為研究退變及摘除髓核后腰椎間盤的力學行為,對豬腰椎間盤進行壓縮實驗。髓核摘除并經胰蛋白酶處理后的椎間盤作為實驗組,正常椎間盤作為對照組。考慮載荷大小及加載速率的影響,得到椎間盤應力和應變關系、瞬時彈性模量及蠕變性能,并建立了蠕變本構模型。結果發現:隨著壓縮載荷和加載速率的增大,實驗組的應變及蠕變與對照組相比均明顯增大,瞬時彈性模量與對照組相比則明顯減小,這表明髓核摘除后,椎間盤的承載能力受壓縮載荷大小及加載速率的影響明顯大于正常椎間盤。實驗組仍可以采用 Kelvin 三參量固體模型描述其蠕變性能,預測腰椎間盤去核后的蠕變行為。研究結果可為椎間盤疾病的臨床治療及術后康復提供理論基礎。
引用本文: 朱松峰, 楊秀萍, 欒義超, 劉清, 張春秋. 壓縮載荷下豬腰椎間盤髓核摘除后力學行為的實驗研究. 生物醫學工程學雜志, 2019, 36(4): 590-595. doi: 10.7507/1001-5515.201803053 復制
引言
腰椎間盤連接腰椎上下兩椎骨,有傳遞載荷的作用,且在不同方向上有一定的活動度[1-2]。椎間盤由髓核、纖維環和上、下終板組成。長期機械負荷可造成局部區域應力集中,組織水分丟失,椎間盤退變,纖維環破裂,髓核脫出,導致腰椎間盤突出癥[3]。臨床上對保守治療腰椎間盤突出癥無效的患者,常采用髓核摘除手術進行治療。由于椎間盤退變及髓核摘除后含水量減少,力學環境、承載方式都發生了變化,因此研究髓核摘除后椎間盤的力學行為對腰椎間盤突出癥的臨床治療具有理論意義。
由于椎間盤退變及髓核摘除后,其承載能力和剛度與正常腰椎間盤相差甚遠,目前這方面的研究大多為定性分析,定量實驗較少。Nikkhoo 等[4]用胰蛋白酶處理豬的腰椎間盤組織,模擬其退變,然后施加壓縮載荷,進行非圍限的蠕變實驗,并結合有限元逆分析法求得退變椎間盤的一些材料屬性。Ellingson 等[2]使用混合圍限/原位壓痕實驗方法,分別在健康和退變的人體腰椎間盤不同區域進行應力松弛實驗,發現應力松弛隨著腰椎間盤的退變而顯著減少。Liu 等[5]對小鼠腰椎間盤采用胰蛋白酶處理和核糖基化作用,模擬退變,然后施加軸向動態應變,發現黏彈性能隨應變幅值的增加而降低。Chu 等[6]采用壓力傳感器測量人體退變腰椎間盤纖維環的壓縮應力,用以解釋腰椎間盤突出和腰疼的機制。Meakin 等[7]對羊椎間盤矢狀面進行標記,施加壓縮載荷,利用圖像分析軟件對位移進行定性分析。
由于人體試驗受到有創性和道德倫理限制,而豬、羊等動物的腰椎與人的腰椎在幾何形狀、解剖結構和功能方面均有一定的相似性[8-9],因此本文以豬腰椎間盤為研究對象,對其退變及髓核摘除后在壓縮載荷作用下的應力應變關系、蠕變特性進行實驗研究,探討載荷大小、加載速率對黏彈性能的影響,并與正常椎間盤的性能進行比較。
1 實驗材料及方法
1.1 實驗材料與試件制備
