、thoracic surgery、randomized controlled、controlled clinical trial、heart surgery、cardiac surgery、coronary artery bypass grafting、auricular flutters、adrenergic beta-receptor blockader、beta-receptor blockader、adrenergic、metoprolol、landiolol、carvedilol、propranolol、nebivolol、atenolol等,沒有語言限制;同時閱讀檢索到的綜述類文獻,防止潛在合格文獻被遺漏。所有文獻均導入EndNote X9軟件進行文獻篩選和管理。
1.4 文獻篩選與數據提取
使用Endnote X9軟件刪除重復文獻后,由兩名研究者分別獨立瀏覽每篇文獻的標題和摘要,判斷文獻是否可以被納入;若無法判斷其合格性,則下載全文閱讀并評判;若依然無法決定是否納入,則與上級研究者共同協商后決定。所有不合格文獻在EndNote中標記出不合格的理由,用于流程圖的制作。兩名研究者獨立從納入文獻中提取數據,提取數據包括第一作者、發表年份、總樣本量、納入患者男女比例、平均年齡、患者的納入與排除標準、POAF發生數量和使用的β受體阻滯劑類型。
1.5 納入研究的偏倚風險評價
由兩名研究者獨立采用Cochrane偏倚風險工具[13]對每篇納入文獻進行質量評價,分別得出低度偏倚、高度偏倚和部分偏倚的判斷。兩名研究者相互核對后,上級研究者再對結果進行查驗。若提取與評價過程中出現爭議,與上級研究者共同進行評判。使用漏斗圖檢查研究是否存在報告偏倚。
1.6 統計學分析
使用RevMan 5.3軟件進行直接Meta分析,并制作直接比較的森林圖。使用I2進行異質性檢驗,當I2>50%時,采取隨機效應模型;當I2≤50%時,采取固定效應模型。使用STATA 17.0 軟件中Network包制作不同治療措施比較的網狀圖,并進行網狀Meta分析。首先采用節點分析進行一致性檢驗,若差異無統計學意義(P>0.05),則采用一致性模型進行分析,并將結果排序,反之采取非一致性模型進行分析。POAF發生率為二分類變量,采用相對危險度(risk ratio,RR)及95%可信區間(confidence interval,CI)為效應值進行分析。P≤0.05為差異有統計學意義。
2 結果
2.1 文獻檢索結果
根據檢索式檢索出3 531篇文獻,排除重復文獻945篇,再閱讀文獻標題和摘要,排除不相關文獻2 427篇。閱讀全文復篩,排除不符合納入標準的文獻142篇,最終納入17篇文獻;見圖1。

*:PubMed(
2.2 納入研究的基本特征
本研究納入的17項隨機對照試驗發表于1983—2020年,共3 290例心臟手術患者,其中試驗組1 622例,對照組1 668例。患者年齡集中在65~75歲。11項研究僅招募了行CABG手術患者,另外4項研究招募了包括行CABG和/或瓣膜置換術及夾層手術患者。試驗組藥物包括:蘭地洛爾、卡維地洛、美托洛爾、奈必洛爾、阿替洛爾、普萘洛爾;對照組藥物包括:安慰劑、不使用試驗藥物、使用生理鹽水、使用其他類型受體阻滯劑。POAF在持續時間方面的定義因研究而異。所有患者均采用心電圖進行監測。納入研究的基本特征見表1。

2.3 偏倚風險評估結果
采用Cochrane偏倚風險評估工具對納入文獻進行質量評價,結果顯示,在納入的17篇文獻中,6篇存在高偏倚風險;見圖2。

2.4 直接Meta分析結果
各研究異質性均不明顯,采取固定效應模型進行分析。結果顯示,在預防POAF效果方面,蘭地洛爾[RR=0.44,95%CI(0.32,0.61)]、美托洛爾[RR=0.78,95%CI(0.68,0.91)]、[RR=0.69,95%CI(0.53,0.89)]的效果優于安慰劑,卡維地洛的效果優于美托洛爾[RR=0.56,95%CI(0.45,0.70)];見圖3。

