本研究擬探究血根堿對大鼠氣道平滑肌細胞(rASMCs)的剛度、牽張力、應力纖維分布等細胞生物力學特性的影響。體外培養的 rASMCs 經過血根堿溶液在不同濃度(0.005~5 μmol/L)條件下分別處理 12 h、24 h、36 h 和 48 h 后,采用噻唑鹽比色法、光學磁粒扭轉細胞測量儀、傅里葉變換牽張力顯微術、劃痕實驗和免疫熒光顯微技術等檢測其活性、剛度、牽張力、遷移速度和微絲骨架分布等細胞生物力學特性的變化。實驗結果顯示,在濃度低于 0.5 μmol/L 時,血根堿對細胞活性沒有明顯影響,但對細胞生物力學特性呈現濃度和時間依賴性,具體表現為 rAMSCs 經 0.05 μmol/L 和 0.5 μmol/L 濃度的血根堿處理 12 h 和 24 h 后細胞剛度、細胞牽張力和細胞遷移速度均明顯降低、細胞骨架應力纖維出現解聚。鑒于氣道平滑肌細胞(ASMCs)生物力學特性在哮喘氣道高反應性(AHR)中的關鍵作用,上述的實驗結果提示,血根堿有可能通過改變氣道平滑肌細胞生物力學特性而改善 AHR,進而為開發基于血根堿的氣道松弛劑等哮喘治療藥物奠定基礎。
引用本文: 羅明志, 余培麗, 金陽, 劉磊, 李晶晶, 潘艷, 鄧林紅. 血根堿對大鼠氣道平滑肌細胞生物力學特性的影響. 生物醫學工程學雜志, 2018, 35(4): 583-591. doi: 10.7507/1001-5515.201708025 復制
引言
哮喘的典型特征是氣道高反應性(airway hyperresponsiveness,AHR),該現象是指患者氣道對收縮劑的響應比正常人群更強或者更敏感[1-3]。無論是正常人群還是哮喘患者的氣道平滑肌在受到乙酰膽堿、組胺等刺激物刺激時均會發生收縮,但哮喘患者的氣道平滑肌細胞(airway smooth muscle cells,ASMCs)收縮幅度更明顯,易導致氣道狹窄[4-5],進而引發哮喘患者呼吸困難。
導致 AHR 的原因包括 ASMCs 和氣道間質的連接減弱、ASMCs 增多和增大以及 ASMCs 生物力學特性的變化,如剛度和收縮能力增加等[6-8]。其中,ASMCs 生物力學特性是 AHR 的最終決定因素,因此也是哮喘治療的重要靶點[9-10]。故而具有調控 ASMCs 生物力學特性(如降低細胞剛度和收縮能力)的藥物可能具有改善 AHR 的能力,從而可能用于哮喘的治療[11]。
然而,定量評估藥物對細胞生物力學特性(特別是細胞剛度和牽張力)的影響一直是棘手的問題。近年來發展起來的光學磁粒扭轉細胞測量儀(optical magnetic twisting cytometry,OMTC)、傅里葉變換牽張力顯微術(Fourier transform traction microscopy,FTTM)為快速檢測群體細胞的剛度和牽張力提供了相對簡單的技術手段[12-13]。OMTC 檢測細胞剛度的原理是將表面修飾得有精氨酸–甘氨酸–天門冬氨酸 (Arg-Gly-Asp,RGD)的磁粒與貼壁細胞表面黏附蛋白整合素結合而黏附在細胞表面,然后通過外加磁場對磁粒施加一定的扭轉磁力矩從而驅動磁粒產生扭轉運動。由于磁粒在外力驅動下的運動與其通過細胞整合素聯結的細胞微絲骨架結構的力學性質相關,通過光學方法跟蹤記錄磁粒運動的位移值并計算磁力矩與磁粒位移的比值即可測量到細胞的剛度。FTTM 的基本原理則是將細胞貼壁生長在一層含有熒光微粒的聚丙烯酰胺凝膠表面。由于貼壁細胞施加牽張力在彈性的聚丙烯酰胺凝膠上,使得凝膠內部的熒光微粒發生位移。同樣利用光學方法追蹤記錄熒光微粒的位移,進一步通過傅里葉變換計算即可得到細胞對基底施加牽張力的大小和分布。目前,這兩種方法已在探究 ASMCs 生物力學行為與哮喘病理機制的關系[14-15]、苦味物質對 ASMCs 的舒張作用[16]以及高通量新型藥物篩選等[17]方面得到了廣泛的應用并取得了相應的結果。
血根堿(C20H15O5N)是從罌粟科博落回屬等植物當中提取的異喹啉類生物堿,其藥理作用主要包括抗炎、抗氧化及抗腫瘤等。近年來還發現血根堿具有調控平滑肌收縮–舒張活動的作用。例如,血根堿對大鼠胸主動脈平滑肌具有濃度依賴的舒張效應,并且還可抑制由腎上腺素和高濃度 K+ 引起的平滑肌收縮[18];血根堿對乙酰膽堿、組胺及高濃度 K+ 誘導的小腸平滑肌細胞收縮也具有明顯的抑制作用,其內在作用機制是血根堿抑制了細胞蛋白激酶 Cp/蛋白激酶 C 磷酸酶抑制劑信號傳導通路,并可抑制毒蕈堿型受體的表達[19-20]。此外,血根堿對上皮細胞也有降低細胞牽張力的效應[17]。
上述研究顯示,血根堿可以調節多種平滑肌的收縮—舒張活動,同時可以降低上皮細胞的細胞牽張力,但血根堿對 ASMCs 的生物力學特性的影響未見報道。本研究的目的主要是評估血根堿是否可以降低 ASMCs 剛度和收縮能力等與 AHR 密切相關的細胞生物力學特性,為后續開發基于血根堿的氣道松弛劑等哮喘治療藥物奠定基礎。
1 材料和方法
1.1 實驗材料
雌性 Sprague Dawley 大鼠(簡稱 SD 大鼠)購自常州卡文斯動物實驗有限公司;培養瓶、共聚焦培養皿、離心管、6 孔細胞培養板和 96 孔細胞培養板購自美國 Corning 公司(Corning,NY)。
1.2 實驗儀器
