全身麻醉的應用已有170多年歷史,然而其機制仍不清楚。同樣不清楚的問題還有麻醉藥是否會對機體產生不利影響。目前有一些關于全麻藥對機體影響的報道,但有關G-蛋白偶聯受體(GPCR)方面的研究較為少見。通過比對和種系發生分析,我們在水蚤中鑒定了18個GPCR基因,包括代謝型GABAB受體、代謝性谷氨酸受體、腎上腺素能受體、5-羥色胺受體、多巴胺受體和毒蕈堿型受體。我們成功檢測到這些基因的表達,并通過熒光定量PCR技術觀察到了異丙酚、依托咪酯和酒精對這18個GPCR基因表達的影響。
引用本文: 胡安民, 董長虹, 左云霞, 李國華. 異丙酚、依托咪酯和酒精對水蚤G蛋白偶聯受體基因表達的影響. 生物醫學工程學雜志, 2014, 31(4): 827-832. doi: 10.7507/1001-5515.20140155 復制
引言
全身麻醉涉及很多要素,比如鎮靜、意識消失、足夠的鎮痛和適度的肌肉松弛。到目前為止,麻醉作用機制仍不清楚。人們通常認為麻醉藥物的作用更多涉及中樞神經系統離子通道,如GABA門控的離子通道 (即GABAA受體)、NMDA型谷氨酸門控的離子通道(即GluN受體或NMDA受體)和鉀離子通道。然而,近年來的研究表明,臨床上常用的麻醉藥可直接作用于G蛋白偶聯受體(G-protein coupled receptor,GPCR)[1-3],包括毒蕈堿型受體、代謝性谷氨酸受體、5-HT2A受體,麻醉藥可能會通過GPCR對機體產生持續性影響。但是,目前尚無有關麻醉藥對GPCR基因表達影響的系統報道。另外,日常生活中飲用的酒精也能產生麻醉效果并影響GPCR的功能或表達。顯然,臨床試驗研究麻醉藥如何影響GPCR并不可行,通過動物模型進行相關研究能夠彌補臨床試驗的不足。
不同物種的麻醉行為均服從邁耶-奧弗頓(Meyer-Overton)法則[4-5],暗示不同物種有相同或類似的全麻機制。與果蠅一樣,作為人類疾病模型的模式動物,水蚤有飼養簡單、繁殖力強、子代數量多和生命周期短的優點,另外水蚤可孤雌生殖形成克隆群體,同時生活于水中,更適合表觀遺傳學和藥理學的研究。基于該優點,我們通過定量PCR,系統研究了異丙酚、依托咪酯和酒精對單克隆水蚤種群代謝型神經遞質受體的基因表達的影響。
1 材料與方法
1.1 水蚤培養
水蚤的培養方法和以前發表的文章描述相同[6]。在恒溫(20±1)℃和可控光照周期(16 h∶8 h的光-暗周期)的水缸內,用酵母菌和螺旋藻混合喂養水蚤。每天清晨更換1/5水量。
1.2 序列分析和多重序列比對
使用果蠅或人的蛋白查詢序列在水蚤基因組數據庫(www.fleabase.org) 中搜索同源基因,然后根據最大似然法,用MEGA 5.10軟件構建進化樹[
1.3 藥物對水蚤的運動抑制觀察
將50只水蚤放于含有藥物(異丙酚、依托咪酯或酒精)的溶液中,30 min后,將沉落在容器底部且存在心跳的水蚤判定為受到藥物影響而產生運動抑制。
1.4 RNA提取、逆轉錄和多重PCR
總RNA提取、逆轉錄和PCR同以前文獻描述一致。實驗每次用50只水蚤經藥物處理4 h后分離、沉淀和純化提取總RNA。選用PrimeScriptTM RT reagent Kit DRR037A(TaKaRa)逆轉錄cDNA。用Primer 3軟件設計對應水蚤基因的引物[8],首次擴增時用普通PCR確定擴增產物和引物質量,并用qPCR再次確定產物質量和引物擴增效率,藥物組分別與對照組比較,觀察水蚤G蛋白基因表達量的相對改變,對照組基因表達量定為1。在iQ5 system (Bio-Rad)中,選用SYBR Premix Ex TaqTM Ⅱ KIT DRR081A(TaKaRa)進行擴增。每個反應體系均為20 μL,包含2 μL cDNA和0.8 μmol/L引物。反應條件包括三步:① 95 ℃激活DNA聚合酶30 s;② 重復反應40個循環,每個循環包括95 ℃(5 s),55 ℃(30 s)和72 ℃(30 s);③ 從55 ℃升溫至95 ℃,每升高0.5 ℃后檢測熒光信號30 s。根據2-ΔΔCT理論計算水蚤基因相對表達分析[9]。實驗選用β-actin基因進行標準化。基因相對表達量用均數±標準差表示,每組數據為5次獨立的實驗。基因表達的統計學分析用Dunnett-t檢驗(n=5)。P<0.05為差異有統計學意義。