a:卡維地洛與美托洛爾預防POAF比較的Meta分析;b:蘭地洛爾預防POAF的Meta分析;c:美托洛爾預防POAF的Meta分析
2.5 網狀Meta分析結果
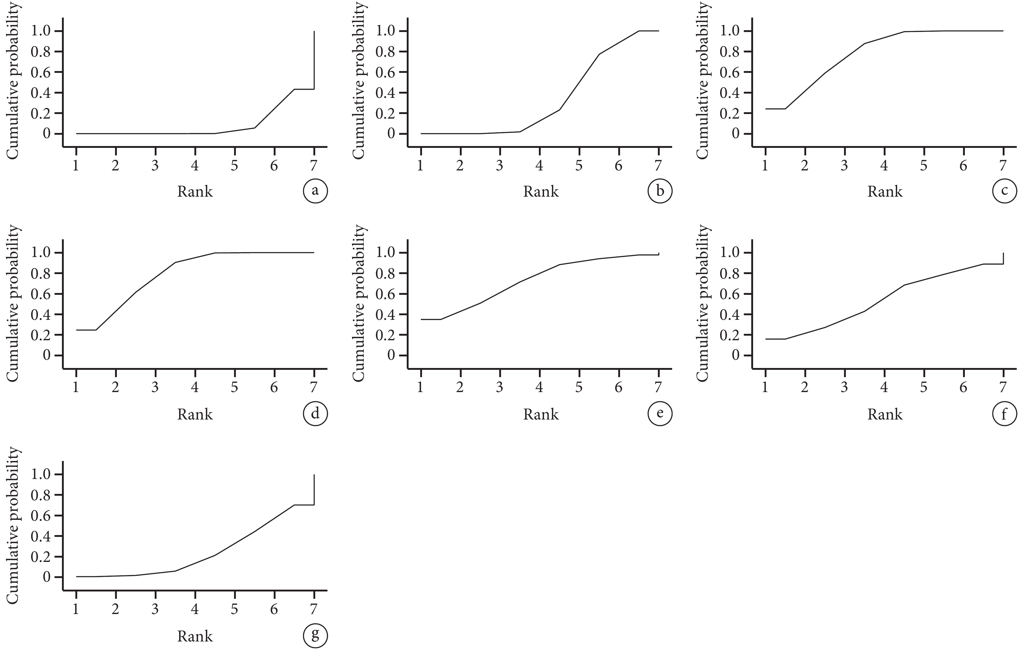
用STATA 17.0軟件制作出網狀圖,由于組間比較未成環,故不進行一致性檢驗,直接采用一致性模型進行分析。最終得到各研究間網狀關系圖、優選概率排名曲線圖與兩兩比較圖;見圖4~6。其余交叉比較結果無統計學意義;見表2。網狀Meta分析結果顯示:與安慰劑相比,蘭地洛爾[RR=0.45,95%CI(0.32,0.63)]、普萘洛爾[RR=0.46,95%CI(0.21,1.01)]、卡維地洛[RR=0.45,95%CI(0.34,0.58)]、美托洛爾[RR=0.79,95%CI(0.68,0.91)]預防POAF的效果更好;與美托洛爾相比,蘭地洛爾[RR=0.57,95%CI(0.40,0.82)]、卡維地洛[RR=0.57,95%CI(0.45,0.71)]預防效果更好。與奈必洛爾相比,卡維地洛[RR=0.51,95%CI(0.28,0.94)]的效果更好。這些結果表明,在減少POAF發生方面,卡維地洛和蘭地洛爾優于美托洛爾,卡維地洛優于奈必洛爾,普萘洛爾、卡維地洛、蘭地洛爾和美托洛爾優于安慰劑。在降低POAF發生風險的優選概率曲線圖中,曲線下面積由大到小分別為卡維地洛(79.4)、蘭地洛爾(78.3)、普萘洛爾(72.9)、阿替洛爾(53.7)、美托洛爾(33.7)、奈必洛爾(23.9)。上述分析結果表明,卡維地洛預防POAF效果最佳,其次是蘭地洛爾;相對而言,效果較差的藥物是美托洛爾和奈必洛爾。比較-校正漏斗圖顯示所有研究大致對稱分布,存在發表偏倚的可能性較小。

1:安慰對照;2:美托洛爾;3:蘭地洛爾;4:卡維地洛;5:普萘洛爾;6:阿替洛爾;7:奈必洛爾;圓點的大小代表該干預總共包含的患者數,圓點之間直線的粗細代表比較了不同干預的臨床試驗數量

1:安慰對照;2:美托洛爾;3:蘭地洛爾;4:卡維地洛;5:普萘洛爾;6:阿替洛爾;7:奈必洛爾;美托洛爾、蘭地洛爾、卡維地洛與安慰對照差異有統計學意義,卡維地洛、蘭地洛爾與美托洛爾差異有統計學意義,奈必洛爾與卡維地洛差異有統計學意義;POAF:術后心房顫動


