醫用磁性納米粒子是一種具有超順磁性的納米醫學材料,可以通過血液循環聚集于腫瘤組織內部,并利用磁性粒子成像技術令生物體內的磁性粒子濃度可視化,達到腫瘤成像的目的。基于磁性粒子的非線性磁化特性及磁化頻率特性,本文提出了磁性粒子信號三次諧波的差分檢測方法。通過建模仿真分析,研究交變場下磁性粒子的非線性磁化響應特性以及磁性粒子信號的頻譜特性,同時針對各次諧波與醫用磁性納米粒子樣品量之間的關系進行研究。在此基礎上,搭建信號檢測實驗系統,分析檢測信號的頻譜特性及功率譜密度,研究信號與激勵頻率之間的關系。通過以上方法進行信號檢測實驗,結果表明:在交變激勵場下,醫用磁性納米粒子會產生高于背景場感應信號的尖峰信號,且磁性粒子信號存在于檢測信號頻譜的奇次項諧波中,頻譜能量集中在三次諧波處,可以實現滿足醫用檢測需求的三次諧波磁性粒子信號檢測。各次諧波幅值與粒子樣品量呈正比關系,可根據其關系確定檢測得到的醫用磁性納米粒子樣品量。同時,激勵頻率的選擇受到系統靈敏度的限制,在 1 kHz 的激勵頻率下達到檢測信號三次諧波的檢測峰值。本文提出的磁性粒子信號三次諧波的差分檢測方法為磁性粒子成像研究中的醫用磁性納米粒子成像信號檢測提供了理論及技術支持。
引用本文: 劉洋洋, 柯麗, 杜強, 祖婉妮, 姜策, 張玉錄. 醫用磁性納米粒子非線性磁化諧波信號檢測方法研究. 生物醫學工程學雜志, 2021, 38(1): 56-64. doi: 10.7507/1001-5515.201911010 復制
引言
醫用磁性納米粒子(以下簡稱磁性粒子)是一種具有超順磁性的納米醫學材料,通常為氧化鐵基納米顆粒[1]。磁性粒子通過注射的方式參與生物體內血液循環的過程,易穿透腫瘤血管到達并滯留于腫瘤組織內部,同時由于其飽和磁化強度高、磁穿透性強、生物兼容性好、可進行表面修飾等特點,近年來廣泛應用于靶向藥物[2]、顯像造影[3]等領域。磁性粒子成像技術(magnetic particle imaging,MPI)于 2005 年在 Nature 上首次發表,是一種利用磁性粒子在零磁場中的非線性磁化特性,令生物體內示蹤劑濃度可視化的新型示蹤劑成像技術[4]。由于其高空間分辨率、高時間分辨率、無電離輻射等優點,近年來成為細胞跟蹤[5]、血管造影[6]以及炎癥成像[7]等多領域的研究熱點。MPI 的分辨率及圖像質量取決于在交變激勵磁場下磁性粒子所產生的非線性磁化粒子信號。因此,由磁性粒子固有的非線性磁化特性所產生的磁性粒子信號,及激勵磁場的頻率決定了 MPI 的最終成像效果。
目前,在醫用磁性納米粒子非線性磁化信號檢測方面,Braunschweig 工業大學的 Ludwig 等[8]建立了磁性粒子諧波頻譜的理論模型,利用靜態和動態磁技術進行 MPI 中磁性粒子的綜合表征。Lübeck 大學的 Biederer 等[9]提出了磁化響應光譜法用于測量磁性粒子的諧波頻譜,研究醫用磁性納米粒子的頻譜特性,以及不同的磁性粒子對 MPI 的靈敏度及成像質量的影響。美國 Dartmouth Hitchcock 醫療中心的 Weaver 等[10]在 10 kHz 的基頻下測量了磁性粒子信號的諧波頻譜磁矩。日本 Kyushu 大學的研究團隊[11]提出了一種基于小磁場梯度的高靈敏度三次諧波線型零磁場 MPI 掃描檢測儀,使用兩個檢測線圈檢測磁性粒子產生的三次諧波信號,并對磁性粒子樣品進行機械掃描,獲得磁場三維位置信息圖。日本 Osaka 大學的研究團隊[12]提出了一種用于分析 MPI 中諧波信號的鎖相放大器模型,針對奇次和偶次諧波計算 MPI 信號和與零磁場區域距離之間的關系,并研究了鎖相放大器中低通濾波器的時間常數以及磁性納米粒子粒徑和分布對諧波檢測結果的影響。在國內,華中科技大學的張樸等[13]利用超導量子干涉器件將磁性粒子的微弱磁信號通過線圈轉換成電壓信號輸出。范慧丹[14]利用掃頻信號激勵方式,對不同濃度的磁性粒子樣品進行了交流磁化率的測量實驗,提高了交流磁化率的測量精度。雖然國內外專家學者對于醫用磁性納米粒子在信號檢測方面進行了廣泛的研究,但針對磁性粒子非線性磁化信號的三次諧波頻域特性以及激勵信號的頻率特性還鮮有報道。磁性粒子信號是一個微弱的電信號,隱藏在較大的背景場信號下,而磁性粒子獨特的非線性磁化特性使信號可以通過三次諧波來表征,同時,在交變激勵磁場下產生的磁性粒子信號會受激勵頻率的限制,因此對檢測信號三次諧波以及激勵頻率的分析,是 MPI 中磁性粒子非線性磁化信號檢測研究的關鍵。
本文基于醫用磁性納米粒子的非線性磁化特性及其磁化的頻率特性,提出了磁性粒子檢測信號三次諧波的差分檢測方法。首先針對磁性粒子的非線性磁化特性,建立交流激勵場下的磁性粒子非線性磁化信號檢測實驗系統仿真模型。接著在研究磁性粒子磁化特性的基礎上,對檢測信號進行頻譜分析及處理,研究各次諧波幅值與粒子樣品量之間的關系。搭建檢測實驗系統,進行信號檢測實驗,提取檢測信號中的三次諧波信號,以實現滿足醫用需求的三次諧波磁性粒子信號檢測。
1 醫用磁性納米粒子信號檢測原理與方法
1.1 磁性粒子非線性磁化特性
醫用磁性納米粒子的非線性磁化特性是 MPI 成像的基礎。用于生物體內腫瘤成像的磁性粒子粒徑通常較小使其可以通過代謝排出體外。磁性粒子由具有磁性的磁芯和磁性中性的涂層組成,如果磁性粒子的涂層足夠厚,則顯示出大磁矩的超順磁性,即磁性粒子之間的相互作用可以忽略不計,每個磁性粒子都是單疇。由于布朗運動,磁性粒子的原始磁矩方向是隨機分布的,因此在宏觀尺度上,磁矩 M 的總和為零。當施加外部磁場時,磁性粒子的磁矩方向開始與施加場的方向對齊,從而使磁性粒子產生與施加場同方向的磁化,該磁化 可以寫成:
![]() |
![]() |
其中,為磁性粒子的磁化強度,
為磁化方向。但外部磁場與磁性粒子的磁化強度間的關系不是線性的,而是表現出如圖 1 所示的非線性特征。隨著外部磁場從0開始增加,磁化強度隨之急劇增加。當外部磁場到達一定的場強時,大多數的磁性粒子磁化方向與磁場對齊,粒子磁化達到飽和狀態,再增加磁場強度也不會改變磁性粒子的磁化強度了。