CO2 細胞培養箱(MCO-18AIC)購自日本三洋公司;生物安全柜(BSC-1300IIA2)購自蘇州安泰空氣技術有限公司;超級純水儀(Milli Q Plus,Integral 10)購自美國 Millipore 公司;高速臺式冷凍離心機(Coulter Allegra X-30R)購自美國 Beckman 公司;倒置顯微鏡(Primo Vert)、倒置熒光顯微鏡(cell observer)、激光共聚焦顯微鏡(LSM710)購自德國 Zeiss 公司;酶聯免疫分析儀(Infinite F50)購自瑞士 TECAN 公司;體視顯微鏡(S8APO)購自德國 Leica 公司;光學磁粒扭轉細胞測量儀(OMTC-1D)購自瑞士 EDL Eberhard 公司。
1.3 試劑
血根堿、轉鐵蛋白、牛胰島素購自上海源葉生物科技有限公司,杜氏改良培養基(Dulbecco’s modified Eagle medium,DMEM)、胎牛血清(fetal bovine serum,FBS)、牛血清白蛋白(bovine serum albumin,BSA)、青霉素、鏈霉素及胰蛋白酶購自美國 Gibco 公司,α-平滑肌肌動蛋白(α-smooth muscle actin,α-SMA)一抗、免疫球蛋白熒光二抗、抗熒光淬滅封片劑和多聚甲醛購自武漢博士德生物工程有限公司;磁粒購自美國 Invitrogen 公司;噻唑藍(methylthiazolyldiphenyl-tetrazolium bromide,MTT)、I 型鼠尾膠原購自美國 Sigma 公司;羅丹明標記的鬼筆環肽購自上海翊圣生物科技有限公司;戊巴比妥鈉購自德國 Merck 公司;二甲基亞砜(dimethyl sulfoxide,DMSO)購自上海凌峰化學試劑有限公司;聚乙二醇辛基苯基醚(Triton-X-100)、RGD 購自上海阿拉丁公司;其他化學試劑均為分析純。
1.4 大鼠 ASMCs 原代培養
SD 大鼠 ASMCs(rASMCs)的體外原代培養按參考文獻[21]的方法加以改進后培養。先在 SD 大鼠(0.18~0.22 kg)腹腔注射戊巴比妥鈉(30~40 mg/kg)施以麻醉,在無菌條件下打開胸腔后取出氣道,放入盛有磷酸鹽緩沖液(phosphate buffer solution,PBS)(pH7.4)的培養皿中,在體視顯微鏡下剝離氣道黏膜層,用眼科剪將氣道組織剪成 1 mm × 1 mm × 1 mm 細小碎塊,用 PBS 洗滌 3 次后,加入 10 倍體積的胰蛋白酶(0.1%)在 37℃ 條件下消化 15 min,隨后添加含 20% FBS 的 DMEM 終止胰蛋白酶消化;然后于 4℃ 條件下 1 500 r/min 離心 5 min,棄上清,加入完全培養基(含 80%DMEM、20%FBS、100 U/mL 青霉素和 100 μg/mL 鏈霉素),將組織塊吹散并轉移至培養瓶;最后,倒置于 CO2 細胞培養箱培養 6 h 后,輕輕翻轉培養瓶,加入 1.5 mL 完全培養基,靜置培養 3~4 d 后待細胞爬出。大約 15 d 后,細胞會生長成“峰—谷”狀。其后,將細胞貼壁純化 2 代,采用免疫熒光染色技術標記 α-SMA,鑒定為 rASMCs,取 3~10 代的細胞進行實驗。
1.5 MTT 比色法檢測細胞活性
收集本文 1.4 小節培養的對數生長期的 rASMCs,以 1 × 104 個/孔的密度接種于 96 孔細胞培養板中,培養 24 h 后換成無血清培養基(DMEM 中加入 5 mg/L 胰島素、5 mg/L 轉鐵蛋白、100 U/mL 青霉素和 100 μg/mL 鏈霉素),12 h 后實驗組培養皿分別加入不同濃度血根堿(最終濃度為 0.005、0.05、0.5、5 μmol/L),分別命名為 0.005 μmol/L 組、0.050 μmol/L 組、0.500 μmol/L 組、5.000 μmol/L 組。由于實驗中的血根堿采用 DMSO 溶解,導致實驗組不僅含有不同濃度的血根堿,還含有 0.1%DMSO。因此,對照組培養皿加入 DMSO(最終濃度為 0.1%),每個組 6 個復孔。以上各組細胞在 37℃ 條件下培養 12、24、36、48 h 后,每孔加入 5 mg/mL 的 MTT 各 20 μL,孵育 4 h 后,吸棄孔內液體,每孔加 200 μL 的 DMSO,將 96 孔細胞培養板放置于搖床上振蕩 10 min 后,用酶聯免疫分析儀測定波長為 495 nm 下的光密度值,進而篩選血根堿作用的安全濃度,以排除血根堿的細胞毒性對實驗結果的影響。
1.6 OMTC 檢測細胞剛度
本文將 rASMCs 經血根堿處理后,用 OMTC 檢測細胞剛度變化[13]。具體操作方法為:先將細胞接種于可拆 96 孔細胞培養板中,細胞密度為 1 × 104 個/孔,貼壁生長 24 h 后,換無血清培養基,繼續培養 12 h 后加入經 1.5 小節確定的對細胞毒性較小的不同濃度的血根堿分別處理 12 h 和 24 h,隨后加入表面已包被 RGD、直徑為 4.5 μm 的磁粒,37℃ 條件下孵育 30 min 后,PBS 沖洗掉未結合的磁粒,加入 200 μL 無血清培養基,將 96 孔細胞培養板小室放入 OMTC 專用線圈中,通過外加 1 000 Gs 的磁場磁化磁粒 3 次,隨后施加一個隨時間正弦變化的磁場扭轉磁粒(頻率為 0.3 Hz,扭轉 54 次),如圖 1 所示,同時通過顯微鏡拍照記錄磁粒的移動情況,用 MATLAB 軟件(MathWorks Inc.,美國)編寫的程序進行分析處理,計算細胞剛度,每組重復 3 次。