2 結果
通過PCR擴增首次證實18個水蚤GPCR基因在轉錄水平上的表達(見圖 1),并觀察了異丙酚、依托咪酯和酒精對這些基因在轉錄水平表達的影響(見圖 2)。

(a)GABAB受體;(b)代謝性谷氨酸受體;(c)腎上腺素能受體;(d)5-羥色胺受體;(e)多巴胺受體;(f)毒蕈堿型受體
Figure1. Phylogenetic trees of GPCR(a) GABAB receptor; (b) metabotropic glutamate receptors; (c) adrenergic receptor; (d) serotonin receptor; (e) dopamine receptor; (f) muscarinic acetylcholine receptor

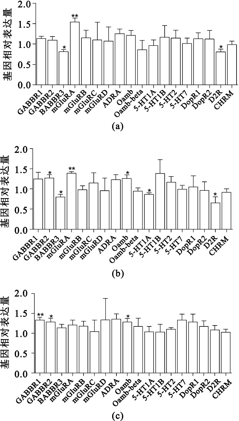
(a)異丙酚;(b)依托咪酯;(c)酒精。與對照組比較,*
(a) propofol; (b) etomidate; (c) ethanol. Compared with control group,*
2.1 系統進化分析
哺乳動物的GABAB受體由GABAB1亞基和GABAB2亞基異源二聚化形成。無脊椎動物的GABAB受體還存在GABAB3亞基[10]。水蚤基因組中有3個GABAB受體基因:GABBR1、GABBR2和GABBR3[見圖 1(a)]。
腎上腺素能受體廣泛存在于中樞和外周器官中,根據藥理學特性分為α1、α2和β三類[12]。無脊椎動物章魚胺受體在結構和功能上同源于脊椎動物腎上腺素能受體[13]。水蚤基因組中存在三個章魚胺受體的基因[見圖 1(c)]:ADRA、Oamb和Oamb-beta,其中ADRA在果蠅缺失。
人的5-HT受體可以分為7類:5-HTR1~5-HTR7。除5-HT3受體為配體門控離子通道外,其余的受體為GPCR。水蚤基因組中存在4個5-HT受體基因:5-HT1A、5HT1B、5-HT2和5-HT7[見圖 1(d)]。
人的多巴胺受體基因有五種:DRD1~DRD5,其中DRD1和DRD5為D1樣受體,激活后升高細胞內cAMP水平,DRD2~DRD4為D2樣受體,激活后降低細胞內cAMP水平。水蚤存在3個多巴胺基因:DopR1、DopR2和D2R。水蚤的DopR1和DopR2接近于人的D1樣受體[14][見圖 1(e)]。水蚤的D2R受體接近于人的D2樣受體。
毒蕈堿型受體(mAChR)為G蛋白偶聯的乙酰膽堿能受體,主要表達在副交感神經節后纖維支配的效應器細胞上。1個毒蕈堿型受體基因存在于水蚤基因組中[見圖 1(f)]。
2.2 藥物對水蚤的運動抑制和基因表達影響
異丙酚對水蚤產生運動抑制的半數有效濃度為58 μmol/L,依托咪酯的半數有效濃度為667 μmol/L。酒精需要更大的濃度才能對水蚤產生運動抑制,其半數有效濃度為15.4 mmol/L。異丙酚和酒精對水蚤的運動抑制有效濃度接近于對人產生鎮定效果的濃度,而依托咪酯對水蚤產生運動抑制的有效濃度遠大于用于臨床麻醉的濃度。
為避免運動抑制可能影響水蚤基因表達,實驗最終選擇異丙酚25 μmol/L、依托咪酯250 μmol/L和酒精2 mmol/L處理水蚤。根據已經設計的引物進行基因表達研究(見表 1)。