使用如式(3)所示的 Langevin 函數對磁性粒子磁化飽和效應進行建模,該函數是在粒子處于熱平衡假設下定義的。
![]() |
磁性粒子的磁化強度 對外部磁場的依賴性可以描述為:
![]() |
![]() |
其中, 為磁性粒子懸浮液的飽和磁化強度,與磁性粒子濃度和磁矩相關,H 為外部磁場強度,μ0 為真空磁導率,
為磁性粒子的粒徑,
為磁性粒子磁芯的飽和磁化強度,
為波爾茲曼常數,
為絕對溫度。
磁性粒子磁化所產生的感應信號的信噪比與磁化曲線的斜率有關。磁場強度較大時,磁性粒子出現磁化飽和狀態,僅當背景磁場的磁場強度在未飽和區域內時,磁性粒子可以對外加的交變磁場產生響應,即磁性粒子發出特征信號。利用外界的檢測線圈接收磁性粒子信號,通過感應電壓表征,提取磁性粒子的頻率信號就可以進行 MPI 圖像重建,令生物體內的醫用磁性納米粒子濃度可視化。因此,對磁性粒子頻率信號的提取至關重要。
1.2 磁性粒子的頻率特性
通常在生物體的檢測成像中,檢測信號包含了磁性粒子信號和背景場信號,為了將磁性粒子信號分離出來,分析頻域中的不同諧波信號。由于背景信號和磁性粒子信號具有周期性,這些信號可以擴展為如式(6)所示的傅里葉級數,由各級諧波組成:
![]() |
根據磁性粒子磁化與外部磁場之間的非線性關系可知,激勵信號僅在基頻處顯示為單個峰值,而磁性粒子信號隱藏在高次諧波中。利用 Langevin 函數的泰勒級數來描述非線性磁化曲線的高次諧波,由于 Langevin 函數的所有偶次導數在 處具有過零點,該點處的泰勒級數展開丟失偶數諧波。因此,Langevin 函數的泰勒級數表示為:
![]() |
同時磁性粒子處于正弦激勵磁場 的激勵下,因此泰勒級數可以寫為:
![]() |
使用三倍角公式進行展開,可以得到泰勒級數為:
![]() |
因此磁性粒子在接收線圈中的感應信號僅隱藏在奇次諧波中。本文通過對檢測到的磁性粒子信號三次諧波進行分離提取,來表征背景場中隱藏的微弱磁性粒子非線性磁化信號。
1.3 磁性粒子信號檢測方法
醫用磁性納米粒子的信號檢測方法需滿足如下條件:第一,磁性粒子在幅值足夠大的交變磁場中,才能產生形成完整的非線性磁化過程,即激勵場幅值能夠使磁性粒子磁化飽和;第二,為了得到磁性粒子的磁化信號,需要測量其磁通密度變化,由接收線圈中的感應電壓表征;第三,施加的磁場需在人體使用安全范圍內,同時避免局部產生熱效應;第四,在激勵及檢測方式上,需滿足人體組織深處檢測需求;第五,由于所設計的檢測方法用于醫用領域,因此整個過程應避免多次信號檢測,在檢測方法上需實現單次檢測的背景場預濾除。因此,本文采用互感電橋的測量原理,檢測方式如圖 2 所示,由外層激勵線圈提供交變磁場,內層一對差分線圈 A、B 在有效提取磁性粒子微弱信號的同時消除共模干擾,去除背景場信號。兩差分線圈的檢測電壓信號通過差分放大電路,得到磁性粒子信號并對其進行諧波信號提取,即可得到磁性粒子在交變磁場下的非線性磁化信號。

如圖 2 所示,A、B 線圈為內層的差分線圈,差分線圈同向繞制、尾端接地,用來感應磁場的變化,產生感應電動勢。A、B 線圈在繞制工藝、結構大小以及擺放位置上盡可能相同,使線圈生成的感應電動勢一致。外層激勵線圈施加的磁場為 ,根據法拉第電磁感應定律的積分形式,線圈 A 接收的空場電壓為:
![]() |
此時,當線圈 B 中包含醫用磁性納米粒子樣品時,線圈 B 接收的磁場為磁性粒子磁化磁場 及背景場
的和,即:
![]() |
磁性粒子的磁化強度變化是通過 的時間導數來檢測的,因此線圈 B 上的感應電壓可以用式(12)表示。
![]() |
所以,磁性粒子信號 即為通過增益電阻為
的差分放大電路后得到的兩檢測線圈 A、B 的差分信號:
![]() |
從式(12)和式(13)中可以看出,檢測線圈 A、B 的差分放大輸出信號,就可以得到磁性粒子的非線性磁化信號。但在信號檢測實驗中,檢測信號包含磁性粒子信號及兩接收線圈不完全對稱帶來的基礎背景噪聲,還需要提取三次諧波來表征磁性粒子信號的幅值。
2 醫用磁性納米粒子信號檢測系統的仿真計算
2.1 信號檢測系統仿真建模方法
對上文所采用的信號檢測系統進行仿真計算,在材料中預先定義磁性粒子的非線性磁化特性,添加磁性粒子材料 B-H 曲線,其中磁性粒子粒徑為 30 nm,飽和磁場強度為 7 000 A/m,線圈組各項參數見表 1。