1.7 FTTM 檢測細胞牽張力
采用 FTTM 檢測細胞牽張力[22-23]。具體操作方法為:在 35 mm 共聚焦培養皿底部制備剛度為 4 kPa 聚丙烯酰胺凝膠(厚度為 100 μm,含熒光素標記直徑為 0.2 μm 的微粒),采用Ⅰ型鼠尾膠原包被后,接種 rASMCs(5 000 個/皿),24 h 后更換無血清培養基,加入經 1.5 小節確定的對細胞毒性較小的不同濃度血根堿分別處理 12 h 和 24 h 后,在倒置熒光顯微鏡下尋找單個生長的 rASMCs,拍照采集細胞相差和熒光微粒分布圖片;隨后向培養皿中加入 200 μL 氫氧化鈉水溶液(濃度為 1 mol/L),待細胞裂解后再次拍照采集熒光微粒分布圖片,通過 MATLAB 軟件(MathWorks Inc.,美國)編寫的程序分析相對應的兩張熒光微粒分布圖片,獲得細胞脫落前后凝膠內部微粒的位移場,如圖 2 所示,再通過傅里葉變換反演出細胞力場分布圖,由此可以得出細胞的牽張力。每組實驗采集 20 個細胞作為重復。

1.8 免疫熒光技術檢測細胞骨架應力纖維分布
將 rASMCs 以經 1.5 小節確定的對細胞毒性較小的不同濃度血根堿處理 12、24、36、48 h 后,棄上清,4% 多聚甲醛室溫固定 20 min 后,用 PBS(含 0.3%Triton X-100)洗滌 3 次,每次 5 min;用 1% BSA 溶液封閉 30 min 后,以羅丹明標記的鬼筆環肽(1:200 比例稀釋)室溫染色 1 h 后,PBS 洗滌 3 次,每次 5 min;用抗熒光淬滅封片劑封片后在激光共聚焦顯微鏡(63×)下觀察細胞骨架的應力纖維并拍照。
1.9 劃痕實驗檢測細胞遷移能力
取對數生長期 rASMCs,以 4 × 105 個/孔的密度接種于 6 孔細胞培養板,當融合度達 90% 時,用 10 μL 無菌槍頭劃過細胞群落,PBS 沖洗掉脫落細胞后,換無血清培養基,分別加入經 1.5 小節確定的對細胞毒性較小的不同濃度的血根堿,對照組加入 DMSO(最終濃度為 0.1%),將細胞培養板放置于 CO2 細胞培養箱繼續培養,分別于 0、12、24、36、48 h 將培養板放置于倒置熒光顯微鏡下對劃痕區域進行觀察、拍照。隨后采用專業圖像分析軟件 Image Pro Plus 6.0(Media cybernetics Inc.,美國)測量劃痕區域面積,進而計算愈合率。計算公式為:劃痕愈合率 =(起始劃痕面積 – 不同時間點劃痕面積)/起始劃痕面積 × 100%。
1.10 統計學分析
全部數據采用醫學繪圖軟件 GraphPad Prism 5.0(GraphPad Software Inc.,美國)進行統計分析,結果以均數 ± 標準差表示,采用 t 檢驗比較實驗組與對照組之間差異,P < 0.05 為差異具有統計學意義。
2 結果
2.1 血根堿對 rASMCs 活性的影響
濃度為 0.005、0.05、0.5、5 μmol/L 的血根堿分別處理 rASMCs 達 12、24、36、48 h 后,采用 MTT 實驗檢測細胞活性,結果如圖 3 所示。濃度為 0.005、0.05、0.5μmol/L 的血根堿處理 12~48 h 均沒有明顯改變細胞光密度值(P > 0.05),但濃度為 5 μmol/L 的血根堿處理 12 h 即明顯降低細胞光密度值( P < 0.01),且隨著處理時間的延長細胞光密度降低更加明顯。上述實驗結果表明,血根堿在濃度低于等于 0.5 μmol/L 時,對 rASMCs 的活性影響較小,但當濃度從 0.5 μmol/L 提高到 5 μmol/L 時,血根堿對細胞的毒性隨濃度上升逐漸加大,最終可降低 rASMCs 活性達 80%~90%。因此,所有后續實驗均采用血根堿濃度在 0.5 μmol/L 及以下的條件,以排除血根堿的細胞毒性對實驗結果的影響。

與對照組相比,**
Compared to control cells, **
2.2 血根堿對 rASMCs 剛度的影響
采用 OMTC 檢測血根堿處理后 rASMCs 的剛度,結果如圖 4 所示。對照組(0.1%DMSO 處理的 rASMCs)在 12 h 后的細胞剛度為(0.54 ± 0.03) Pa/nm,而經濃度為 0.005、0.05、0.5 μmol/L 的血根堿處理 12 h 后的 rASMCs 剛度分別為(0.55 ± 0.01)、(0.46 ± 0.02)、(0.37 ± 0.01) Pa/nm。統計分析顯示,與對照組相比,濃度為 0.05 μmol/L 和 0.5 μmol/L 的血根堿處理 12 h 后,rASMCs 的剛度明顯降低(P < 0.05)。同樣濃度條件下,血根堿處理 rASMCs 24 h 與處理 12 h 相比,細胞剛度進一步降低。

與對照組相比,*
Compared to control cells, *
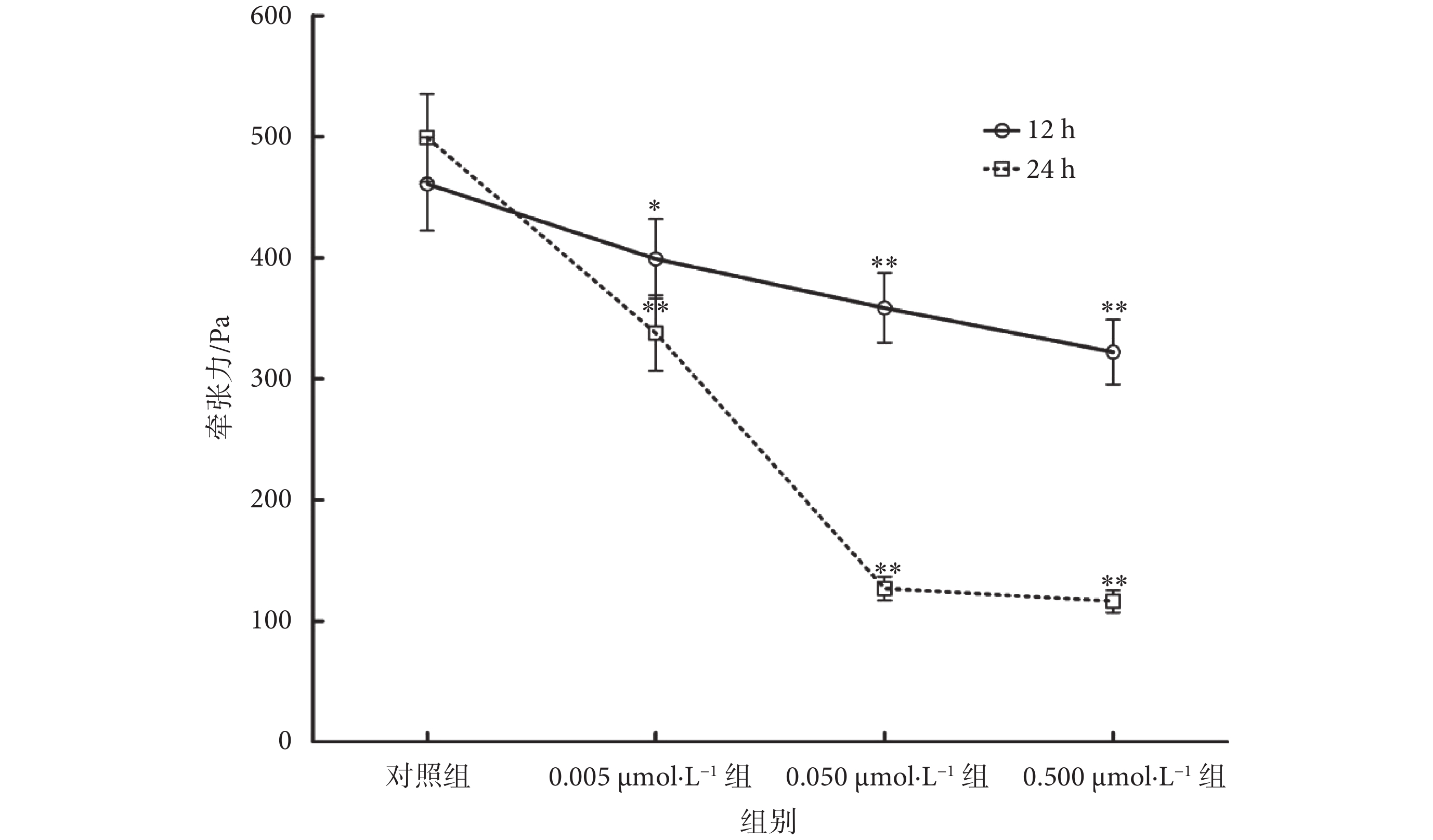