1:安慰對照;2:美托洛爾;3:蘭地洛爾;4:卡維地洛;5:普萘洛爾;6:阿替洛爾;7:奈必洛爾;曲線下面積越大,藥物效果越好的概率就越大

A:安慰對照;B:美托洛爾;C:蘭地洛爾;D:卡維地洛;E:普萘洛爾;F:阿替洛爾;G:奈必洛爾;各研究較為均勻地分布于兩側,發表偏倚較小
2.6 敏感性分析
本研究對納入文獻的質量進行了敏感性分析,在排除被認為有高度偏倚的研究后,蘭地洛爾的有效性排名稍高于卡維地洛,但兩者的平均排名相差極小(1.5 vs. 1.6),說明文獻質量對研究結論的影響較小。
3 討論
POAF被公認是心血管外科手術后最常見的并發癥[1-5]。因手術類型和定義的不同,其發生率約為15%~60%[4-5,32],在同時接受了CABG和瓣膜手術的患者中可達60%~80%[2]。雖然近年麻醉和手術技術不斷進步,相關指南和預防手段持續更新,但POAF發生率多年未有明顯降低[33]。即便只是在手術后短暫發生的POAF都與圍手術期血流動力學不穩定、血栓形成、腦卒中、心力衰竭、住院時間延長、二次手術、花費增加、死亡率增加等不良事件密切相關[4-6]。因此,POAF給患者和醫療保健系統帶來了沉重的負擔。
心臟手術后POAF的發生與交感神經系統激活、缺血、炎癥等手術前和手術后存在的多種原因有關[34]。首先,接受心臟外科手術的患者普遍存在易于誘發POAF的心臟電生理病變。其次,手術患者的交感神經壓力增加,引起心房不應期縮短和異常電位活動產生,易促進POAF發生[35-36]。手術階段破壞心臟結構完整性的侵入性操作,以及心肌組織在心臟停搏和再灌注階段產生的白細胞介素-1;白細胞介素-6以及腫瘤壞死因子α等多種細胞因子會導致心室重塑、心肌頓抑、動作電位改變,觸發心律失常[34,37]。手術患者腎素-醛固酮系統激活,刺激血壓和心率上升,也被認為是造成房顫的原因[38]。而β受體阻滯劑可抗炎、抑制交感神經沖動、抑制醛固酮系統的作用、增加冠狀動脈及其側枝的血供和灌注,從而降低心率、減少心臟負荷和心肌耗氧、緩解心肌缺血,起到療愈心肌的作用[39-40]。β受體阻滯劑也可延長心臟直視下手術患者心房有效不應期的持續時間,減少心外觸發的心臟收縮[41]。此外,其他治療和預防POAF的方法相對β受體阻滯劑未顯示出明顯優勢,因此可以有效預防POAF的β受體阻滯劑在臨床上被推薦使用[5]。
POAF在術后即刻至術后5 d之內有多個發生高峰,在術后7~10 d才達到相對較低水平[42-44]。研究β受體阻滯劑在術后1周左右,POAF發作的高峰時間段的預防效果,對醫療系統效率的提高和患者預后改善至關重要。本研究比較了不同β受體阻滯劑在術后1周左右預防POAF的效果,直接Meta分析與網狀Meta分析結果一致。在直接比較中,蘭地洛爾和美托洛爾預防POAF效果優于安慰劑,卡維地洛優于美托洛爾。網狀Meta分析中,多種β受體阻滯劑相比安慰劑均可降低POAF的發生風險,且卡維地洛和蘭地洛爾的效果較好,奈必洛爾的效果較差,這與以往的研究結論一致,表明卡維地洛和蘭地洛爾適合用于預防心臟手術后POAF的產生和惡化[45-50]。
既往有類似主題的網狀Meta分析肯定β受體阻滯劑對POAF的預防效果[51],且在網狀分析中卡維地洛的預防效果最佳,優于蘭地洛爾,與本研究的結論符合。本研究旨在探討不同β受體阻滯劑對心臟手術后POAF的預防效果,若研究中患者使用了任何被認為可能影響β受體阻滯劑藥效的其他抗心律失常藥物,便被排除在研究之外。因此,這樣的試驗設計盡可能地排除了其他藥物對β受體阻滯劑藥效的干擾,從而更好地觀察不同β受體阻滯劑預防POAF的作用。同類研究未嚴格強調排除其他藥物的影響,入組患者中部分或全部服用了其他種類的抗心律失常藥物,同時也將包括鈣通道阻滯劑、胺碘酮等其他種類的干預措施籠統歸為一類納入研究,均可能為研究結果引入偏差。
卡維地洛是一種非選擇性β受體阻滯劑,具有抗炎、抗氧化、降低交感神經活動、減輕外周血管阻力等多種作用,可維持血流動力學穩定,具有良好的抗房顫效果[52-53]。一項回顧性研究[54]表明卡維地洛是多種β受體阻滯劑中副作用發生率最低,副作用嚴重情況也最小的β受體阻滯劑。因此,卡維地洛可能是預防POAF的良好選擇。