2.2 磁性粒子磁化特性分析
檢測系統三維磁場分布仿真結果如圖 3 所示,在激勵電流為 2 A、1 kHz 的條件下,產生均勻穩定的交變磁場,中心磁場為 11.7 mT,軸線邊緣磁場為 7.7 mT,可以為醫用磁性納米粒子提供足夠磁化飽和的背景磁場。從圖 4 的檢測系統檢測線圈 yz 截面及磁性粒子磁場分布仿真結果可以看出,磁性粒子在背景場中產生感應磁場,線圈 B 內放置了磁性粒子,因此線圈 B 上的磁感應強度大于線圈 A。


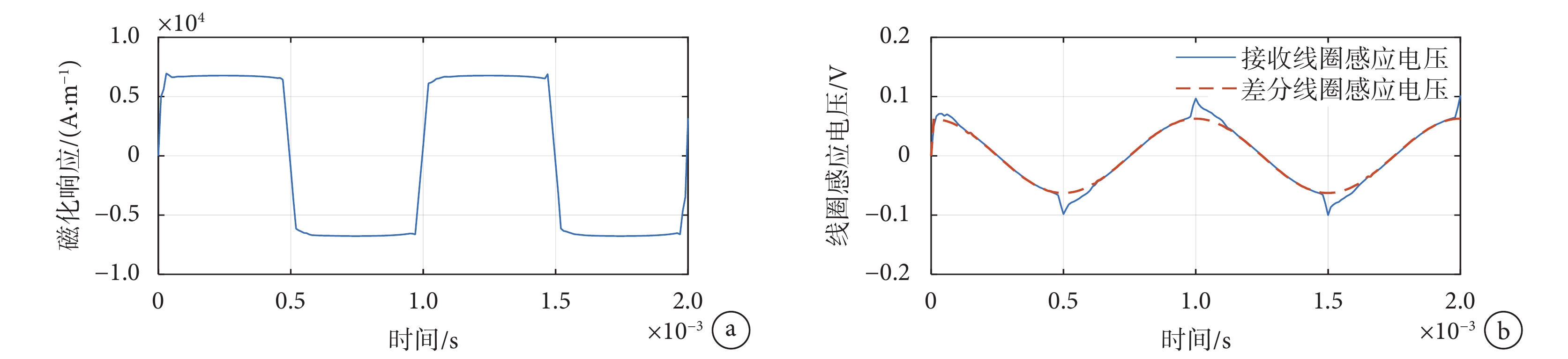
磁性粒子的非線性磁化特性可以通過交流激勵場下的磁化響應來表征,如圖 5 所示為磁性粒子磁化信號仿真結果。

a. 磁化響應;b. 接收線圈及差分線圈感應電壓
Figure5. Magnetic particle signal simulation resultsa. magnetization response; b. receive coil and differential coil induced voltage
在圖 5a 中,磁性粒子的磁化方向隨著交變背景磁場方向的翻轉而翻轉,其信號周期及磁化方向與背景場信號一致。同時由于磁性粒子磁化的非線性飽和特性,磁化響應呈現出類似方波的波形信號。如圖 5b 所示為仿真得到的線圈 AB 檢測信號及其差分信號,可以清晰地看到,差分線圈 A 接收的背景場信號為余弦信號,而接收線圈 B 由于磁性粒子的非線性磁化響應,接收信號在尖峰的位置增大。
2.3 磁性粒子信號頻譜分析
檢測信號的頻率信號可以清晰地表現出其中隱藏的磁性粒子信號。為了證明磁性粒子信號存在于三次諧波中,首先對接收線圈感應電壓信號進行頻譜分析。如圖 6a 所示為接收信號的感應電壓值,其中接收線圈中包含幅值較大的正弦背景場信號以及尖峰狀的微弱磁性粒子信號。對磁性粒子信號進行頻譜分析,可以看到基頻處的信號幅值最大,但同時三次諧波的幅值也大于除基頻之外其他頻率的幅值,顯示出背景磁場信號與粒子信號的疊加效應。

a. 接收信號及其頻譜圖;b. 差分信號及其頻譜圖;c. 濾波磁性粒子信號及其頻譜圖
Figure6. Spectrum analysis of magnetic particle signalsa. received signal and its spectrogram; b. differential signal and its spectrogram; c. filtered magnetic particle signal and its spectrogram
接著,提取兩線圈的差分電壓信號,即直接獲得的磁性粒子信號,對差分電壓信號進行頻譜分析。如圖 6b 所示,此時可以很清晰地看到,在頻率幅度圖中奇次諧波的幅值都遠高于偶次諧波。但是在該信號中,基頻處的幅值較大,背景場沒有被完全濾除,這是由于有限元剖分的不對稱性等外在因素,使兩接收線圈的感應電壓不可能完全理想地相同,這也是頻譜中存在部分低幅值偶次諧波的原因。為了去除高幅值背景磁場信號的干擾,本文對差分后的磁性粒子感應電壓再進行帶阻濾波,去除基頻部分后高次諧波粒子信號如圖 6c 所示,該信號即為濾除背景場信號及線圈的背景噪聲信號后,用于表征磁性粒子的高次諧波信號,其中三次諧波的幅值最大。
2.4 諧波幅值與磁性納米粒子樣品量的關系
在 MPI 的應用當中,測量的磁性粒子信號是通過粒子在體內不同部位聚集的量所體現的,以顯示出炎癥或腫瘤的體積大小。因此,為了深入研究各奇次諧波幅值與磁性粒子信號之間的關系,本文對于各奇次諧波幅值與磁性納米粒子樣品量之間的關系進行研究分析。
不同醫用磁性納米粒子樣品量的 3 次、5 次、7 次、9 次諧波的多次測量結果如圖 7 所示,其中采樣的樣品量為 0.05~0.20 mL,每 0.01 mL 測量一次檢測信號的諧波幅值。可以清晰地看到,各次諧波的幅值隨著諧波分解次數依次減小,但隨著樣品量的增加,各次諧波的幅值呈上升趨勢。