2.3 血根堿對 rASMCs 牽張力的影響
采用 FTTM 檢測血根堿對 rASMCs 產生的細胞牽張力的影響,結果如圖 5 所示。對照組(0.1% DMSO 處理的 rASMCs)在 12 h 后的細胞牽張力為(460 ± 38) Pa/nm,而經濃度為 0.005、0.05、0.5 μmol/L 的血根堿處理 12 h 后的細胞牽張力分別為(399 ± 32)、(358 ± 28)、(328 ± 26) Pa/nm。與對照組相比,濃度為 0.005 μmol/L 的血根堿處理組的細胞牽張力低于對照組,且差異具有統計學意義(P < 0.05),濃度為 0.05 μmol/L 和 0.5 μmol/L 的血根堿處理組的細胞牽張力和對照組相比差異仍具有統計學意義( P < 0.01)。與血根堿處理 12 h 的結果相比,血根堿處理 24 h 后將進一步降低細胞的牽張力。上述實驗結果顯示了血根堿的處理將明顯降低 rASMCs 的細胞牽張力。

與對照組相比,*
Compared to control cells, *
2.4 血根堿對 rASMCs 遷移能力的影響
采用劃痕實驗檢測濃度為 0.005、0.05、0.5 μmol/L 的血根堿處理 rASMCs 12、24、36、48 h 后的細胞遷移情況,結果如圖 6 所示。隨著時間的延長,對照組和各血根堿處理組愈合均有增加。血根堿濃度為 0.005 μmol/L 時,細胞愈合率開始顯現降低趨勢,但和對照組相比差異無統計學意義(P > 0.05);而濃度為 0.05 μmol/L 時,血根堿處理 12 h 后的細胞愈合率明顯低于對照組( P < 0.05),當濃度增加到 0.5 μmol/L 時,rAMSCs 愈合率與對照組相比進一步降低( P < 0.01),且隨著作用時間的延長,愈合率進一步降低,差異均具有統計學意義。上述實驗結果顯示,血根堿明顯降低 rASMCs 的遷移能力。

與對照組相比,*
Compared to control cells (20 ×), *
2.5 血根堿對 rASMCs 骨架應力纖維分布的影響
采用免疫熒光技術檢測濃度為 0.005、0.05、0.5 μmol/L 的血根堿處理 rASMCs 12 h 和 24 h 后細胞骨架應力纖維的分布,實驗結果如圖 7 所示。與對照組比較,濃度為 0.005 μmol/L 的血根堿沒有明顯影響細胞內應力纖維的形成,但濃度為 0.05 μmol/L 和 0.5 μmol/L 的血根堿處理 12 h 和 24 h 均導致細胞應力纖維變細,并且中間區域的應力纖維數量降低。且隨著作用時間的增加,血根堿對應力纖維的抑制效果更明顯,提示血根堿可以誘導 rASMCs 的微絲解聚。

3 分析與討論
哮喘是一種慢性呼吸道疾病,目前臨床常用的哮喘治療藥物主要是糖皮質激素(抗炎)、β2-腎上腺素受體激動劑(擴張支氣管)等,但這些藥物容易發生耐受,且副作用大。其中 β2-腎上腺素受體激動劑在很多患者中產生脫敏現象,導致難以持續有效地控制其哮喘典型癥狀 AHR,成為臨床上棘手的問題。因此,探索和開發可以降低 AHR 的新型支氣管擴張劑藥物具有重要意義。
大鼠模型中的研究表明,AHR 與 ASMCs 的剛度正相關,提示降低 ASMCs 剛度的藥物可以降低 AHR[24]。本研究實驗結果顯示,濃度為 0.05 μmol/L 和 0.5 μmol/L 血根堿可以明顯降低 rASMCs 的細胞剛度,并具有時間和濃度依賴效應,提示其可能具有降低 AHR 的能力。
細胞收縮力在心肌、骨骼肌和平滑肌等多種細胞生理和病理環境中發揮重要作用,調節細胞收縮能力是調節肌肉細胞收縮—舒張藥物的重要作用機制。血根堿調控多種非氣道平滑肌(包括胸主動脈、腸道和子宮等組織平滑肌)收縮—舒張活動已有報道[25]。本研究表明,血根堿可以降低 rASMCs 的牽張力,并表現出時間和濃度依賴效應,提示血根堿可以降低 ASMCs 的收縮能力,進一步提示血根堿可能是 AHR 的一種調控藥物。
細胞遷移是哮喘病理過程中 ASMCs 重構的一個重要環節。本研究顯示,血根堿可以抑制 rASMCs 的遷移能力,提示血根堿可能會通過影響細胞遷移從而影響 AHR。細胞骨架是調控細胞生物力學特性的核心元件,可影響細胞剛度、細胞收縮—舒張以及細胞遷移。本研究顯示,血根堿誘導應力纖維解聚,同時降低了細胞剛度、細胞牽張力和細胞遷移能力,提示血根堿可能通過影響細胞骨架的重構過程從而影響細胞的生物力學特性。
本實驗結果還顯示,在 0.5 μmol/L 以下的濃度條件下,血根堿沒有明顯降低 ASMCs 的活性,提示其具有較好的生物安全性。而當血根堿的濃度為 0.05 μmol/L 和 0.5 μmol/L 時,rASMCs 的剛度和細胞牽張力均明顯下降,提示 0.05 μmol/L 和 0.5 μmol/L 是將來進一步藥物開發較為理想的藥物濃度。但需要注意的是,當濃度增加到 5 μmol/L 時,血根堿明顯降低了 rASMCs 的活性,提示在微摩爾級別濃度的血根堿具有一定的生物毒性,這是在后期藥物開發中需要考慮的因素。尤為重要的是,目前文獻報道血根堿對胸主動脈、腸道和子宮等組織平滑肌具有明顯收縮抑制效應的濃度主要在微摩爾級別,而我們的實驗結果提示納摩爾級別濃度的血根堿即具有降低 ASMCs 剛度及收縮力、抑制細胞遷移和誘導微絲骨架解聚的能力。上述研究結果在細胞水平下證實了血根堿對 ASMCs 生物力學特性的影響,這為后期以血根堿為對象進一步開發哮喘治療藥物中的新型氣道擴張劑奠定了基礎,但血根堿影響 ASMCs 生物力學特性的具體作用機制還有待進一步闡明,其對 AHR 的治療效果也還需要在動物模型水平進一步的研究。