從市場購買新鮮的豬腰椎骨,屠宰時間在 6 h 以內,從中篩選出直徑大小近似相等的 9 例,去除肌肉、結締組織及后部關節面。用帶鋸沿與終板平行方向切割上下椎體,截取脊柱的功能單元(functional spinal unit,FSU)L1~L5 節段,共 36 個,將其分成實驗組和對照組,依次編號后用紗布包裹好并放入盛有生理鹽水的培養皿中備用。將胰蛋白酶粉末溶解在配制好的磷酸緩沖鹽溶液(phosphate buffer saline,PBS)中,得到濃度為 0.25% 的胰蛋白酶溶液。
實驗組試件采用鑷子、16G 針頭注射器、手術刀等將髓核內的物質去除干凈,用 PBS 溶液清洗,用紗布擦干殘留的溶液。用注射器向纖維環注射 0.5 mL 的胰蛋白酶溶液,在室溫下靜置 30 min,通過酶化作用,模擬腰椎間盤的早期退變。對照組試件不做處理。
1.2 實驗儀器與實驗方法
實驗設備為上海大學研制的 EUF-1020 凱爾電子萬能疲勞試驗機,該設備采用位移、應變、載荷多通道全閉環控制系統,可以實時顯示載荷、位移等,在軟件中設置相應參數來控制加載方式與實驗數據精度。
為保證椎間盤原有完整性的圍限條件,自行設計了一個輔助裝置,由金屬盒、有機玻璃板及夾緊螺栓等部分組成。將有機玻璃板與上椎體矢狀面用一個自攻螺絲固定,以保持有機玻璃板始終與矢狀面緊密接觸,保證腰椎間盤在矢狀面的法線方向上的圍限,同時仍允許椎間盤有垂直方向的變形。試件通過金屬盒、泡沫、金屬板及螺栓夾緊。將試件放在電子萬能實驗機上,下端固定,上端施加壓縮載荷,如圖 1 所示。

實驗組和對照組分別進行 2 組不同壓縮載荷和 3 組不同加載速率的應力應變實驗和蠕變實驗,實驗過程中不斷向試件表面滴加生理鹽水,避免脫水,以符合腰椎的生理環境。考慮到實驗誤差,每組實驗在相同條件下進行 3 次,選擇腰椎相鄰的節段作為重復實驗所用試件。
2 實驗結果與分析
根據人體生理承受載荷,在試件上施加壓縮載荷分別為 50 N 和 150 N,加載速率分別為 5、10、15 N/s。根據萬能試驗機輸出的壓縮位移,計算得到應變,由壓縮載荷和椎間盤的截面積,得到壓縮應力值,將實驗結果導入到 Excel 軟件中,組間比較采用單因素方差分析,設定 P 值小于 0.05 為差異有統計學意義。利用 Origin9.0 軟件繪制實驗結果曲線,曲線上的點為實驗數據的平均值,標準差用誤差棒表示。
2.1 應力應變特性
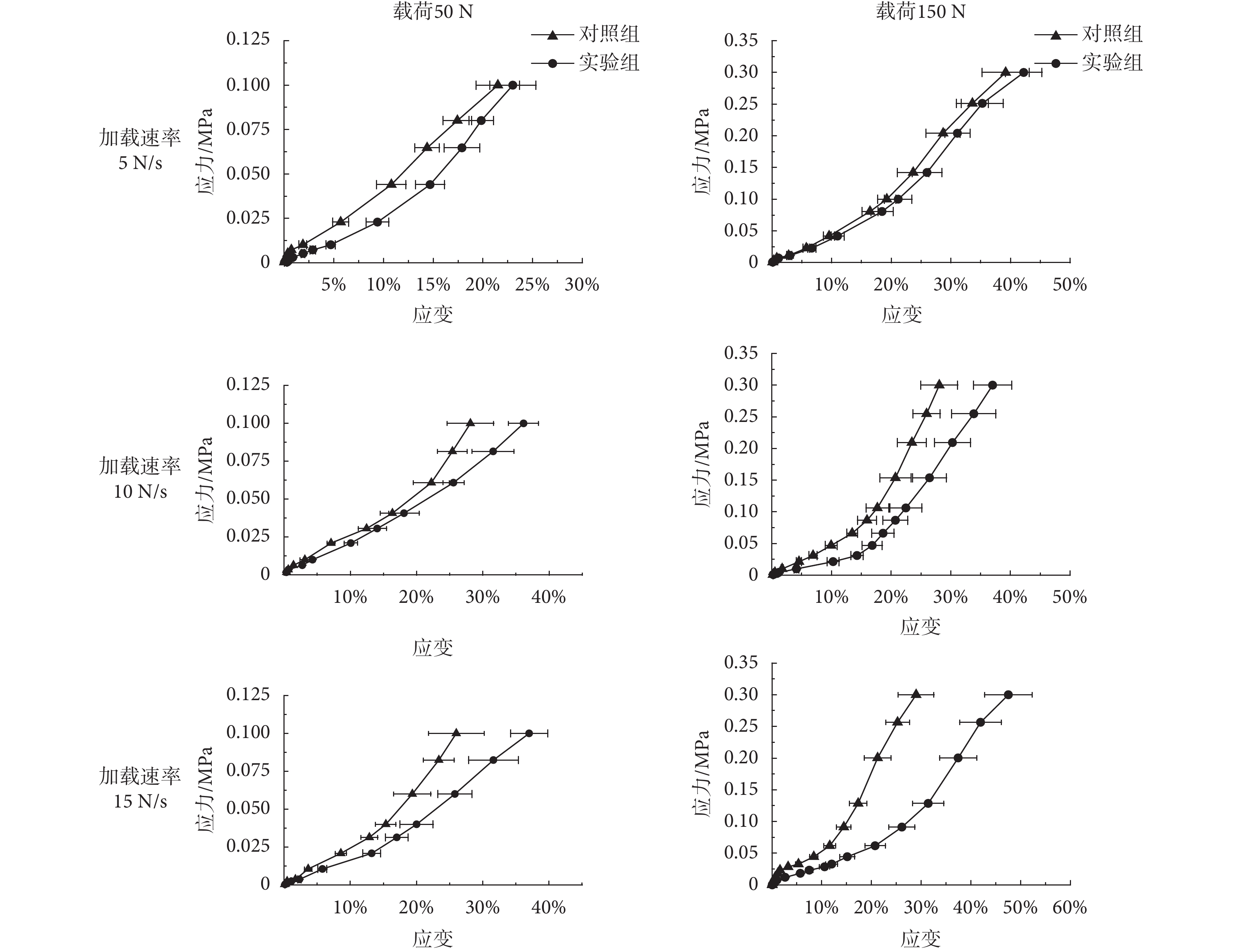
以 5、10、15 N/s 的加載速率分別加載到 50 N(應力約為 0.1 MPa)和 150 N(應力約為 0.3 MPa)時,得到應力-應變曲線如圖 2 所示。

可以看出,壓縮載荷為 50 N 時,加載過程中,應力與應變的關系隨加載速率的增加,呈非線性關系變化。實驗組應變大于對照組,加載速率越大,應變增長的速率越大。應力加載到 0.1 MPa 時,三種加載速率下,實驗組應變比對照組應變分別高出 6.67%(P = 0.470)、25.48%(P = 0.029)和 39.31%(P = 0.020),即在 5 N/s 的加載速率下,實驗組應變與對照組無顯著差異,在 10 N/s 和 15 N/s 的加載速率下,實驗組應變與對照組有顯著差異。