其中,三次諧波的變化幅度最大,顯示出的不同樣品量間的變化更大。因此,建立三次諧波幅值 Us 與磁性納米粒子樣品量 之間的線型擬合關系,關系如式(14)所示:
![]() |
在 MPI 的成像過程中,其特定的掃描方式使激勵信號穩定地集中于被選擇的粒子周圍,即每個粒子接收到的激勵信號是相同的,因此可以根據式(14)中的諧波幅值與樣品量間的關系,實現利用三次諧波幅值的醫用磁性納米粒子樣品定量檢測。
3 醫用磁性納米粒子信號的檢測與分析
3.1 磁性粒子信號檢測實驗系統
根據磁性粒子信號檢測的原理搭建檢測實驗系統,系統流程框架圖如圖 8 所示。

由計算機控制信號發生器輸出穩定的正弦信號波形。由于激勵線圈產生的磁場幅值與通過線圈的電流呈正比,要使激勵磁場能夠讓磁性粒子飽和,就相應需要足夠大的激勵電流。信號經功率放大器輸出足夠幅值的激勵電流,驅動激勵線圈產生激勵磁場。此時位于磁場中的醫用磁性納米粒子將會隨之產生磁化響應,使用接收線圈接收到磁化響應的感應電信號。
搭建的檢測實驗系統如圖 9a 所示。接收到的信號通過利用 Labview 搭建的計算機信號分析平臺進行預處理分析,分析平臺如圖 9b 所示,可以直觀地顯示出原始信號的波形、信號頻譜圖以及濾波后的信號等粒子信息,便于在實驗過程中直接對頻域數據進行觀察及調整。

a. 硬件實驗系統;b. 信號分析平臺
Figure9. Detection experimental system of magnetic particle nonlinear magnetization signala. hardware experiment system; b. signal analysis platform
由于接收線圈中采集到的磁性粒子所產生的磁化信號是一個微弱的電信號,并且帶有很強的背景噪聲,如果直接采集該信號,測量精度較低。因此,本文首先利用差分線圈盡可能地接收與接收線圈相同的背景場信號,接著通過差分放大器得到磁性粒子信號。而且檢測到的信號中還存在著由于差分線圈和接收線圈在實際搭建過程中不完全一致帶來的基礎背景噪聲,因此對檢測到的信號需要進行進一步的處理。
3.2 檢測信號頻譜分析
利用該信號檢測實驗系統對醫用磁性納米粒子懸浮液進行測量實驗。首先測量各頻率下的空場差分信號,確定基礎背景場噪聲。接著在接收線圈內注入 0.1 mL、鐵濃度為 1 mol/L 的醫用磁性納米粒子懸浮液,測量各頻率下的磁性粒子差分信號。最后對測量得到的結果進行基礎背景場噪聲的誤差補償及磁性粒子信號分離,并對信號的三次諧波幅值進行提取計算。在數據處理分析的過程中,首先對測量得到的信號進行預處理,去除由系統溫度等外界因素帶來的基線漂移誤差,接著對信號的毛刺噪聲進行低通濾波處理,最后對信號進行頻譜分析。包含磁性粒子信號的檢測信號頻譜圖及功率譜密度如圖 10 所示。

a. 檢測信號頻譜;b. 檢測信號功率譜密度;c. 磁性粒子信號頻譜;d. 磁性粒子信號功率譜密度
Figure10. Frequency amplitude map and spectrum energy of the detected signala. detection signal spectrum; b. detection signal power spectral density; c. magnetic particle signal spectrum; d. magnetic particle signal power spectral density
在 1 kHz 的激勵頻率下,由于線圈分布的不完全對稱性,在圖 10a 中可以看到,檢測信號基頻的幅度值較大,且在圖 10b 中也可以清晰地看到功率譜密度基本集中在基頻處。當基頻部分被濾除后,如圖 10c 所示,粒子信號中三次諧波的幅度值最大,且在圖 10d 的磁性粒子信號功率譜密度圖中也可以看到,頻譜能量基本集中在三次諧波處。相較于空場狀態,磁性粒子信號的三次諧波功率密度增加,證明了磁性粒子的存在。磁性粒子信號存在于三次諧波中的結論與仿真結果相同,且頻譜特征趨勢一致。分析激勵頻率對磁性粒子信號的影響,通過對信號進行帶通濾波,提取其三次諧波信號,磁性粒子信號三次諧波幅值與激勵頻率的關系如圖 11 所示。