蘭地洛爾是一種超短效、選擇性極高的β受體阻滯劑(選擇比225),可發揮抗炎、降低心肌代謝、改善氧供等多種作用,幫助預防心臟術后POAF[55]。由于紅細胞酯酶的分解作用,蘭地洛爾在血液中的半衰期僅為4 min,可在產生目標效應后盡快解除作用,減少心臟手術患者血流動力學的惡化[45-46,56-57]。同時,蘭地洛爾的使用不會誘導停藥反跳作用的產生[58]。蘭地洛爾同時具有降低心肌代謝需求、改善氧供、抑制C反應蛋白增加等多種功能,具有優良的抗房顫效用。在以往一項分析了眾多β受體阻滯劑的網狀Meta分析[59]中,使用蘭地洛爾的患者預防POAF的效果最佳[RR=0.38,95%CI(0.29,0.53)],與我們的研究結果類似。但蘭地洛爾的有效性尚有爭論,Sasaki等[60]的研究表明女性患者、術前未使用ARB患者以及瓣膜手術后患者服用蘭地洛爾可能獲益,但服用蘭地洛爾無法有效預防所有類型心臟手術后POAF的發生。未來應對蘭地洛爾的功效進行更多臨床研究,探究使用蘭地洛爾預防POAF的最佳臨床情景。
網狀Meta分析中,美托洛爾沒有顯示出相對較佳的預防作用,這可能與納入標準在僅允許在術后使用1種β受體阻滯劑有關。美托洛爾是一種選擇性β受體阻滯劑,首過效應較強,口服生物利用度較低,并且由于其選擇性較低,相比選擇性高的β受體阻滯劑更會影響腦的灌注,可能增加腦卒中概率[OR=5.14,95%CI(2.0,13.5)][61-2]。美托洛爾的療效可能存在劑量依賴性,對β1受體的選擇性存在最佳給藥劑量區間,濃度過高時其選擇性則逐漸減弱,這也可能是美托洛爾療效不佳的原因[63]。此外,由于與美托洛爾相關的研究發表時間較早,故美托洛爾在本研究中未顯示出相對較佳的預防作用還可能與不同研究的手術方式、對POAF的定義不同等有關。與美托洛爾相比,蘭地洛爾在抗POAF中存在抗炎和抗氧化的作用。指南建議在POAF風險較高時期應靜脈滴注短效高選擇性β受體阻滯劑,因此基于指南及本研究結果,不推薦在術后單獨應用美托洛爾預防POAF。
本研究分析了6種β受體阻滯劑預防POAF的相對效果,初步證實蘭地洛爾的效果最好,而美托洛爾和奈必洛爾的效果較差。卡維地洛在術后POAF預防方面具有一定優勢,但由于納入研究數目與樣本量較小,證據強度仍需更多高質量研究進一步驗證。本研究有一些局限性:(1)試驗大多在患者體質、手術技術和臨床指南與我國不同的西方國家進行;(2)不同研究間的手術方法、給藥持續時間和給藥劑量不同;(3)其他類型的心臟外科手術相比CABG更少,可能會影響結論在不同心臟手術中的運用;(4)各研究對POAF的定義不同;(5)部分研究納入患者樣本量少,也未明確報告盲法;(6)針對部分藥物的臨床試驗數目過少。因此,應開展更多高質量、多中心、大樣本的隨機對照試驗對分析結論進行驗證,為預防POAF提供更準確的用藥臨床參考。
利益沖突:無。
作者貢獻:余朗軒提出設想、提取數據、分析數據、撰寫初稿、修改論文;譚子祎、李錦妍提取數據、修改論文;王小文、李林俊、張誠、蔣迎九審閱論文;楊河清、林澤宇對本文亦有貢獻。
術后心房顫動(postoperative atrial fibrillation,POAF)是心血管外科手術后最常見并發癥之一,其發生率可達60%~80%[1-2],從而導致血流動力學不穩定、血栓形成、腦卒中、心力衰竭、住院時間延長、二次手術、花費增加、死亡風險增加等不良事件,加重醫療負擔。美國胸外科協會、歐洲心律協會和歐洲心臟協會等均將β受體阻滯劑列為圍手術期使用以減少新發POAF的ⅠA級推薦[3-7]。但不同類型的β受體阻滯劑因具有不同藥理學特性,可能在POAF的預防效果上存在差異。目前已經有多種β受體阻滯劑臨床應用療效的相關研究,但不同研究間的用藥開始時機、給藥劑量或其他變量差異明顯[8],且缺乏不同β受體阻滯劑之間的直接頭對頭試驗比較。因此,具體哪種β受體阻滯劑在預防心臟外科術后POAF的效果最佳尚無定論,也無明確的相關指南推薦。此外,有研究[8-9]發現術后使用β受體阻滯劑與心動過緩、卒中、低血壓、支氣管痙攣、心力衰竭等副作用有關,研究結論質疑使用β受體阻滯劑的預防POAF的有效性和優先性。因此,需要進一步分析不同類型β受體阻滯劑在預防POAF的效果差異,為臨床實踐提供循證依據。網狀Meta分析(network meta-analysis,NMA)是一種適用于對同一受試者的不同干預措施進行定量比較的統計分析方法,在同時比較多種β受體阻滯劑方面優于傳統Meta分析[10]。本研究以STATA 17.0 軟件中Network包為基礎,對已發表的文獻進行分析,選擇β1選擇性阻滯劑蘭地洛爾、美托洛爾、阿替洛爾和β非選擇性阻滯劑卡維蒂洛、普萘洛爾、奈必洛爾進行網狀Meta分析,對不同β受體阻滯劑在預防POAF的有效性方面進行排序,為臨床應用提供參考依據。