壓縮載荷為 150 N 時,隨著加載速率的增加,實驗組比對照組應變的增加更明顯。應力加載到 0.3 MPa 時,三種加載速率下,實驗組應變比對照組應變分別高出 7.53%(P = 0.354)、23.50%(P = 0.025)和 62.03%(P = 0.023),在 5 N/s 加載速率下,實驗組應變與對照組仍無顯著差異,在 10 N/s 和 15 N/s 加載速率下,實驗組應變與對照組有顯著差異。
由圖 2 可知,加載速率相同時,壓縮載荷越大,實驗組應變比對照組增加得越快;隨著加載速率的增大,應力-應變曲線呈現明顯的非線性關系,實驗組與對照組的應變差值也越來越大。
2.2 瞬時彈性模量
生物組織的彈性模量與應力、化學成分等因素有關,通常不是常量[10]。圖 3 為三種加載速率下,腰椎間盤的瞬時彈性模量隨載荷的變化曲線。瞬時彈性模量隨著載荷的增大而增大。實驗組瞬時彈性模量小于對照組,壓縮載荷相同時,加載速率越大,兩組彈性模量差值越大。摘除髓核后,腰椎間盤軸向變形增加,依靠纖維環承擔載荷[11]。在正常椎間盤中,依托于髓核所產生的盤內壓力會使纖維環張緊,這種張緊作用使得椎間盤可以正常工作。去除髓核后,椎間盤內壓降低,張緊作用減弱,承重能力降低,表現為彈性模量降低[12]。因此,壓縮載荷大小和加載速率對實驗組彈性模量的影響較大。

2.3 蠕變性能
分別以 5、10、15 N/s 的加載速率加載到 50 N(應力約為 0.1 MPa)和 150 N(應力約為 0.3 MPa),保持 1 h,得到蠕變曲線如圖 4 所示。可以看出,實驗組和對照組蠕變曲線均呈指數規律變化。加載速率相同時,壓縮應力越大,應變越大,且應變隨時間而增長的速率也越大,更快達到穩定狀態。

相同應力下,實驗組應變大于對照組,加載速率越大,實驗組與對照組蠕變相差越大。應力為 0.1 MPa 時,三種加載速率下,實驗組蠕變比對照組分別高出 8.94%(P = 0.349)、18.5%(P = 0.033)和 21.37%(P = 0.048),在 5 N/s 加載速率下,實驗組蠕變與對照組無顯著差異,在 10、15 N/s 加載速率下,實驗組蠕變與對照組有顯著差異。應力為 0.3 MPa 時,實驗組蠕變比對照組分別高出 3.99%(P = 0.590)、9.81%(P = 0.070)和 43.82%(P = 0.002),在 5 N/s 和 10 N/s 加載速率下,實驗組蠕變與對照組無顯著差異,在 15 N/s 加載速率下,實驗組蠕變與對照組有顯著差異。
腰椎間盤的黏彈特性主要是由其具有的固液二相性導致的。髓核和纖維環具有的蛋白多糖可以與膠原蛋白和彈性蛋白組成穩定的結構,并且有較強的親水性,可以維持滲透壓。滲透性通過影響液體的流動從而對蠕變特性產生較大的影響[13-14]。