在信號檢測實驗中,磁性粒子信號的三次諧波幅值在 1 kHz 處達到檢測峰值。與仿真信號相比,峰值所在的頻率變小,是由于檢測系統的靈敏度與激勵頻率有關,同時受到系統及磁性粒子溫度等外界因素對信號的影響,在磁性粒子非線性磁化信號測量中,激勵頻率的選擇受到限制。因此,在 MPI 的過程中,利用檢測信號的三次諧波即可對生物體進行磁性粒子濃度成像,且系統的激勵頻率可以以 1 kHz 為標準,結合成像系統參數進行選擇,達到最佳的成像效果。
4 討論與結論
對醫用磁性納米粒子的非線性磁化信號檢測的研究是 MPI 的基礎,目的是令滯留于生物體內腫瘤組織的已知磁特性的醫用磁性納米粒子分布可視化,進而實現生物體三維斷層磁性粒子腫瘤成像。醫用磁性納米粒子通過靜脈注射的方式注入到生物體內,參與體內血液循環的過程。在一定循環時間后,大部分的磁性粒子迅速從血液循環中隔離,但循環吞噬細胞也能在血液中捕獲少量的磁性納米粒子,同時磁性粒子易穿透腫瘤血管到達并滯留于腫瘤組織內部。當身體發生異常情況時,醫用磁性納米粒子與正常情況下的濃度分布不同,由此可以檢測出身體的異常部位,實現對生物體病灶情況的可視化。
在 MPI 中,成像的信號來源即為磁性粒子的非線性磁化信號[15],同時由于微弱的磁性粒子信號隱藏在大的背景場信號中,造成了實際檢測過程中信號分離的困難。而激勵頻率的不同對磁性粒子信號也會造成一定的影響,因此對醫用磁性納米粒子信號的檢測、分離、表征是 MPI 進一步應用于臨床檢測的研究關鍵。
醫用磁性納米粒子的非線性磁化信號存在于檢測信號的高次奇諧波中。由于檢測信號包含了較大的背景場信號及微弱的磁性粒子信號,因此采用分離三次諧波的方法來表征背景場中的磁性粒子信號。針對 MPI 中的醫用磁性納米粒子信號檢測問題,本文采用互感電橋的測量原理設計了磁性粒子非線性磁化信號檢測實驗系統,由外層激勵線圈提供交變磁場,內層一對差分線圈在有效提取磁性粒子微小信號的同時消除共模干擾,去除背景場信號。在交變磁場的激勵下,磁性粒子會產生高于背景感應信號的尖峰信號,在濾除背景場影響后,三次諧波幅值最大。
在上述理論基礎上,本文提出了磁性粒子檢測信號三次諧波的差分檢測方法,設計實現了磁性粒子的三次諧波檢測,通過仿真計算及實驗檢測兩種方法均可以檢測到包含在背景場信號中的磁性粒子三次諧波信號,證明了磁性粒子信號存在于檢測信號的三次諧波中,滿足醫用檢測的各項需求,可實現醫用磁性納米粒子在生物體成像方面的檢測應用。而且,3、5、7、9 次諧波幅值與粒子樣品量呈正比,可根據其關系確定檢測得到的醫用磁性納米粒子樣品量。同時,該檢測系統在 1 kHz 激勵頻率下得到磁性粒子信號三次諧波的檢測峰值。因此,本文提出的磁性粒子檢測信號三次諧波的差分檢測方法為 MPI 信號的檢測提供了理論及技術支持,同時為進一步利用 MPI 技術進行醫用生物體內成像提供了信號檢測方法,奠定了成像基礎。
利益沖突聲明:本文全體作者均聲明不存在利益沖突。
引言
醫用磁性納米粒子(以下簡稱磁性粒子)是一種具有超順磁性的納米醫學材料,通常為氧化鐵基納米顆粒[1]。磁性粒子通過注射的方式參與生物體內血液循環的過程,易穿透腫瘤血管到達并滯留于腫瘤組織內部,同時由于其飽和磁化強度高、磁穿透性強、生物兼容性好、可進行表面修飾等特點,近年來廣泛應用于靶向藥物[2]、顯像造影[3]等領域。磁性粒子成像技術(magnetic particle imaging,MPI)于 2005 年在 Nature 上首次發表,是一種利用磁性粒子在零磁場中的非線性磁化特性,令生物體內示蹤劑濃度可視化的新型示蹤劑成像技術[4]。由于其高空間分辨率、高時間分辨率、無電離輻射等優點,近年來成為細胞跟蹤[5]、血管造影[6]以及炎癥成像[7]等多領域的研究熱點。MPI 的分辨率及圖像質量取決于在交變激勵磁場下磁性粒子所產生的非線性磁化粒子信號。因此,由磁性粒子固有的非線性磁化特性所產生的磁性粒子信號,及激勵磁場的頻率決定了 MPI 的最終成像效果。
目前,在醫用磁性納米粒子非線性磁化信號檢測方面,Braunschweig 工業大學的 Ludwig 等[8]建立了磁性粒子諧波頻譜的理論模型,利用靜態和動態磁技術進行 MPI 中磁性粒子的綜合表征。Lübeck 大學的 Biederer 等[9]提出了磁化響應光譜法用于測量磁性粒子的諧波頻譜,研究醫用磁性納米粒子的頻譜特性,以及不同的磁性粒子對 MPI 的靈敏度及成像質量的影響。美國 Dartmouth Hitchcock 醫療中心的 Weaver 等[10]在 10 kHz 的基頻下測量了磁性粒子信號的諧波頻譜磁矩。日本 Kyushu 大學的研究團隊[11]提出了一種基于小磁場梯度的高靈敏度三次諧波線型零磁場 MPI 掃描檢測儀,使用兩個檢測線圈檢測磁性粒子產生的三次諧波信號,并對磁性粒子樣品進行機械掃描,獲得磁場三維位置信息圖。日本 Osaka 大學的研究團隊[12]提出了一種用于分析 MPI 中諧波信號的鎖相放大器模型,針對奇次和偶次諧波計算 MPI 信號和與零磁場區域距離之間的關系,并研究了鎖相放大器中低通濾波器的時間常數以及磁性納米粒子粒徑和分布對諧波檢測結果的影響。在國內,華中科技大學的張樸等[13]利用超導量子干涉器件將磁性粒子的微弱磁信號通過線圈轉換成電壓信號輸出。范慧丹[14]利用掃頻信號激勵方式,對不同濃度的磁性粒子樣品進行了交流磁化率的測量實驗,提高了交流磁化率的測量精度。雖然國內外專家學者對于醫用磁性納米粒子在信號檢測方面進行了廣泛的研究,但針對磁性粒子非線性磁化信號的三次諧波頻域特性以及激勵信號的頻率特性還鮮有報道。磁性粒子信號是一個微弱的電信號,隱藏在較大的背景場信號下,而磁性粒子獨特的非線性磁化特性使信號可以通過三次諧波來表征,同時,在交變激勵磁場下產生的磁性粒子信號會受激勵頻率的限制,因此對檢測信號三次諧波以及激勵頻率的分析,是 MPI 中磁性粒子非線性磁化信號檢測研究的關鍵。
本文基于醫用磁性納米粒子的非線性磁化特性及其磁化的頻率特性,提出了磁性粒子檢測信號三次諧波的差分檢測方法。首先針對磁性粒子的非線性磁化特性,建立交流激勵場下的磁性粒子非線性磁化信號檢測實驗系統仿真模型。接著在研究磁性粒子磁化特性的基礎上,對檢測信號進行頻譜分析及處理,研究各次諧波幅值與粒子樣品量之間的關系。搭建檢測實驗系統,進行信號檢測實驗,提取檢測信號中的三次諧波信號,以實現滿足醫用需求的三次諧波磁性粒子信號檢測。
1 醫用磁性納米粒子信號檢測原理與方法
1.1 磁性粒子非線性磁化特性
醫用磁性納米粒子的非線性磁化特性是 MPI 成像的基礎。用于生物體內腫瘤成像的磁性粒子粒徑通常較小使其可以通過代謝排出體外。磁性粒子由具有磁性的磁芯和磁性中性的涂層組成,如果磁性粒子的涂層足夠厚,則顯示出大磁矩的超順磁性,即磁性粒子之間的相互作用可以忽略不計,每個磁性粒子都是單疇。由于布朗運動,磁性粒子的原始磁矩方向是隨機分布的,因此在宏觀尺度上,磁矩 M 的總和為零。當施加外部磁場時,磁性粒子的磁矩方向開始與施加場的方向對齊,從而使磁性粒子產生與施加場同方向的磁化,該磁化 可以寫成:
![]() |
![]() |
其中,為磁性粒子的磁化強度,
為磁化方向。但外部磁場與磁性粒子的磁化強度間的關系不是線性的,而是表現出如圖 1 所示的非線性特征。隨著外部磁場從0開始增加,磁化強度隨之急劇增加。當外部磁場到達一定的場強時,大多數的磁性粒子磁化方向與磁場對齊,粒子磁化達到飽和狀態,再增加磁場強度也不會改變磁性粒子的磁化強度了。