4 結論
作為從常見植物中提取的天然產物,血根堿不僅具有抗炎、抗氧化和抗腫瘤作用,而且本文研究結果顯示,在生物安全的濃度條件下具有明顯降低體外培養 rASMCs 剛度和牽張力等生物力學特性的能力,提示血根堿有可能作為一種靶向氣道平滑肌力學特性的氣道擴張劑,為臨床哮喘治療中控制和改善患者 AHR 提供新的途徑。
引言
哮喘的典型特征是氣道高反應性(airway hyperresponsiveness,AHR),該現象是指患者氣道對收縮劑的響應比正常人群更強或者更敏感[1-3]。無論是正常人群還是哮喘患者的氣道平滑肌在受到乙酰膽堿、組胺等刺激物刺激時均會發生收縮,但哮喘患者的氣道平滑肌細胞(airway smooth muscle cells,ASMCs)收縮幅度更明顯,易導致氣道狹窄[4-5],進而引發哮喘患者呼吸困難。
導致 AHR 的原因包括 ASMCs 和氣道間質的連接減弱、ASMCs 增多和增大以及 ASMCs 生物力學特性的變化,如剛度和收縮能力增加等[6-8]。其中,ASMCs 生物力學特性是 AHR 的最終決定因素,因此也是哮喘治療的重要靶點[9-10]。故而具有調控 ASMCs 生物力學特性(如降低細胞剛度和收縮能力)的藥物可能具有改善 AHR 的能力,從而可能用于哮喘的治療[11]。
然而,定量評估藥物對細胞生物力學特性(特別是細胞剛度和牽張力)的影響一直是棘手的問題。近年來發展起來的光學磁粒扭轉細胞測量儀(optical magnetic twisting cytometry,OMTC)、傅里葉變換牽張力顯微術(Fourier transform traction microscopy,FTTM)為快速檢測群體細胞的剛度和牽張力提供了相對簡單的技術手段[12-13]。OMTC 檢測細胞剛度的原理是將表面修飾得有精氨酸–甘氨酸–天門冬氨酸 (Arg-Gly-Asp,RGD)的磁粒與貼壁細胞表面黏附蛋白整合素結合而黏附在細胞表面,然后通過外加磁場對磁粒施加一定的扭轉磁力矩從而驅動磁粒產生扭轉運動。由于磁粒在外力驅動下的運動與其通過細胞整合素聯結的細胞微絲骨架結構的力學性質相關,通過光學方法跟蹤記錄磁粒運動的位移值并計算磁力矩與磁粒位移的比值即可測量到細胞的剛度。FTTM 的基本原理則是將細胞貼壁生長在一層含有熒光微粒的聚丙烯酰胺凝膠表面。由于貼壁細胞施加牽張力在彈性的聚丙烯酰胺凝膠上,使得凝膠內部的熒光微粒發生位移。同樣利用光學方法追蹤記錄熒光微粒的位移,進一步通過傅里葉變換計算即可得到細胞對基底施加牽張力的大小和分布。目前,這兩種方法已在探究 ASMCs 生物力學行為與哮喘病理機制的關系[14-15]、苦味物質對 ASMCs 的舒張作用[16]以及高通量新型藥物篩選等[17]方面得到了廣泛的應用并取得了相應的結果。
血根堿(C20H15O5N)是從罌粟科博落回屬等植物當中提取的異喹啉類生物堿,其藥理作用主要包括抗炎、抗氧化及抗腫瘤等。近年來還發現血根堿具有調控平滑肌收縮–舒張活動的作用。例如,血根堿對大鼠胸主動脈平滑肌具有濃度依賴的舒張效應,并且還可抑制由腎上腺素和高濃度 K+ 引起的平滑肌收縮[18];血根堿對乙酰膽堿、組胺及高濃度 K+ 誘導的小腸平滑肌細胞收縮也具有明顯的抑制作用,其內在作用機制是血根堿抑制了細胞蛋白激酶 Cp/蛋白激酶 C 磷酸酶抑制劑信號傳導通路,并可抑制毒蕈堿型受體的表達[19-20]。此外,血根堿對上皮細胞也有降低細胞牽張力的效應[17]。
上述研究顯示,血根堿可以調節多種平滑肌的收縮—舒張活動,同時可以降低上皮細胞的細胞牽張力,但血根堿對 ASMCs 的生物力學特性的影響未見報道。本研究的目的主要是評估血根堿是否可以降低 ASMCs 剛度和收縮能力等與 AHR 密切相關的細胞生物力學特性,為后續開發基于血根堿的氣道松弛劑等哮喘治療藥物奠定基礎。
1 材料和方法
1.1 實驗材料
雌性 Sprague Dawley 大鼠(簡稱 SD 大鼠)購自常州卡文斯動物實驗有限公司;培養瓶、共聚焦培養皿、離心管、6 孔細胞培養板和 96 孔細胞培養板購自美國 Corning 公司(Corning,NY)。
1.2 實驗儀器
CO2 細胞培養箱(MCO-18AIC)購自日本三洋公司;生物安全柜(BSC-1300IIA2)購自蘇州安泰空氣技術有限公司;超級純水儀(Milli Q Plus,Integral 10)購自美國 Millipore 公司;高速臺式冷凍離心機(Coulter Allegra X-30R)購自美國 Beckman 公司;倒置顯微鏡(Primo Vert)、倒置熒光顯微鏡(cell observer)、激光共聚焦顯微鏡(LSM710)購自德國 Zeiss 公司;酶聯免疫分析儀(Infinite F50)購自瑞士 TECAN 公司;體視顯微鏡(S8APO)購自德國 Leica 公司;光學磁粒扭轉細胞測量儀(OMTC-1D)購自瑞士 EDL Eberhard 公司。