對于正常椎間盤,蠕變初期應變速率較大,此時椎間盤的彈性大于黏性,外力導致蛋白多糖區域發生瞬時形變,液體外流。隨著液體的流出,內部壓力降低,應力重新分布[15]。隨著時間的增長,椎間盤的黏性所占比重增大,盤內壓力與膨脹壓力趨于平衡,變形減緩[16]。由于椎間盤退變及髓核去除后,椎間盤內液體含量減少,滲透性能下降,使椎間盤黏性降低,彈性增大,蠕變增加。
2.4 蠕變本構模型
本文采用 Kelvin 三參量固體模型[17]描述椎間盤蠕變本構關系,該模型由一個線彈性體與一個理想黏性體并聯后再與一個線彈性體串聯而成。
腰椎間盤本構方程為:
![]() |
式中:ε 為總應變;σ 為總應力;E1 為材料蠕變開始時的瞬時彈性模量;E2 為材料在蠕變階段的彈性模量;η 為黏性系數。
應力保持恒定,對式 (1) 進行積分,得到蠕變方程一般表達式:
![]() |
式中:。
2.5 蠕變模型參數確定
根據蠕變實驗數據,采用最小二乘法進行擬合,求得式 (2) 中的參數,如表 1 所示。擬合的預測曲線與實驗曲線進行比較,如圖 4 所示,二者具有較好的一致性。表明椎間盤髓核去除后仍具有黏彈性能,可以采用 Kelvin 三參量固體模型來表征蠕變特性。

表 1 中 E 表示模型中兩線彈性體串聯后的彈性系數[18]:
![]() |
由表 1 可以看出,應力為 0.1 MPa 時,三種加載速率下,實驗組 E1 和 E2 均小于對照組,實驗組串聯彈性系數 E 比對照組分別小 7.63%(P = 0.348)、15.20%(P = 0.026)和 18.04%(P = 0.044),在 5 N/s 的加載速率下,實驗組 E 值與對照組無顯著差異,在 10 N/s 和 15 N/s 的加載速率下,實驗組 E 值與對照組有顯著差異。加載速率分別為 5 N/s、10 N/s 時,實驗組 η 大于對照組;15 N/s 時,實驗組 η 小于對照組。
應力為 0.3 MPa 時,三種加載速率下,實驗組 E 值比對照組分別小 3.48%(P = 0.097)、8.65%(P = 0.096)和 30.77%(P = 0.001),在 5 N/s 和 10 N/s 的加載速率下,實驗組 E 值與對照組無顯著差異,在 15 N/s 的加載速率下,實驗組 E 值與對照組有顯著差異。實驗組 E1 小于對照組,加載速率對 E2 和 η 的影響有所不同。由于串聯彈性系數 E 表征模型的總體剛度,椎間盤退變及髓核去除后,E 值隨載荷增加及加載速率的增大明顯小于對照組,表明腰椎間盤的總剛度減小,彈性增大,蠕變增加。
3 結論