經過藥物分別處理4 h后,對18個G蛋白基因進行定量PCR檢測。異丙酚影響3個水蚤基因表達:上調mGluRA基因表達,下調GABBR3和D2R基因表達[見圖 2(a)]。依托咪酯影響6個水蚤基因表達:上調GABBR2、mGluRA和Oamb,下調GABBR3、5-HT1A和D2R[見圖 2(b)]。酒精上調3個水蚤基因表達:GABBR1、GABBR2和Oamb[見圖 2(c)]。
3 討論
在神經系統,GABAB受體介導慢抑制性突觸傳遞[15],和很多生理和病理過程有關,包括海馬的長時程增強、慢波睡眠、肌肉松弛和鎮痛作用[16]。酒精可通過GABAB受體影響小鼠的運動行為[17],類似情況也在果蠅中被發現[18]。有人發現酒精可以增加大腦皮層GABAB1和GABAB2的蛋白表達,也增加海馬GABAB2的蛋白表達,同時海馬的GABAB1和GABAB2的mRNA水平也被酒精增強[19]。我們在水蚤中觀察到類似的趨勢,說明水蚤可被用來作為模式動物研究酒精耐受問題。目前尚無關于麻醉藥如何影響GABAB受體基因表達的報道。我們發現水蚤的GABBR2的表達被依托咪酯增強,而GABBR3的表達被異丙酚和依托咪酯下調。由于GABBR3與人的GABAB受體的親緣關系較遠,目前還很難推斷其可能的功能。
哺乳動物和低等動物的代謝性谷氨酸受體具有類似的細胞功能。Ⅰ型受體主要分布于突觸后,可以增加神經元的興奮性,Ⅱ型和Ⅲ型mGluR主要分布于突觸前,可以抑制神經遞質如谷氨酸或GABA的釋放。mGluR與多種生理活動有關,包括突觸塑性[20]、認知[21]、運動協調[22]、酒精耐受或戒斷。在小鼠伏隔核,酒精可以增加Ⅰ型mGluR(mGluR5)的表達[23]。酒精耐受動物的Ⅱ型mGluR的敏感性下降[24]。果蠅的mGluRA調節突觸前興奮依賴的遞質釋放,同時調節神經元的可塑性[25]。我們發現水蚤Ⅱ型mGluR(即mGluRA)基因的表達顯著地被異丙酚和依托咪酯上調。如果這一現象伴隨蛋白質水平的變化,那么麻醉藥的使用可能會影響特定人群與突觸塑性相關的機體功能,如學習和記憶。
在哺乳動物,多巴胺系統與動物的獎勵和動機行為[26]、生物節律[27]、學習記憶[28]甚至鎮痛[29]密切相關,并且與年齡依賴的認知功能障礙有關。多巴胺系統的這種功能在進化上得到保留[30-32]。例如,果蠅多巴胺系統與生物節律密切相關[33],也與獎勵和動機行為有關[34]。生物節律和學習記憶是相關的,果蠅多巴胺受體D2R基因表達增加能夠抵抗睡眠剝奪對長時間記憶的影響[35]。我們的研究發現,多巴胺受體D2R的基因表達被兩種靜脈麻醉藥下調,提示該受體可能在全麻藥對認知功能的影響中起作用。
章魚胺(octopamine)作為神經遞質、神經調制物和神經激素,是高等動物去甲腎上腺素的功能類似物[36]。章魚胺受體與脊椎動物腎上腺素能受體為同源蛋白。在昆蟲中,章魚胺和多巴胺共同構成尋賞學習系統[34]。另外,章魚胺參與進攻性(好斗行為,aggression)的調節,能夠降低動物的進攻性。這對應于去甲腎上腺素在哺乳動物中的功能。敲除α2C受體的小鼠進攻性增強[37]。在水蚤中,章魚胺受體Dp_Oamb的mRNA可以被依托咪酯和酒精上調。目前對Oamb的理解很少,因此,尚難以推測依托咪酯誘導的Oamb mRNA改變的可能后果。
五羥色胺(5-hydroxy tryptamine,5-HT)的功能在進化上非常保守[38-39],因此,節肢動物常被作為模式動物研究動物行為的神經生理學基礎。其中研究較多的是5-HT與動物的社會行為的關系。在調節動物行為方面,5-HT的作用與章魚胺相反。5-HT1A受體的過度激活可以增加動物的進攻性。我們發現,依托咪酯可以顯著下調5-HT1A受體的mRNA水平,幅度約為14%。盡管如此,結合依托咪酯和酒精對章魚胺受體Dp_Oamb的作用,該結果暗示麻醉藥可能會改變動物的高級行為。其它幾種5-HT受體均不受異丙酚、依托咪酯和酒精的影響。