1.3 試劑
血根堿、轉鐵蛋白、牛胰島素購自上海源葉生物科技有限公司,杜氏改良培養基(Dulbecco’s modified Eagle medium,DMEM)、胎牛血清(fetal bovine serum,FBS)、牛血清白蛋白(bovine serum albumin,BSA)、青霉素、鏈霉素及胰蛋白酶購自美國 Gibco 公司,α-平滑肌肌動蛋白(α-smooth muscle actin,α-SMA)一抗、免疫球蛋白熒光二抗、抗熒光淬滅封片劑和多聚甲醛購自武漢博士德生物工程有限公司;磁粒購自美國 Invitrogen 公司;噻唑藍(methylthiazolyldiphenyl-tetrazolium bromide,MTT)、I 型鼠尾膠原購自美國 Sigma 公司;羅丹明標記的鬼筆環肽購自上海翊圣生物科技有限公司;戊巴比妥鈉購自德國 Merck 公司;二甲基亞砜(dimethyl sulfoxide,DMSO)購自上海凌峰化學試劑有限公司;聚乙二醇辛基苯基醚(Triton-X-100)、RGD 購自上海阿拉丁公司;其他化學試劑均為分析純。
1.4 大鼠 ASMCs 原代培養
SD 大鼠 ASMCs(rASMCs)的體外原代培養按參考文獻[21]的方法加以改進后培養。先在 SD 大鼠(0.18~0.22 kg)腹腔注射戊巴比妥鈉(30~40 mg/kg)施以麻醉,在無菌條件下打開胸腔后取出氣道,放入盛有磷酸鹽緩沖液(phosphate buffer solution,PBS)(pH7.4)的培養皿中,在體視顯微鏡下剝離氣道黏膜層,用眼科剪將氣道組織剪成 1 mm × 1 mm × 1 mm 細小碎塊,用 PBS 洗滌 3 次后,加入 10 倍體積的胰蛋白酶(0.1%)在 37℃ 條件下消化 15 min,隨后添加含 20% FBS 的 DMEM 終止胰蛋白酶消化;然后于 4℃ 條件下 1 500 r/min 離心 5 min,棄上清,加入完全培養基(含 80%DMEM、20%FBS、100 U/mL 青霉素和 100 μg/mL 鏈霉素),將組織塊吹散并轉移至培養瓶;最后,倒置于 CO2 細胞培養箱培養 6 h 后,輕輕翻轉培養瓶,加入 1.5 mL 完全培養基,靜置培養 3~4 d 后待細胞爬出。大約 15 d 后,細胞會生長成“峰—谷”狀。其后,將細胞貼壁純化 2 代,采用免疫熒光染色技術標記 α-SMA,鑒定為 rASMCs,取 3~10 代的細胞進行實驗。
1.5 MTT 比色法檢測細胞活性
收集本文 1.4 小節培養的對數生長期的 rASMCs,以 1 × 104 個/孔的密度接種于 96 孔細胞培養板中,培養 24 h 后換成無血清培養基(DMEM 中加入 5 mg/L 胰島素、5 mg/L 轉鐵蛋白、100 U/mL 青霉素和 100 μg/mL 鏈霉素),12 h 后實驗組培養皿分別加入不同濃度血根堿(最終濃度為 0.005、0.05、0.5、5 μmol/L),分別命名為 0.005 μmol/L 組、0.050 μmol/L 組、0.500 μmol/L 組、5.000 μmol/L 組。由于實驗中的血根堿采用 DMSO 溶解,導致實驗組不僅含有不同濃度的血根堿,還含有 0.1%DMSO。因此,對照組培養皿加入 DMSO(最終濃度為 0.1%),每個組 6 個復孔。以上各組細胞在 37℃ 條件下培養 12、24、36、48 h 后,每孔加入 5 mg/mL 的 MTT 各 20 μL,孵育 4 h 后,吸棄孔內液體,每孔加 200 μL 的 DMSO,將 96 孔細胞培養板放置于搖床上振蕩 10 min 后,用酶聯免疫分析儀測定波長為 495 nm 下的光密度值,進而篩選血根堿作用的安全濃度,以排除血根堿的細胞毒性對實驗結果的影響。
1.6 OMTC 檢測細胞剛度
本文將 rASMCs 經血根堿處理后,用 OMTC 檢測細胞剛度變化[13]。具體操作方法為:先將細胞接種于可拆 96 孔細胞培養板中,細胞密度為 1 × 104 個/孔,貼壁生長 24 h 后,換無血清培養基,繼續培養 12 h 后加入經 1.5 小節確定的對細胞毒性較小的不同濃度的血根堿分別處理 12 h 和 24 h,隨后加入表面已包被 RGD、直徑為 4.5 μm 的磁粒,37℃ 條件下孵育 30 min 后,PBS 沖洗掉未結合的磁粒,加入 200 μL 無血清培養基,將 96 孔細胞培養板小室放入 OMTC 專用線圈中,通過外加 1 000 Gs 的磁場磁化磁粒 3 次,隨后施加一個隨時間正弦變化的磁場扭轉磁粒(頻率為 0.3 Hz,扭轉 54 次),如圖 1 所示,同時通過顯微鏡拍照記錄磁粒的移動情況,用 MATLAB 軟件(MathWorks Inc.,美國)編寫的程序進行分析處理,計算細胞剛度,每組重復 3 次。

1.7 FTTM 檢測細胞牽張力