使用如式(3)所示的 Langevin 函數對磁性粒子磁化飽和效應進行建模,該函數是在粒子處于熱平衡假設下定義的。
![]() |
磁性粒子的磁化強度 對外部磁場的依賴性可以描述為:
![]() |
![]() |
其中, 為磁性粒子懸浮液的飽和磁化強度,與磁性粒子濃度和磁矩相關,H 為外部磁場強度,μ0 為真空磁導率,
為磁性粒子的粒徑,
為磁性粒子磁芯的飽和磁化強度,
為波爾茲曼常數,
為絕對溫度。
磁性粒子磁化所產生的感應信號的信噪比與磁化曲線的斜率有關。磁場強度較大時,磁性粒子出現磁化飽和狀態,僅當背景磁場的磁場強度在未飽和區域內時,磁性粒子可以對外加的交變磁場產生響應,即磁性粒子發出特征信號。利用外界的檢測線圈接收磁性粒子信號,通過感應電壓表征,提取磁性粒子的頻率信號就可以進行 MPI 圖像重建,令生物體內的醫用磁性納米粒子濃度可視化。因此,對磁性粒子頻率信號的提取至關重要。
1.2 磁性粒子的頻率特性
通常在生物體的檢測成像中,檢測信號包含了磁性粒子信號和背景場信號,為了將磁性粒子信號分離出來,分析頻域中的不同諧波信號。由于背景信號和磁性粒子信號具有周期性,這些信號可以擴展為如式(6)所示的傅里葉級數,由各級諧波組成:
![]() |
根據磁性粒子磁化與外部磁場之間的非線性關系可知,激勵信號僅在基頻處顯示為單個峰值,而磁性粒子信號隱藏在高次諧波中。利用 Langevin 函數的泰勒級數來描述非線性磁化曲線的高次諧波,由于 Langevin 函數的所有偶次導數在 處具有過零點,該點處的泰勒級數展開丟失偶數諧波。因此,Langevin 函數的泰勒級數表示為:
![]() |
同時磁性粒子處于正弦激勵磁場 的激勵下,因此泰勒級數可以寫為:
![]() |
使用三倍角公式進行展開,可以得到泰勒級數為:
![]() |
因此磁性粒子在接收線圈中的感應信號僅隱藏在奇次諧波中。本文通過對檢測到的磁性粒子信號三次諧波進行分離提取,來表征背景場中隱藏的微弱磁性粒子非線性磁化信號。
1.3 磁性粒子信號檢測方法
醫用磁性納米粒子的信號檢測方法需滿足如下條件:第一,磁性粒子在幅值足夠大的交變磁場中,才能產生形成完整的非線性磁化過程,即激勵場幅值能夠使磁性粒子磁化飽和;第二,為了得到磁性粒子的磁化信號,需要測量其磁通密度變化,由接收線圈中的感應電壓表征;第三,施加的磁場需在人體使用安全范圍內,同時避免局部產生熱效應;第四,在激勵及檢測方式上,需滿足人體組織深處檢測需求;第五,由于所設計的檢測方法用于醫用領域,因此整個過程應避免多次信號檢測,在檢測方法上需實現單次檢測的背景場預濾除。因此,本文采用互感電橋的測量原理,檢測方式如圖 2 所示,由外層激勵線圈提供交變磁場,內層一對差分線圈 A、B 在有效提取磁性粒子微弱信號的同時消除共模干擾,去除背景場信號。兩差分線圈的檢測電壓信號通過差分放大電路,得到磁性粒子信號并對其進行諧波信號提取,即可得到磁性粒子在交變磁場下的非線性磁化信號。

如圖 2 所示,A、B 線圈為內層的差分線圈,差分線圈同向繞制、尾端接地,用來感應磁場的變化,產生感應電動勢。A、B 線圈在繞制工藝、結構大小以及擺放位置上盡可能相同,使線圈生成的感應電動勢一致。外層激勵線圈施加的磁場為 ,根據法拉第電磁感應定律的積分形式,線圈 A 接收的空場電壓為:
![]() |
此時,當線圈 B 中包含醫用磁性納米粒子樣品時,線圈 B 接收的磁場為磁性粒子磁化磁場 及背景場
的和,即:
![]() |
磁性粒子的磁化強度變化是通過 的時間導數來檢測的,因此線圈 B 上的感應電壓可以用式(12)表示。
![]() |
所以,磁性粒子信號 即為通過增益電阻為
的差分放大電路后得到的兩檢測線圈 A、B 的差分信號:
![]() |
從式(12)和式(13)中可以看出,檢測線圈 A、B 的差分放大輸出信號,就可以得到磁性粒子的非線性磁化信號。但在信號檢測實驗中,檢測信號包含磁性粒子信號及兩接收線圈不完全對稱帶來的基礎背景噪聲,還需要提取三次諧波來表征磁性粒子信號的幅值。
2 醫用磁性納米粒子信號檢測系統的仿真計算
2.1 信號檢測系統仿真建模方法
對上文所采用的信號檢測系統進行仿真計算,在材料中預先定義磁性粒子的非線性磁化特性,添加磁性粒子材料 B-H 曲線,其中磁性粒子粒徑為 30 nm,飽和磁場強度為 7 000 A/m,線圈組各項參數見表 1。