總之,無脊椎動物和高等動物代謝型神經遞質受體在功能上極為相似。正因為如此,我們對甲殼動物水蚤進行了一系列研究,旨在提供能夠用于揭示疾病機制的模型系統。我們的研究表明,小分子藥物可以在轉錄水平廣泛地影響GPCR的表達。這些變化是否會導致蛋白表達的變化有待于進一步的研究。與果蠅相比,水蚤不僅在遺傳學方面,還在表觀遺傳學和藥理學方面有不可替代的優勢。
引言
全身麻醉涉及很多要素,比如鎮靜、意識消失、足夠的鎮痛和適度的肌肉松弛。到目前為止,麻醉作用機制仍不清楚。人們通常認為麻醉藥物的作用更多涉及中樞神經系統離子通道,如GABA門控的離子通道 (即GABAA受體)、NMDA型谷氨酸門控的離子通道(即GluN受體或NMDA受體)和鉀離子通道。然而,近年來的研究表明,臨床上常用的麻醉藥可直接作用于G蛋白偶聯受體(G-protein coupled receptor,GPCR)[1-3],包括毒蕈堿型受體、代謝性谷氨酸受體、5-HT2A受體,麻醉藥可能會通過GPCR對機體產生持續性影響。但是,目前尚無有關麻醉藥對GPCR基因表達影響的系統報道。另外,日常生活中飲用的酒精也能產生麻醉效果并影響GPCR的功能或表達。顯然,臨床試驗研究麻醉藥如何影響GPCR并不可行,通過動物模型進行相關研究能夠彌補臨床試驗的不足。
不同物種的麻醉行為均服從邁耶-奧弗頓(Meyer-Overton)法則[4-5],暗示不同物種有相同或類似的全麻機制。與果蠅一樣,作為人類疾病模型的模式動物,水蚤有飼養簡單、繁殖力強、子代數量多和生命周期短的優點,另外水蚤可孤雌生殖形成克隆群體,同時生活于水中,更適合表觀遺傳學和藥理學的研究。基于該優點,我們通過定量PCR,系統研究了異丙酚、依托咪酯和酒精對單克隆水蚤種群代謝型神經遞質受體的基因表達的影響。
1 材料與方法
1.1 水蚤培養
水蚤的培養方法和以前發表的文章描述相同[6]。在恒溫(20±1)℃和可控光照周期(16 h∶8 h的光-暗周期)的水缸內,用酵母菌和螺旋藻混合喂養水蚤。每天清晨更換1/5水量。
1.2 序列分析和多重序列比對
使用果蠅或人的蛋白查詢序列在水蚤基因組數據庫(www.fleabase.org) 中搜索同源基因,然后根據最大似然法,用MEGA 5.10軟件構建進化樹[
1.3 藥物對水蚤的運動抑制觀察
將50只水蚤放于含有藥物(異丙酚、依托咪酯或酒精)的溶液中,30 min后,將沉落在容器底部且存在心跳的水蚤判定為受到藥物影響而產生運動抑制。
1.4 RNA提取、逆轉錄和多重PCR
總RNA提取、逆轉錄和PCR同以前文獻描述一致。實驗每次用50只水蚤經藥物處理4 h后分離、沉淀和純化提取總RNA。選用PrimeScriptTM RT reagent Kit DRR037A(TaKaRa)逆轉錄cDNA。用Primer 3軟件設計對應水蚤基因的引物[8],首次擴增時用普通PCR確定擴增產物和引物質量,并用qPCR再次確定產物質量和引物擴增效率,藥物組分別與對照組比較,觀察水蚤G蛋白基因表達量的相對改變,對照組基因表達量定為1。在iQ5 system (Bio-Rad)中,選用SYBR Premix Ex TaqTM Ⅱ KIT DRR081A(TaKaRa)進行擴增。每個反應體系均為20 μL,包含2 μL cDNA和0.8 μmol/L引物。反應條件包括三步:① 95 ℃激活DNA聚合酶30 s;② 重復反應40個循環,每個循環包括95 ℃(5 s),55 ℃(30 s)和72 ℃(30 s);③ 從55 ℃升溫至95 ℃,每升高0.5 ℃后檢測熒光信號30 s。根據2-ΔΔCT理論計算水蚤基因相對表達分析[9]。實驗選用β-actin基因進行標準化。基因相對表達量用均數±標準差表示,每組數據為5次獨立的實驗。基因表達的統計學分析用Dunnett-t檢驗(n=5)。P<0.05為差異有統計學意義。