1 資料與方法
1.1 文獻納入與排除標準
1.1.1 納入標準
(1)研究類型:隨機對照試驗;(2)研究對象:心臟外科手術患者,包括主動脈夾層手術、主動脈瓣膜置換術、二尖瓣置換術、冠狀動脈旁路移植術(coronary artery bypass grafting,CABG);(3)干預措施:試驗組使用某種β受體阻滯劑藥物治療,對照組使用安慰劑(placebo,PLA)或另外一種β受體阻滯劑治療;(4)結局指標:POAF發生率。
1.1.2 排除標準
(1)綜述、會議文獻等;(2)研究中患者在術后服用2種及以上β受體阻滯劑;(3)研究中患者在圍手術期使用了可能影響試驗結果的其他藥物;(4)招募的患者術前存在心房顫動(房顫)或長期房顫史,或者有其他不宜納入研究的心臟病變或心功能異常;(5)結局指標未涉及POAF發生率;(6)重復發表文獻;(7)對房顫的判斷不標準;(8)因副作用而導致大量研究對象被迫終止服用藥物;(9)不能獲取原文資料。
1.2 檢索策略
本研究操作流程遵循國際公認的系統評價和Meta分析報告規范(PRISMA)[10-12]。檢索PubMed、Science Direct、Web of Science、Cochrane Library、中國生物醫學文獻服務系統、中國知網、萬方數據庫和維普數據庫,檢索時限從建庫至2022年4月,查找符合要求的已發表文獻。英文檢索詞:atrial fibrillation、adrenergic beta-antagonists、atrial flutter、thoracic surgery、randomized controlled、controlled clinical trial、heart surgery、cardiac surgery、coronary artery bypass grafting、auricular flutters、adrenergic beta-receptor blockader、beta-receptor blockader、adrenergic、metoprolol、landiolol、carvedilol、propranolol、nebivolol、atenolol等,沒有語言限制;同時閱讀檢索到的綜述類文獻,防止潛在合格文獻被遺漏。所有文獻均導入EndNote X9軟件進行文獻篩選和管理。
1.4 文獻篩選與數據提取
使用Endnote X9軟件刪除重復文獻后,由兩名研究者分別獨立瀏覽每篇文獻的標題和摘要,判斷文獻是否可以被納入;若無法判斷其合格性,則下載全文閱讀并評判;若依然無法決定是否納入,則與上級研究者共同協商后決定。所有不合格文獻在EndNote中標記出不合格的理由,用于流程圖的制作。兩名研究者獨立從納入文獻中提取數據,提取數據包括第一作者、發表年份、總樣本量、納入患者男女比例、平均年齡、患者的納入與排除標準、POAF發生數量和使用的β受體阻滯劑類型。
1.5 納入研究的偏倚風險評價
由兩名研究者獨立采用Cochrane偏倚風險工具[13]對每篇納入文獻進行質量評價,分別得出低度偏倚、高度偏倚和部分偏倚的判斷。兩名研究者相互核對后,上級研究者再對結果進行查驗。若提取與評價過程中出現爭議,與上級研究者共同進行評判。使用漏斗圖檢查研究是否存在報告偏倚。
1.6 統計學分析
使用RevMan 5.3軟件進行直接Meta分析,并制作直接比較的森林圖。使用I2進行異質性檢驗,當I2>50%時,采取隨機效應模型;當I2≤50%時,采取固定效應模型。使用STATA 17.0 軟件中Network包制作不同治療措施比較的網狀圖,并進行網狀Meta分析。首先采用節點分析進行一致性檢驗,若差異無統計學意義(P>0.05),則采用一致性模型進行分析,并將結果排序,反之采取非一致性模型進行分析。POAF發生率為二分類變量,采用相對危險度(risk ratio,RR)及95%可信區間(confidence interval,CI)為效應值進行分析。P≤0.05為差異有統計學意義。
2 結果
2.1 文獻檢索結果
根據檢索式檢索出3 531篇文獻,排除重復文獻945篇,再閱讀文獻標題和摘要,排除不相關文獻2 427篇。閱讀全文復篩,排除不符合納入標準的文獻142篇,最終納入17篇文獻;見圖1。