2.2 磁性粒子磁化特性分析
檢測系統三維磁場分布仿真結果如圖 3 所示,在激勵電流為 2 A、1 kHz 的條件下,產生均勻穩定的交變磁場,中心磁場為 11.7 mT,軸線邊緣磁場為 7.7 mT,可以為醫用磁性納米粒子提供足夠磁化飽和的背景磁場。從圖 4 的檢測系統檢測線圈 yz 截面及磁性粒子磁場分布仿真結果可以看出,磁性粒子在背景場中產生感應磁場,線圈 B 內放置了磁性粒子,因此線圈 B 上的磁感應強度大于線圈 A。


磁性粒子的非線性磁化特性可以通過交流激勵場下的磁化響應來表征,如圖 5 所示為磁性粒子磁化信號仿真結果。

a. 磁化響應;b. 接收線圈及差分線圈感應電壓
Figure5. Magnetic particle signal simulation resultsa. magnetization response; b. receive coil and differential coil induced voltage
在圖 5a 中,磁性粒子的磁化方向隨著交變背景磁場方向的翻轉而翻轉,其信號周期及磁化方向與背景場信號一致。同時由于磁性粒子磁化的非線性飽和特性,磁化響應呈現出類似方波的波形信號。如圖 5b 所示為仿真得到的線圈 AB 檢測信號及其差分信號,可以清晰地看到,差分線圈 A 接收的背景場信號為余弦信號,而接收線圈 B 由于磁性粒子的非線性磁化響應,接收信號在尖峰的位置增大。
2.3 磁性粒子信號頻譜分析
檢測信號的頻率信號可以清晰地表現出其中隱藏的磁性粒子信號。為了證明磁性粒子信號存在于三次諧波中,首先對接收線圈感應電壓信號進行頻譜分析。如圖 6a 所示為接收信號的感應電壓值,其中接收線圈中包含幅值較大的正弦背景場信號以及尖峰狀的微弱磁性粒子信號。對磁性粒子信號進行頻譜分析,可以看到基頻處的信號幅值最大,但同時三次諧波的幅值也大于除基頻之外其他頻率的幅值,顯示出背景磁場信號與粒子信號的疊加效應。

a. 接收信號及其頻譜圖;b. 差分信號及其頻譜圖;c. 濾波磁性粒子信號及其頻譜圖
Figure6. Spectrum analysis of magnetic particle signalsa. received signal and its spectrogram; b. differential signal and its spectrogram; c. filtered magnetic particle signal and its spectrogram
接著,提取兩線圈的差分電壓信號,即直接獲得的磁性粒子信號,對差分電壓信號進行頻譜分析。如圖 6b 所示,此時可以很清晰地看到,在頻率幅度圖中奇次諧波的幅值都遠高于偶次諧波。但是在該信號中,基頻處的幅值較大,背景場沒有被完全濾除,這是由于有限元剖分的不對稱性等外在因素,使兩接收線圈的感應電壓不可能完全理想地相同,這也是頻譜中存在部分低幅值偶次諧波的原因。為了去除高幅值背景磁場信號的干擾,本文對差分后的磁性粒子感應電壓再進行帶阻濾波,去除基頻部分后高次諧波粒子信號如圖 6c 所示,該信號即為濾除背景場信號及線圈的背景噪聲信號后,用于表征磁性粒子的高次諧波信號,其中三次諧波的幅值最大。
2.4 諧波幅值與磁性納米粒子樣品量的關系
在 MPI 的應用當中,測量的磁性粒子信號是通過粒子在體內不同部位聚集的量所體現的,以顯示出炎癥或腫瘤的體積大小。因此,為了深入研究各奇次諧波幅值與磁性粒子信號之間的關系,本文對于各奇次諧波幅值與磁性納米粒子樣品量之間的關系進行研究分析。
不同醫用磁性納米粒子樣品量的 3 次、5 次、7 次、9 次諧波的多次測量結果如圖 7 所示,其中采樣的樣品量為 0.05~0.20 mL,每 0.01 mL 測量一次檢測信號的諧波幅值。可以清晰地看到,各次諧波的幅值隨著諧波分解次數依次減小,但隨著樣品量的增加,各次諧波的幅值呈上升趨勢。

其中,三次諧波的變化幅度最大,顯示出的不同樣品量間的變化更大。因此,建立三次諧波幅值 Us 與磁性納米粒子樣品量 之間的線型擬合關系,關系如式(14)所示:
![]() |
在 MPI 的成像過程中,其特定的掃描方式使激勵信號穩定地集中于被選擇的粒子周圍,即每個粒子接收到的激勵信號是相同的,因此可以根據式(14)中的諧波幅值與樣品量間的關系,實現利用三次諧波幅值的醫用磁性納米粒子樣品定量檢測。
3 醫用磁性納米粒子信號的檢測與分析
3.1 磁性粒子信號檢測實驗系統
根據磁性粒子信號檢測的原理搭建檢測實驗系統,系統流程框架圖如圖 8 所示。

由計算機控制信號發生器輸出穩定的正弦信號波形。由于激勵線圈產生的磁場幅值與通過線圈的電流呈正比,要使激勵磁場能夠讓磁性粒子飽和,就相應需要足夠大的激勵電流。信號經功率放大器輸出足夠幅值的激勵電流,驅動激勵線圈產生激勵磁場。此時位于磁場中的醫用磁性納米粒子將會隨之產生磁化響應,使用接收線圈接收到磁化響應的感應電信號。
搭建的檢測實驗系統如圖 9a 所示。接收到的信號通過利用 Labview 搭建的計算機信號分析平臺進行預處理分析,分析平臺如圖 9b 所示,可以直觀地顯示出原始信號的波形、信號頻譜圖以及濾波后的信號等粒子信息,便于在實驗過程中直接對頻域數據進行觀察及調整。