采用 FTTM 檢測細胞牽張力[22-23]。具體操作方法為:在 35 mm 共聚焦培養皿底部制備剛度為 4 kPa 聚丙烯酰胺凝膠(厚度為 100 μm,含熒光素標記直徑為 0.2 μm 的微粒),采用Ⅰ型鼠尾膠原包被后,接種 rASMCs(5 000 個/皿),24 h 后更換無血清培養基,加入經 1.5 小節確定的對細胞毒性較小的不同濃度血根堿分別處理 12 h 和 24 h 后,在倒置熒光顯微鏡下尋找單個生長的 rASMCs,拍照采集細胞相差和熒光微粒分布圖片;隨后向培養皿中加入 200 μL 氫氧化鈉水溶液(濃度為 1 mol/L),待細胞裂解后再次拍照采集熒光微粒分布圖片,通過 MATLAB 軟件(MathWorks Inc.,美國)編寫的程序分析相對應的兩張熒光微粒分布圖片,獲得細胞脫落前后凝膠內部微粒的位移場,如圖 2 所示,再通過傅里葉變換反演出細胞力場分布圖,由此可以得出細胞的牽張力。每組實驗采集 20 個細胞作為重復。

1.8 免疫熒光技術檢測細胞骨架應力纖維分布
將 rASMCs 以經 1.5 小節確定的對細胞毒性較小的不同濃度血根堿處理 12、24、36、48 h 后,棄上清,4% 多聚甲醛室溫固定 20 min 后,用 PBS(含 0.3%Triton X-100)洗滌 3 次,每次 5 min;用 1% BSA 溶液封閉 30 min 后,以羅丹明標記的鬼筆環肽(1:200 比例稀釋)室溫染色 1 h 后,PBS 洗滌 3 次,每次 5 min;用抗熒光淬滅封片劑封片后在激光共聚焦顯微鏡(63×)下觀察細胞骨架的應力纖維并拍照。
1.9 劃痕實驗檢測細胞遷移能力
取對數生長期 rASMCs,以 4 × 105 個/孔的密度接種于 6 孔細胞培養板,當融合度達 90% 時,用 10 μL 無菌槍頭劃過細胞群落,PBS 沖洗掉脫落細胞后,換無血清培養基,分別加入經 1.5 小節確定的對細胞毒性較小的不同濃度的血根堿,對照組加入 DMSO(最終濃度為 0.1%),將細胞培養板放置于 CO2 細胞培養箱繼續培養,分別于 0、12、24、36、48 h 將培養板放置于倒置熒光顯微鏡下對劃痕區域進行觀察、拍照。隨后采用專業圖像分析軟件 Image Pro Plus 6.0(Media cybernetics Inc.,美國)測量劃痕區域面積,進而計算愈合率。計算公式為:劃痕愈合率 =(起始劃痕面積 – 不同時間點劃痕面積)/起始劃痕面積 × 100%。
1.10 統計學分析
全部數據采用醫學繪圖軟件 GraphPad Prism 5.0(GraphPad Software Inc.,美國)進行統計分析,結果以均數 ± 標準差表示,采用 t 檢驗比較實驗組與對照組之間差異,P < 0.05 為差異具有統計學意義。
2 結果
2.1 血根堿對 rASMCs 活性的影響
濃度為 0.005、0.05、0.5、5 μmol/L 的血根堿分別處理 rASMCs 達 12、24、36、48 h 后,采用 MTT 實驗檢測細胞活性,結果如圖 3 所示。濃度為 0.005、0.05、0.5μmol/L 的血根堿處理 12~48 h 均沒有明顯改變細胞光密度值(P > 0.05),但濃度為 5 μmol/L 的血根堿處理 12 h 即明顯降低細胞光密度值( P < 0.01),且隨著處理時間的延長細胞光密度降低更加明顯。上述實驗結果表明,血根堿在濃度低于等于 0.5 μmol/L 時,對 rASMCs 的活性影響較小,但當濃度從 0.5 μmol/L 提高到 5 μmol/L 時,血根堿對細胞的毒性隨濃度上升逐漸加大,最終可降低 rASMCs 活性達 80%~90%。因此,所有后續實驗均采用血根堿濃度在 0.5 μmol/L 及以下的條件,以排除血根堿的細胞毒性對實驗結果的影響。

與對照組相比,**
Compared to control cells, **
2.2 血根堿對 rASMCs 剛度的影響
采用 OMTC 檢測血根堿處理后 rASMCs 的剛度,結果如圖 4 所示。對照組(0.1%DMSO 處理的 rASMCs)在 12 h 后的細胞剛度為(0.54 ± 0.03) Pa/nm,而經濃度為 0.005、0.05、0.5 μmol/L 的血根堿處理 12 h 后的 rASMCs 剛度分別為(0.55 ± 0.01)、(0.46 ± 0.02)、(0.37 ± 0.01) Pa/nm。統計分析顯示,與對照組相比,濃度為 0.05 μmol/L 和 0.5 μmol/L 的血根堿處理 12 h 后,rASMCs 的剛度明顯降低(P < 0.05)。同樣濃度條件下,血根堿處理 rASMCs 24 h 與處理 12 h 相比,細胞剛度進一步降低。

與對照組相比,*
Compared to control cells, *
2.3 血根堿對 rASMCs 牽張力的影響
采用 FTTM 檢測血根堿對 rASMCs 產生的細胞牽張力的影響,結果如圖 5 所示。對照組(0.1% DMSO 處理的 rASMCs)在 12 h 后的細胞牽張力為(460 ± 38) Pa/nm,而經濃度為 0.005、0.05、0.5 μmol/L 的血根堿處理 12 h 后的細胞牽張力分別為(399 ± 32)、(358 ± 28)、(328 ± 26) Pa/nm。與對照組相比,濃度為 0.005 μmol/L 的血根堿處理組的細胞牽張力低于對照組,且差異具有統計學意義(P < 0.05),濃度為 0.05 μmol/L 和 0.5 μmol/L 的血根堿處理組的細胞牽張力和對照組相比差異仍具有統計學意義( P < 0.01)。與血根堿處理 12 h 的結果相比,血根堿處理 24 h 后將進一步降低細胞的牽張力。上述實驗結果顯示了血根堿的處理將明顯降低 rASMCs 的細胞牽張力。