*:PubMed(
2.2 納入研究的基本特征
本研究納入的17項隨機對照試驗發表于1983—2020年,共3 290例心臟手術患者,其中試驗組1 622例,對照組1 668例。患者年齡集中在65~75歲。11項研究僅招募了行CABG手術患者,另外4項研究招募了包括行CABG和/或瓣膜置換術及夾層手術患者。試驗組藥物包括:蘭地洛爾、卡維地洛、美托洛爾、奈必洛爾、阿替洛爾、普萘洛爾;對照組藥物包括:安慰劑、不使用試驗藥物、使用生理鹽水、使用其他類型受體阻滯劑。POAF在持續時間方面的定義因研究而異。所有患者均采用心電圖進行監測。納入研究的基本特征見表1。

2.3 偏倚風險評估結果
采用Cochrane偏倚風險評估工具對納入文獻進行質量評價,結果顯示,在納入的17篇文獻中,6篇存在高偏倚風險;見圖2。

2.4 直接Meta分析結果
各研究異質性均不明顯,采取固定效應模型進行分析。結果顯示,在預防POAF效果方面,蘭地洛爾[RR=0.44,95%CI(0.32,0.61)]、美托洛爾[RR=0.78,95%CI(0.68,0.91)]、[RR=0.69,95%CI(0.53,0.89)]的效果優于安慰劑,卡維地洛的效果優于美托洛爾[RR=0.56,95%CI(0.45,0.70)];見圖3。

a:卡維地洛與美托洛爾預防POAF比較的Meta分析;b:蘭地洛爾預防POAF的Meta分析;c:美托洛爾預防POAF的Meta分析
2.5 網狀Meta分析結果
用STATA 17.0軟件制作出網狀圖,由于組間比較未成環,故不進行一致性檢驗,直接采用一致性模型進行分析。最終得到各研究間網狀關系圖、優選概率排名曲線圖與兩兩比較圖;見圖4~6。其余交叉比較結果無統計學意義;見表2。網狀Meta分析結果顯示:與安慰劑相比,蘭地洛爾[RR=0.45,95%CI(0.32,0.63)]、普萘洛爾[RR=0.46,95%CI(0.21,1.01)]、卡維地洛[RR=0.45,95%CI(0.34,0.58)]、美托洛爾[RR=0.79,95%CI(0.68,0.91)]預防POAF的效果更好;與美托洛爾相比,蘭地洛爾[RR=0.57,95%CI(0.40,0.82)]、卡維地洛[RR=0.57,95%CI(0.45,0.71)]預防效果更好。與奈必洛爾相比,卡維地洛[RR=0.51,95%CI(0.28,0.94)]的效果更好。這些結果表明,在減少POAF發生方面,卡維地洛和蘭地洛爾優于美托洛爾,卡維地洛優于奈必洛爾,普萘洛爾、卡維地洛、蘭地洛爾和美托洛爾優于安慰劑。在降低POAF發生風險的優選概率曲線圖中,曲線下面積由大到小分別為卡維地洛(79.4)、蘭地洛爾(78.3)、普萘洛爾(72.9)、阿替洛爾(53.7)、美托洛爾(33.7)、奈必洛爾(23.9)。上述分析結果表明,卡維地洛預防POAF效果最佳,其次是蘭地洛爾;相對而言,效果較差的藥物是美托洛爾和奈必洛爾。比較-校正漏斗圖顯示所有研究大致對稱分布,存在發表偏倚的可能性較小。

1:安慰對照;2:美托洛爾;3:蘭地洛爾;4:卡維地洛;5:普萘洛爾;6:阿替洛爾;7:奈必洛爾;圓點的大小代表該干預總共包含的患者數,圓點之間直線的粗細代表比較了不同干預的臨床試驗數量