a. 硬件實驗系統;b. 信號分析平臺
Figure9. Detection experimental system of magnetic particle nonlinear magnetization signala. hardware experiment system; b. signal analysis platform
由于接收線圈中采集到的磁性粒子所產生的磁化信號是一個微弱的電信號,并且帶有很強的背景噪聲,如果直接采集該信號,測量精度較低。因此,本文首先利用差分線圈盡可能地接收與接收線圈相同的背景場信號,接著通過差分放大器得到磁性粒子信號。而且檢測到的信號中還存在著由于差分線圈和接收線圈在實際搭建過程中不完全一致帶來的基礎背景噪聲,因此對檢測到的信號需要進行進一步的處理。
3.2 檢測信號頻譜分析
利用該信號檢測實驗系統對醫用磁性納米粒子懸浮液進行測量實驗。首先測量各頻率下的空場差分信號,確定基礎背景場噪聲。接著在接收線圈內注入 0.1 mL、鐵濃度為 1 mol/L 的醫用磁性納米粒子懸浮液,測量各頻率下的磁性粒子差分信號。最后對測量得到的結果進行基礎背景場噪聲的誤差補償及磁性粒子信號分離,并對信號的三次諧波幅值進行提取計算。在數據處理分析的過程中,首先對測量得到的信號進行預處理,去除由系統溫度等外界因素帶來的基線漂移誤差,接著對信號的毛刺噪聲進行低通濾波處理,最后對信號進行頻譜分析。包含磁性粒子信號的檢測信號頻譜圖及功率譜密度如圖 10 所示。

a. 檢測信號頻譜;b. 檢測信號功率譜密度;c. 磁性粒子信號頻譜;d. 磁性粒子信號功率譜密度
Figure10. Frequency amplitude map and spectrum energy of the detected signala. detection signal spectrum; b. detection signal power spectral density; c. magnetic particle signal spectrum; d. magnetic particle signal power spectral density
在 1 kHz 的激勵頻率下,由于線圈分布的不完全對稱性,在圖 10a 中可以看到,檢測信號基頻的幅度值較大,且在圖 10b 中也可以清晰地看到功率譜密度基本集中在基頻處。當基頻部分被濾除后,如圖 10c 所示,粒子信號中三次諧波的幅度值最大,且在圖 10d 的磁性粒子信號功率譜密度圖中也可以看到,頻譜能量基本集中在三次諧波處。相較于空場狀態,磁性粒子信號的三次諧波功率密度增加,證明了磁性粒子的存在。磁性粒子信號存在于三次諧波中的結論與仿真結果相同,且頻譜特征趨勢一致。分析激勵頻率對磁性粒子信號的影響,通過對信號進行帶通濾波,提取其三次諧波信號,磁性粒子信號三次諧波幅值與激勵頻率的關系如圖 11 所示。

在信號檢測實驗中,磁性粒子信號的三次諧波幅值在 1 kHz 處達到檢測峰值。與仿真信號相比,峰值所在的頻率變小,是由于檢測系統的靈敏度與激勵頻率有關,同時受到系統及磁性粒子溫度等外界因素對信號的影響,在磁性粒子非線性磁化信號測量中,激勵頻率的選擇受到限制。因此,在 MPI 的過程中,利用檢測信號的三次諧波即可對生物體進行磁性粒子濃度成像,且系統的激勵頻率可以以 1 kHz 為標準,結合成像系統參數進行選擇,達到最佳的成像效果。
4 討論與結論
對醫用磁性納米粒子的非線性磁化信號檢測的研究是 MPI 的基礎,目的是令滯留于生物體內腫瘤組織的已知磁特性的醫用磁性納米粒子分布可視化,進而實現生物體三維斷層磁性粒子腫瘤成像。醫用磁性納米粒子通過靜脈注射的方式注入到生物體內,參與體內血液循環的過程。在一定循環時間后,大部分的磁性粒子迅速從血液循環中隔離,但循環吞噬細胞也能在血液中捕獲少量的磁性納米粒子,同時磁性粒子易穿透腫瘤血管到達并滯留于腫瘤組織內部。當身體發生異常情況時,醫用磁性納米粒子與正常情況下的濃度分布不同,由此可以檢測出身體的異常部位,實現對生物體病灶情況的可視化。
在 MPI 中,成像的信號來源即為磁性粒子的非線性磁化信號[15],同時由于微弱的磁性粒子信號隱藏在大的背景場信號中,造成了實際檢測過程中信號分離的困難。而激勵頻率的不同對磁性粒子信號也會造成一定的影響,因此對醫用磁性納米粒子信號的檢測、分離、表征是 MPI 進一步應用于臨床檢測的研究關鍵。
醫用磁性納米粒子的非線性磁化信號存在于檢測信號的高次奇諧波中。由于檢測信號包含了較大的背景場信號及微弱的磁性粒子信號,因此采用分離三次諧波的方法來表征背景場中的磁性粒子信號。針對 MPI 中的醫用磁性納米粒子信號檢測問題,本文采用互感電橋的測量原理設計了磁性粒子非線性磁化信號檢測實驗系統,由外層激勵線圈提供交變磁場,內層一對差分線圈在有效提取磁性粒子微小信號的同時消除共模干擾,去除背景場信號。在交變磁場的激勵下,磁性粒子會產生高于背景感應信號的尖峰信號,在濾除背景場影響后,三次諧波幅值最大。
在上述理論基礎上,本文提出了磁性粒子檢測信號三次諧波的差分檢測方法,設計實現了磁性粒子的三次諧波檢測,通過仿真計算及實驗檢測兩種方法均可以檢測到包含在背景場信號中的磁性粒子三次諧波信號,證明了磁性粒子信號存在于檢測信號的三次諧波中,滿足醫用檢測的各項需求,可實現醫用磁性納米粒子在生物體成像方面的檢測應用。而且,3、5、7、9 次諧波幅值與粒子樣品量呈正比,可根據其關系確定檢測得到的醫用磁性納米粒子樣品量。同時,該檢測系統在 1 kHz 激勵頻率下得到磁性粒子信號三次諧波的檢測峰值。因此,本文提出的磁性粒子檢測信號三次諧波的差分檢測方法為 MPI 信號的檢測提供了理論及技術支持,同時為進一步利用 MPI 技術進行醫用生物體內成像提供了信號檢測方法,奠定了成像基礎。
利益沖突聲明:本文全體作者均聲明不存在利益沖突。