與對照組相比,*
Compared to control cells, *
2.4 血根堿對 rASMCs 遷移能力的影響
采用劃痕實驗檢測濃度為 0.005、0.05、0.5 μmol/L 的血根堿處理 rASMCs 12、24、36、48 h 后的細胞遷移情況,結果如圖 6 所示。隨著時間的延長,對照組和各血根堿處理組愈合均有增加。血根堿濃度為 0.005 μmol/L 時,細胞愈合率開始顯現降低趨勢,但和對照組相比差異無統計學意義(P > 0.05);而濃度為 0.05 μmol/L 時,血根堿處理 12 h 后的細胞愈合率明顯低于對照組( P < 0.05),當濃度增加到 0.5 μmol/L 時,rAMSCs 愈合率與對照組相比進一步降低( P < 0.01),且隨著作用時間的延長,愈合率進一步降低,差異均具有統計學意義。上述實驗結果顯示,血根堿明顯降低 rASMCs 的遷移能力。

與對照組相比,*
Compared to control cells (20 ×), *
2.5 血根堿對 rASMCs 骨架應力纖維分布的影響
采用免疫熒光技術檢測濃度為 0.005、0.05、0.5 μmol/L 的血根堿處理 rASMCs 12 h 和 24 h 后細胞骨架應力纖維的分布,實驗結果如圖 7 所示。與對照組比較,濃度為 0.005 μmol/L 的血根堿沒有明顯影響細胞內應力纖維的形成,但濃度為 0.05 μmol/L 和 0.5 μmol/L 的血根堿處理 12 h 和 24 h 均導致細胞應力纖維變細,并且中間區域的應力纖維數量降低。且隨著作用時間的增加,血根堿對應力纖維的抑制效果更明顯,提示血根堿可以誘導 rASMCs 的微絲解聚。

3 分析與討論
哮喘是一種慢性呼吸道疾病,目前臨床常用的哮喘治療藥物主要是糖皮質激素(抗炎)、β2-腎上腺素受體激動劑(擴張支氣管)等,但這些藥物容易發生耐受,且副作用大。其中 β2-腎上腺素受體激動劑在很多患者中產生脫敏現象,導致難以持續有效地控制其哮喘典型癥狀 AHR,成為臨床上棘手的問題。因此,探索和開發可以降低 AHR 的新型支氣管擴張劑藥物具有重要意義。
大鼠模型中的研究表明,AHR 與 ASMCs 的剛度正相關,提示降低 ASMCs 剛度的藥物可以降低 AHR[24]。本研究實驗結果顯示,濃度為 0.05 μmol/L 和 0.5 μmol/L 血根堿可以明顯降低 rASMCs 的細胞剛度,并具有時間和濃度依賴效應,提示其可能具有降低 AHR 的能力。
細胞收縮力在心肌、骨骼肌和平滑肌等多種細胞生理和病理環境中發揮重要作用,調節細胞收縮能力是調節肌肉細胞收縮—舒張藥物的重要作用機制。血根堿調控多種非氣道平滑肌(包括胸主動脈、腸道和子宮等組織平滑肌)收縮—舒張活動已有報道[25]。本研究表明,血根堿可以降低 rASMCs 的牽張力,并表現出時間和濃度依賴效應,提示血根堿可以降低 ASMCs 的收縮能力,進一步提示血根堿可能是 AHR 的一種調控藥物。
細胞遷移是哮喘病理過程中 ASMCs 重構的一個重要環節。本研究顯示,血根堿可以抑制 rASMCs 的遷移能力,提示血根堿可能會通過影響細胞遷移從而影響 AHR。細胞骨架是調控細胞生物力學特性的核心元件,可影響細胞剛度、細胞收縮—舒張以及細胞遷移。本研究顯示,血根堿誘導應力纖維解聚,同時降低了細胞剛度、細胞牽張力和細胞遷移能力,提示血根堿可能通過影響細胞骨架的重構過程從而影響細胞的生物力學特性。
本實驗結果還顯示,在 0.5 μmol/L 以下的濃度條件下,血根堿沒有明顯降低 ASMCs 的活性,提示其具有較好的生物安全性。而當血根堿的濃度為 0.05 μmol/L 和 0.5 μmol/L 時,rASMCs 的剛度和細胞牽張力均明顯下降,提示 0.05 μmol/L 和 0.5 μmol/L 是將來進一步藥物開發較為理想的藥物濃度。但需要注意的是,當濃度增加到 5 μmol/L 時,血根堿明顯降低了 rASMCs 的活性,提示在微摩爾級別濃度的血根堿具有一定的生物毒性,這是在后期藥物開發中需要考慮的因素。尤為重要的是,目前文獻報道血根堿對胸主動脈、腸道和子宮等組織平滑肌具有明顯收縮抑制效應的濃度主要在微摩爾級別,而我們的實驗結果提示納摩爾級別濃度的血根堿即具有降低 ASMCs 剛度及收縮力、抑制細胞遷移和誘導微絲骨架解聚的能力。上述研究結果在細胞水平下證實了血根堿對 ASMCs 生物力學特性的影響,這為后期以血根堿為對象進一步開發哮喘治療藥物中的新型氣道擴張劑奠定了基礎,但血根堿影響 ASMCs 生物力學特性的具體作用機制還有待進一步闡明,其對 AHR 的治療效果也還需要在動物模型水平進一步的研究。
4 結論
作為從常見植物中提取的天然產物,血根堿不僅具有抗炎、抗氧化和抗腫瘤作用,而且本文研究結果顯示,在生物安全的濃度條件下具有明顯降低體外培養 rASMCs 剛度和牽張力等生物力學特性的能力,提示血根堿有可能作為一種靶向氣道平滑肌力學特性的氣道擴張劑,為臨床哮喘治療中控制和改善患者 AHR 提供新的途徑。