本文采用實驗方法,對髓核摘除后及正常的豬腰椎間盤在壓縮載荷下的力學行為進行研究和比較,結果表明:壓縮載荷作用下,應力與應變的關系隨加載速率的增加,呈非線性關系變化,髓核摘除之后應變增加,且增加量隨著加載速率、壓縮載荷的增大而增大。髓核摘除還會引起椎間盤瞬時彈性模量發生變化,壓縮載荷大小和加載速率會加劇這種變化,說明術后椎間盤的承載能力與施加載荷的大小和速率有關。椎間盤的黏彈特性也會受到髓核摘除的影響,盤內液體含量的降低會使椎間盤的黏性降低,彈性增加,蠕變量增大。Kelvin 三參量固體模型可以用來描述椎間盤髓核摘除后的蠕變特性。本文研究發現,椎間盤黏性和彈性性能與加載速率相關,由于目前對于髓核摘除后椎間盤力學特性的理論研究和定量實驗研究較少,對于加載速率對椎間盤力學性能的影響規律有待于今后做進一步的研究和探討。
利益沖突聲明:本文全體作者均聲明不存在利益沖突。
引言
腰椎間盤連接腰椎上下兩椎骨,有傳遞載荷的作用,且在不同方向上有一定的活動度[1-2]。椎間盤由髓核、纖維環和上、下終板組成。長期機械負荷可造成局部區域應力集中,組織水分丟失,椎間盤退變,纖維環破裂,髓核脫出,導致腰椎間盤突出癥[3]。臨床上對保守治療腰椎間盤突出癥無效的患者,常采用髓核摘除手術進行治療。由于椎間盤退變及髓核摘除后含水量減少,力學環境、承載方式都發生了變化,因此研究髓核摘除后椎間盤的力學行為對腰椎間盤突出癥的臨床治療具有理論意義。
由于椎間盤退變及髓核摘除后,其承載能力和剛度與正常腰椎間盤相差甚遠,目前這方面的研究大多為定性分析,定量實驗較少。Nikkhoo 等[4]用胰蛋白酶處理豬的腰椎間盤組織,模擬其退變,然后施加壓縮載荷,進行非圍限的蠕變實驗,并結合有限元逆分析法求得退變椎間盤的一些材料屬性。Ellingson 等[2]使用混合圍限/原位壓痕實驗方法,分別在健康和退變的人體腰椎間盤不同區域進行應力松弛實驗,發現應力松弛隨著腰椎間盤的退變而顯著減少。Liu 等[5]對小鼠腰椎間盤采用胰蛋白酶處理和核糖基化作用,模擬退變,然后施加軸向動態應變,發現黏彈性能隨應變幅值的增加而降低。Chu 等[6]采用壓力傳感器測量人體退變腰椎間盤纖維環的壓縮應力,用以解釋腰椎間盤突出和腰疼的機制。Meakin 等[7]對羊椎間盤矢狀面進行標記,施加壓縮載荷,利用圖像分析軟件對位移進行定性分析。
由于人體試驗受到有創性和道德倫理限制,而豬、羊等動物的腰椎與人的腰椎在幾何形狀、解剖結構和功能方面均有一定的相似性[8-9],因此本文以豬腰椎間盤為研究對象,對其退變及髓核摘除后在壓縮載荷作用下的應力應變關系、蠕變特性進行實驗研究,探討載荷大小、加載速率對黏彈性能的影響,并與正常椎間盤的性能進行比較。
1 實驗材料及方法
1.1 實驗材料與試件制備
從市場購買新鮮的豬腰椎骨,屠宰時間在 6 h 以內,從中篩選出直徑大小近似相等的 9 例,去除肌肉、結締組織及后部關節面。用帶鋸沿與終板平行方向切割上下椎體,截取脊柱的功能單元(functional spinal unit,FSU)L1~L5 節段,共 36 個,將其分成實驗組和對照組,依次編號后用紗布包裹好并放入盛有生理鹽水的培養皿中備用。將胰蛋白酶粉末溶解在配制好的磷酸緩沖鹽溶液(phosphate buffer saline,PBS)中,得到濃度為 0.25% 的胰蛋白酶溶液。