2 結果
通過PCR擴增首次證實18個水蚤GPCR基因在轉錄水平上的表達(見圖 1),并觀察了異丙酚、依托咪酯和酒精對這些基因在轉錄水平表達的影響(見圖 2)。

(a)GABAB受體;(b)代謝性谷氨酸受體;(c)腎上腺素能受體;(d)5-羥色胺受體;(e)多巴胺受體;(f)毒蕈堿型受體
Figure1. Phylogenetic trees of GPCR(a) GABAB receptor; (b) metabotropic glutamate receptors; (c) adrenergic receptor; (d) serotonin receptor; (e) dopamine receptor; (f) muscarinic acetylcholine receptor

(a)異丙酚;(b)依托咪酯;(c)酒精。與對照組比較,*
(a) propofol; (b) etomidate; (c) ethanol. Compared with control group,*
2.1 系統進化分析
哺乳動物的GABAB受體由GABAB1亞基和GABAB2亞基異源二聚化形成。無脊椎動物的GABAB受體還存在GABAB3亞基[10]。水蚤基因組中有3個GABAB受體基因:GABBR1、GABBR2和GABBR3[見圖 1(a)]。
腎上腺素能受體廣泛存在于中樞和外周器官中,根據藥理學特性分為α1、α2和β三類[12]。無脊椎動物章魚胺受體在結構和功能上同源于脊椎動物腎上腺素能受體[13]。水蚤基因組中存在三個章魚胺受體的基因[見圖 1(c)]:ADRA、Oamb和Oamb-beta,其中ADRA在果蠅缺失。
人的5-HT受體可以分為7類:5-HTR1~5-HTR7。除5-HT3受體為配體門控離子通道外,其余的受體為GPCR。水蚤基因組中存在4個5-HT受體基因:5-HT1A、5HT1B、5-HT2和5-HT7[見圖 1(d)]。
人的多巴胺受體基因有五種:DRD1~DRD5,其中DRD1和DRD5為D1樣受體,激活后升高細胞內cAMP水平,DRD2~DRD4為D2樣受體,激活后降低細胞內cAMP水平。水蚤存在3個多巴胺基因:DopR1、DopR2和D2R。水蚤的DopR1和DopR2接近于人的D1樣受體[14][見圖 1(e)]。水蚤的D2R受體接近于人的D2樣受體。
毒蕈堿型受體(mAChR)為G蛋白偶聯的乙酰膽堿能受體,主要表達在副交感神經節后纖維支配的效應器細胞上。1個毒蕈堿型受體基因存在于水蚤基因組中[見圖 1(f)]。
2.2 藥物對水蚤的運動抑制和基因表達影響
異丙酚對水蚤產生運動抑制的半數有效濃度為58 μmol/L,依托咪酯的半數有效濃度為667 μmol/L。酒精需要更大的濃度才能對水蚤產生運動抑制,其半數有效濃度為15.4 mmol/L。異丙酚和酒精對水蚤的運動抑制有效濃度接近于對人產生鎮定效果的濃度,而依托咪酯對水蚤產生運動抑制的有效濃度遠大于用于臨床麻醉的濃度。
為避免運動抑制可能影響水蚤基因表達,實驗最終選擇異丙酚25 μmol/L、依托咪酯250 μmol/L和酒精2 mmol/L處理水蚤。根據已經設計的引物進行基因表達研究(見表 1)。

經過藥物分別處理4 h后,對18個G蛋白基因進行定量PCR檢測。異丙酚影響3個水蚤基因表達:上調mGluRA基因表達,下調GABBR3和D2R基因表達[見圖 2(a)]。依托咪酯影響6個水蚤基因表達:上調GABBR2、mGluRA和Oamb,下調GABBR3、5-HT1A和D2R[見圖 2(b)]。酒精上調3個水蚤基因表達:GABBR1、GABBR2和Oamb[見圖 2(c)]。
3 討論