1:安慰對照;2:美托洛爾;3:蘭地洛爾;4:卡維地洛;5:普萘洛爾;6:阿替洛爾;7:奈必洛爾;美托洛爾、蘭地洛爾、卡維地洛與安慰對照差異有統計學意義,卡維地洛、蘭地洛爾與美托洛爾差異有統計學意義,奈必洛爾與卡維地洛差異有統計學意義;POAF:術后心房顫動


1:安慰對照;2:美托洛爾;3:蘭地洛爾;4:卡維地洛;5:普萘洛爾;6:阿替洛爾;7:奈必洛爾;曲線下面積越大,藥物效果越好的概率就越大

A:安慰對照;B:美托洛爾;C:蘭地洛爾;D:卡維地洛;E:普萘洛爾;F:阿替洛爾;G:奈必洛爾;各研究較為均勻地分布于兩側,發表偏倚較小
2.6 敏感性分析
本研究對納入文獻的質量進行了敏感性分析,在排除被認為有高度偏倚的研究后,蘭地洛爾的有效性排名稍高于卡維地洛,但兩者的平均排名相差極小(1.5 vs. 1.6),說明文獻質量對研究結論的影響較小。
3 討論
POAF被公認是心血管外科手術后最常見的并發癥[1-5]。因手術類型和定義的不同,其發生率約為15%~60%[4-5,32],在同時接受了CABG和瓣膜手術的患者中可達60%~80%[2]。雖然近年麻醉和手術技術不斷進步,相關指南和預防手段持續更新,但POAF發生率多年未有明顯降低[33]。即便只是在手術后短暫發生的POAF都與圍手術期血流動力學不穩定、血栓形成、腦卒中、心力衰竭、住院時間延長、二次手術、花費增加、死亡率增加等不良事件密切相關[4-6]。因此,POAF給患者和醫療保健系統帶來了沉重的負擔。
心臟手術后POAF的發生與交感神經系統激活、缺血、炎癥等手術前和手術后存在的多種原因有關[34]。首先,接受心臟外科手術的患者普遍存在易于誘發POAF的心臟電生理病變。其次,手術患者的交感神經壓力增加,引起心房不應期縮短和異常電位活動產生,易促進POAF發生[35-36]。手術階段破壞心臟結構完整性的侵入性操作,以及心肌組織在心臟停搏和再灌注階段產生的白細胞介素-1;白細胞介素-6以及腫瘤壞死因子α等多種細胞因子會導致心室重塑、心肌頓抑、動作電位改變,觸發心律失常[34,37]。手術患者腎素-醛固酮系統激活,刺激血壓和心率上升,也被認為是造成房顫的原因[38]。而β受體阻滯劑可抗炎、抑制交感神經沖動、抑制醛固酮系統的作用、增加冠狀動脈及其側枝的血供和灌注,從而降低心率、減少心臟負荷和心肌耗氧、緩解心肌缺血,起到療愈心肌的作用[39-40]。β受體阻滯劑也可延長心臟直視下手術患者心房有效不應期的持續時間,減少心外觸發的心臟收縮[41]。此外,其他治療和預防POAF的方法相對β受體阻滯劑未顯示出明顯優勢,因此可以有效預防POAF的β受體阻滯劑在臨床上被推薦使用[5]。
POAF在術后即刻至術后5 d之內有多個發生高峰,在術后7~10 d才達到相對較低水平[42-44]。研究β受體阻滯劑在術后1周左右,POAF發作的高峰時間段的預防效果,對醫療系統效率的提高和患者預后改善至關重要。本研究比較了不同β受體阻滯劑在術后1周左右預防POAF的效果,直接Meta分析與網狀Meta分析結果一致。在直接比較中,蘭地洛爾和美托洛爾預防POAF效果優于安慰劑,卡維地洛優于美托洛爾。網狀Meta分析中,多種β受體阻滯劑相比安慰劑均可降低POAF的發生風險,且卡維地洛和蘭地洛爾的效果較好,奈必洛爾的效果較差,這與以往的研究結論一致,表明卡維地洛和蘭地洛爾適合用于預防心臟手術后POAF的產生和惡化[45-50]。
既往有類似主題的網狀Meta分析肯定β受體阻滯劑對POAF的預防效果[51],且在網狀分析中卡維地洛的預防效果最佳,優于蘭地洛爾,與本研究的結論符合。本研究旨在探討不同β受體阻滯劑對心臟手術后POAF的預防效果,若研究中患者使用了任何被認為可能影響β受體阻滯劑藥效的其他抗心律失常藥物,便被排除在研究之外。因此,這樣的試驗設計盡可能地排除了其他藥物對β受體阻滯劑藥效的干擾,從而更好地觀察不同β受體阻滯劑預防POAF的作用。同類研究未嚴格強調排除其他藥物的影響,入組患者中部分或全部服用了其他種類的抗心律失常藥物,同時也將包括鈣通道阻滯劑、胺碘酮等其他種類的干預措施籠統歸為一類納入研究,均可能為研究結果引入偏差。