實驗組試件采用鑷子、16G 針頭注射器、手術刀等將髓核內的物質去除干凈,用 PBS 溶液清洗,用紗布擦干殘留的溶液。用注射器向纖維環注射 0.5 mL 的胰蛋白酶溶液,在室溫下靜置 30 min,通過酶化作用,模擬腰椎間盤的早期退變。對照組試件不做處理。
1.2 實驗儀器與實驗方法
實驗設備為上海大學研制的 EUF-1020 凱爾電子萬能疲勞試驗機,該設備采用位移、應變、載荷多通道全閉環控制系統,可以實時顯示載荷、位移等,在軟件中設置相應參數來控制加載方式與實驗數據精度。
為保證椎間盤原有完整性的圍限條件,自行設計了一個輔助裝置,由金屬盒、有機玻璃板及夾緊螺栓等部分組成。將有機玻璃板與上椎體矢狀面用一個自攻螺絲固定,以保持有機玻璃板始終與矢狀面緊密接觸,保證腰椎間盤在矢狀面的法線方向上的圍限,同時仍允許椎間盤有垂直方向的變形。試件通過金屬盒、泡沫、金屬板及螺栓夾緊。將試件放在電子萬能實驗機上,下端固定,上端施加壓縮載荷,如圖 1 所示。

實驗組和對照組分別進行 2 組不同壓縮載荷和 3 組不同加載速率的應力應變實驗和蠕變實驗,實驗過程中不斷向試件表面滴加生理鹽水,避免脫水,以符合腰椎的生理環境。考慮到實驗誤差,每組實驗在相同條件下進行 3 次,選擇腰椎相鄰的節段作為重復實驗所用試件。
2 實驗結果與分析
根據人體生理承受載荷,在試件上施加壓縮載荷分別為 50 N 和 150 N,加載速率分別為 5、10、15 N/s。根據萬能試驗機輸出的壓縮位移,計算得到應變,由壓縮載荷和椎間盤的截面積,得到壓縮應力值,將實驗結果導入到 Excel 軟件中,組間比較采用單因素方差分析,設定 P 值小于 0.05 為差異有統計學意義。利用 Origin9.0 軟件繪制實驗結果曲線,曲線上的點為實驗數據的平均值,標準差用誤差棒表示。
2.1 應力應變特性
以 5、10、15 N/s 的加載速率分別加載到 50 N(應力約為 0.1 MPa)和 150 N(應力約為 0.3 MPa)時,得到應力-應變曲線如圖 2 所示。

可以看出,壓縮載荷為 50 N 時,加載過程中,應力與應變的關系隨加載速率的增加,呈非線性關系變化。實驗組應變大于對照組,加載速率越大,應變增長的速率越大。應力加載到 0.1 MPa 時,三種加載速率下,實驗組應變比對照組應變分別高出 6.67%(P = 0.470)、25.48%(P = 0.029)和 39.31%(P = 0.020),即在 5 N/s 的加載速率下,實驗組應變與對照組無顯著差異,在 10 N/s 和 15 N/s 的加載速率下,實驗組應變與對照組有顯著差異。
壓縮載荷為 150 N 時,隨著加載速率的增加,實驗組比對照組應變的增加更明顯。應力加載到 0.3 MPa 時,三種加載速率下,實驗組應變比對照組應變分別高出 7.53%(P = 0.354)、23.50%(P = 0.025)和 62.03%(P = 0.023),在 5 N/s 加載速率下,實驗組應變與對照組仍無顯著差異,在 10 N/s 和 15 N/s 加載速率下,實驗組應變與對照組有顯著差異。