在神經系統,GABAB受體介導慢抑制性突觸傳遞[15],和很多生理和病理過程有關,包括海馬的長時程增強、慢波睡眠、肌肉松弛和鎮痛作用[16]。酒精可通過GABAB受體影響小鼠的運動行為[17],類似情況也在果蠅中被發現[18]。有人發現酒精可以增加大腦皮層GABAB1和GABAB2的蛋白表達,也增加海馬GABAB2的蛋白表達,同時海馬的GABAB1和GABAB2的mRNA水平也被酒精增強[19]。我們在水蚤中觀察到類似的趨勢,說明水蚤可被用來作為模式動物研究酒精耐受問題。目前尚無關于麻醉藥如何影響GABAB受體基因表達的報道。我們發現水蚤的GABBR2的表達被依托咪酯增強,而GABBR3的表達被異丙酚和依托咪酯下調。由于GABBR3與人的GABAB受體的親緣關系較遠,目前還很難推斷其可能的功能。
哺乳動物和低等動物的代謝性谷氨酸受體具有類似的細胞功能。Ⅰ型受體主要分布于突觸后,可以增加神經元的興奮性,Ⅱ型和Ⅲ型mGluR主要分布于突觸前,可以抑制神經遞質如谷氨酸或GABA的釋放。mGluR與多種生理活動有關,包括突觸塑性[20]、認知[21]、運動協調[22]、酒精耐受或戒斷。在小鼠伏隔核,酒精可以增加Ⅰ型mGluR(mGluR5)的表達[23]。酒精耐受動物的Ⅱ型mGluR的敏感性下降[24]。果蠅的mGluRA調節突觸前興奮依賴的遞質釋放,同時調節神經元的可塑性[25]。我們發現水蚤Ⅱ型mGluR(即mGluRA)基因的表達顯著地被異丙酚和依托咪酯上調。如果這一現象伴隨蛋白質水平的變化,那么麻醉藥的使用可能會影響特定人群與突觸塑性相關的機體功能,如學習和記憶。
在哺乳動物,多巴胺系統與動物的獎勵和動機行為[26]、生物節律[27]、學習記憶[28]甚至鎮痛[29]密切相關,并且與年齡依賴的認知功能障礙有關。多巴胺系統的這種功能在進化上得到保留[30-32]。例如,果蠅多巴胺系統與生物節律密切相關[33],也與獎勵和動機行為有關[34]。生物節律和學習記憶是相關的,果蠅多巴胺受體D2R基因表達增加能夠抵抗睡眠剝奪對長時間記憶的影響[35]。我們的研究發現,多巴胺受體D2R的基因表達被兩種靜脈麻醉藥下調,提示該受體可能在全麻藥對認知功能的影響中起作用。
章魚胺(octopamine)作為神經遞質、神經調制物和神經激素,是高等動物去甲腎上腺素的功能類似物[36]。章魚胺受體與脊椎動物腎上腺素能受體為同源蛋白。在昆蟲中,章魚胺和多巴胺共同構成尋賞學習系統[34]。另外,章魚胺參與進攻性(好斗行為,aggression)的調節,能夠降低動物的進攻性。這對應于去甲腎上腺素在哺乳動物中的功能。敲除α2C受體的小鼠進攻性增強[37]。在水蚤中,章魚胺受體Dp_Oamb的mRNA可以被依托咪酯和酒精上調。目前對Oamb的理解很少,因此,尚難以推測依托咪酯誘導的Oamb mRNA改變的可能后果。
五羥色胺(5-hydroxy tryptamine,5-HT)的功能在進化上非常保守[38-39],因此,節肢動物常被作為模式動物研究動物行為的神經生理學基礎。其中研究較多的是5-HT與動物的社會行為的關系。在調節動物行為方面,5-HT的作用與章魚胺相反。5-HT1A受體的過度激活可以增加動物的進攻性。我們發現,依托咪酯可以顯著下調5-HT1A受體的mRNA水平,幅度約為14%。盡管如此,結合依托咪酯和酒精對章魚胺受體Dp_Oamb的作用,該結果暗示麻醉藥可能會改變動物的高級行為。其它幾種5-HT受體均不受異丙酚、依托咪酯和酒精的影響。
總之,無脊椎動物和高等動物代謝型神經遞質受體在功能上極為相似。正因為如此,我們對甲殼動物水蚤進行了一系列研究,旨在提供能夠用于揭示疾病機制的模型系統。我們的研究表明,小分子藥物可以在轉錄水平廣泛地影響GPCR的表達。這些變化是否會導致蛋白表達的變化有待于進一步的研究。與果蠅相比,水蚤不僅在遺傳學方面,還在表觀遺傳學和藥理學方面有不可替代的優勢。