卡維地洛是一種非選擇性β受體阻滯劑,具有抗炎、抗氧化、降低交感神經活動、減輕外周血管阻力等多種作用,可維持血流動力學穩定,具有良好的抗房顫效果[52-53]。一項回顧性研究[54]表明卡維地洛是多種β受體阻滯劑中副作用發生率最低,副作用嚴重情況也最小的β受體阻滯劑。因此,卡維地洛可能是預防POAF的良好選擇。
蘭地洛爾是一種超短效、選擇性極高的β受體阻滯劑(選擇比225),可發揮抗炎、降低心肌代謝、改善氧供等多種作用,幫助預防心臟術后POAF[55]。由于紅細胞酯酶的分解作用,蘭地洛爾在血液中的半衰期僅為4 min,可在產生目標效應后盡快解除作用,減少心臟手術患者血流動力學的惡化[45-46,56-57]。同時,蘭地洛爾的使用不會誘導停藥反跳作用的產生[58]。蘭地洛爾同時具有降低心肌代謝需求、改善氧供、抑制C反應蛋白增加等多種功能,具有優良的抗房顫效用。在以往一項分析了眾多β受體阻滯劑的網狀Meta分析[59]中,使用蘭地洛爾的患者預防POAF的效果最佳[RR=0.38,95%CI(0.29,0.53)],與我們的研究結果類似。但蘭地洛爾的有效性尚有爭論,Sasaki等[60]的研究表明女性患者、術前未使用ARB患者以及瓣膜手術后患者服用蘭地洛爾可能獲益,但服用蘭地洛爾無法有效預防所有類型心臟手術后POAF的發生。未來應對蘭地洛爾的功效進行更多臨床研究,探究使用蘭地洛爾預防POAF的最佳臨床情景。
網狀Meta分析中,美托洛爾沒有顯示出相對較佳的預防作用,這可能與納入標準在僅允許在術后使用1種β受體阻滯劑有關。美托洛爾是一種選擇性β受體阻滯劑,首過效應較強,口服生物利用度較低,并且由于其選擇性較低,相比選擇性高的β受體阻滯劑更會影響腦的灌注,可能增加腦卒中概率[OR=5.14,95%CI(2.0,13.5)][61-2]。美托洛爾的療效可能存在劑量依賴性,對β1受體的選擇性存在最佳給藥劑量區間,濃度過高時其選擇性則逐漸減弱,這也可能是美托洛爾療效不佳的原因[63]。此外,由于與美托洛爾相關的研究發表時間較早,故美托洛爾在本研究中未顯示出相對較佳的預防作用還可能與不同研究的手術方式、對POAF的定義不同等有關。與美托洛爾相比,蘭地洛爾在抗POAF中存在抗炎和抗氧化的作用。指南建議在POAF風險較高時期應靜脈滴注短效高選擇性β受體阻滯劑,因此基于指南及本研究結果,不推薦在術后單獨應用美托洛爾預防POAF。
本研究分析了6種β受體阻滯劑預防POAF的相對效果,初步證實蘭地洛爾的效果最好,而美托洛爾和奈必洛爾的效果較差。卡維地洛在術后POAF預防方面具有一定優勢,但由于納入研究數目與樣本量較小,證據強度仍需更多高質量研究進一步驗證。本研究有一些局限性:(1)試驗大多在患者體質、手術技術和臨床指南與我國不同的西方國家進行;(2)不同研究間的手術方法、給藥持續時間和給藥劑量不同;(3)其他類型的心臟外科手術相比CABG更少,可能會影響結論在不同心臟手術中的運用;(4)各研究對POAF的定義不同;(5)部分研究納入患者樣本量少,也未明確報告盲法;(6)針對部分藥物的臨床試驗數目過少。因此,應開展更多高質量、多中心、大樣本的隨機對照試驗對分析結論進行驗證,為預防POAF提供更準確的用藥臨床參考。
利益沖突:無。
作者貢獻:余朗軒提出設想、提取數據、分析數據、撰寫初稿、修改論文;譚子祎、李錦妍提取數據、修改論文;王小文、李林俊、張誠、蔣迎九審閱論文;楊河清、林澤宇對本文亦有貢獻。