由圖 2 可知,加載速率相同時,壓縮載荷越大,實驗組應變比對照組增加得越快;隨著加載速率的增大,應力-應變曲線呈現明顯的非線性關系,實驗組與對照組的應變差值也越來越大。
2.2 瞬時彈性模量
生物組織的彈性模量與應力、化學成分等因素有關,通常不是常量[10]。圖 3 為三種加載速率下,腰椎間盤的瞬時彈性模量隨載荷的變化曲線。瞬時彈性模量隨著載荷的增大而增大。實驗組瞬時彈性模量小于對照組,壓縮載荷相同時,加載速率越大,兩組彈性模量差值越大。摘除髓核后,腰椎間盤軸向變形增加,依靠纖維環承擔載荷[11]。在正常椎間盤中,依托于髓核所產生的盤內壓力會使纖維環張緊,這種張緊作用使得椎間盤可以正常工作。去除髓核后,椎間盤內壓降低,張緊作用減弱,承重能力降低,表現為彈性模量降低[12]。因此,壓縮載荷大小和加載速率對實驗組彈性模量的影響較大。

2.3 蠕變性能
分別以 5、10、15 N/s 的加載速率加載到 50 N(應力約為 0.1 MPa)和 150 N(應力約為 0.3 MPa),保持 1 h,得到蠕變曲線如圖 4 所示。可以看出,實驗組和對照組蠕變曲線均呈指數規律變化。加載速率相同時,壓縮應力越大,應變越大,且應變隨時間而增長的速率也越大,更快達到穩定狀態。

相同應力下,實驗組應變大于對照組,加載速率越大,實驗組與對照組蠕變相差越大。應力為 0.1 MPa 時,三種加載速率下,實驗組蠕變比對照組分別高出 8.94%(P = 0.349)、18.5%(P = 0.033)和 21.37%(P = 0.048),在 5 N/s 加載速率下,實驗組蠕變與對照組無顯著差異,在 10、15 N/s 加載速率下,實驗組蠕變與對照組有顯著差異。應力為 0.3 MPa 時,實驗組蠕變比對照組分別高出 3.99%(P = 0.590)、9.81%(P = 0.070)和 43.82%(P = 0.002),在 5 N/s 和 10 N/s 加載速率下,實驗組蠕變與對照組無顯著差異,在 15 N/s 加載速率下,實驗組蠕變與對照組有顯著差異。
腰椎間盤的黏彈特性主要是由其具有的固液二相性導致的。髓核和纖維環具有的蛋白多糖可以與膠原蛋白和彈性蛋白組成穩定的結構,并且有較強的親水性,可以維持滲透壓。滲透性通過影響液體的流動從而對蠕變特性產生較大的影響[13-14]。
對于正常椎間盤,蠕變初期應變速率較大,此時椎間盤的彈性大于黏性,外力導致蛋白多糖區域發生瞬時形變,液體外流。隨著液體的流出,內部壓力降低,應力重新分布[15]。隨著時間的增長,椎間盤的黏性所占比重增大,盤內壓力與膨脹壓力趨于平衡,變形減緩[16]。由于椎間盤退變及髓核去除后,椎間盤內液體含量減少,滲透性能下降,使椎間盤黏性降低,彈性增大,蠕變增加。
2.4 蠕變本構模型
本文采用 Kelvin 三參量固體模型[17]描述椎間盤蠕變本構關系,該模型由一個線彈性體與一個理想黏性體并聯后再與一個線彈性體串聯而成。
腰椎間盤本構方程為:
![]() |
式中:ε 為總應變;σ 為總應力;E1 為材料蠕變開始時的瞬時彈性模量;E2 為材料在蠕變階段的彈性模量;η 為黏性系數。
應力保持恒定,對式 (1) 進行積分,得到蠕變方程一般表達式:
![]() |
式中:。
2.5 蠕變模型參數確定
根據蠕變實驗數據,采用最小二乘法進行擬合,求得式 (2) 中的參數,如表 1 所示。擬合的預測曲線與實驗曲線進行比較,如圖 4 所示,二者具有較好的一致性。表明椎間盤髓核去除后仍具有黏彈性能,可以采用 Kelvin 三參量固體模型來表征蠕變特性。

表 1 中 E 表示模型中兩線彈性體串聯后的彈性系數[18]:
![]() |
由表 1 可以看出,應力為 0.1 MPa 時,三種加載速率下,實驗組 E1 和 E2 均小于對照組,實驗組串聯彈性系數 E 比對照組分別小 7.63%(P = 0.348)、15.20%(P = 0.026)和 18.04%(P = 0.044),在 5 N/s 的加載速率下,實驗組 E 值與對照組無顯著差異,在 10 N/s 和 15 N/s 的加載速率下,實驗組 E 值與對照組有顯著差異。加載速率分別為 5 N/s、10 N/s 時,實驗組 η 大于對照組;15 N/s 時,實驗組 η 小于對照組。
應力為 0.3 MPa 時,三種加載速率下,實驗組 E 值比對照組分別小 3.48%(P = 0.097)、8.65%(P = 0.096)和 30.77%(P = 0.001),在 5 N/s 和 10 N/s 的加載速率下,實驗組 E 值與對照組無顯著差異,在 15 N/s 的加載速率下,實驗組 E 值與對照組有顯著差異。實驗組 E1 小于對照組,加載速率對 E2 和 η 的影響有所不同。由于串聯彈性系數 E 表征模型的總體剛度,椎間盤退變及髓核去除后,E 值隨載荷增加及加載速率的增大明顯小于對照組,表明腰椎間盤的總剛度減小,彈性增大,蠕變增加。
3 結論
本文采用實驗方法,對髓核摘除后及正常的豬腰椎間盤在壓縮載荷下的力學行為進行研究和比較,結果表明:壓縮載荷作用下,應力與應變的關系隨加載速率的增加,呈非線性關系變化,髓核摘除之后應變增加,且增加量隨著加載速率、壓縮載荷的增大而增大。髓核摘除還會引起椎間盤瞬時彈性模量發生變化,壓縮載荷大小和加載速率會加劇這種變化,說明術后椎間盤的承載能力與施加載荷的大小和速率有關。椎間盤的黏彈特性也會受到髓核摘除的影響,盤內液體含量的降低會使椎間盤的黏性降低,彈性增加,蠕變量增大。Kelvin 三參量固體模型可以用來描述椎間盤髓核摘除后的蠕變特性。本文研究發現,椎間盤黏性和彈性性能與加載速率相關,由于目前對于髓核摘除后椎間盤力學特性的理論研究和定量實驗研究較少,對于加載速率對椎間盤力學性能的影響規律有待于今后做進一步的研究和探討。
利益沖突聲明:本文全體作者均聲明不存在利益沖突。